接受肾素-血管紧张素-醛固酮系统抑制剂的患者对钾和高钾血症的醛固酮反应受损。

IF 2.4 4区 医学 Q2 MEDICINE, GENERAL & INTERNAL
Korean Journal of Internal Medicine Pub Date : 2025-05-01 Epub Date: 2025-04-30 DOI:10.3904/kjim.2024.160
Miyeon Kim, Hwa Young Lee, Hyunwoo Kim
{"title":"接受肾素-血管紧张素-醛固酮系统抑制剂的患者对钾和高钾血症的醛固酮反应受损。","authors":"Miyeon Kim, Hwa Young Lee, Hyunwoo Kim","doi":"10.3904/kjim.2024.160","DOIUrl":null,"url":null,"abstract":"<p><strong>Background/aims: </strong>Angiotensin-converting enzyme inhibitors (ACEIs) and angiotensin II receptor blockers (ARBs) are associated with the development of hyperkalemia. We evaluated the relationship between the serum aldosterone-to-potassium ratio (APR) and the risk of developing hyperkalemia in patients with chronic kidney disease (CKD) receiving ACEIs or ARBs.</p><p><strong>Methods: </strong>One hundred eighty-six patients with stage 3-4 CKD receiving an ACEI or ARB for at least 3 months were evaluated. Serum aldosterone and potassium concentrations were measured simultaneously, and serum APR was calculated (ng/mL per mmol/L). Patients were divided into two groups for comparison according to the median value above or below 2.42. The primary outcome was the difference between the two groups in the development of hyperkalemia (defined as a serum potassium level > 5.5 mmol/L). Incidence rates and risk factors of hyperkalemia were assessed.</p><p><strong>Results: </strong>During the follow-up period, 144 hyperkalemic events in 81 patients (43.5%) were identified, yielding an incidence rate of 24.6 events/100 person-years. The incidence rate was significantly higher in patients with a low serum APR than in patients with a high APR (35.8 events/100 patient-years vs. 12.9 events/100 patient-years, p < 0.001). In addition, diabetes mellitus, history of hyperkalemia, CKD progression during the follow-up period, and low serum APR were predictors of the development of hyperkalemia.</p><p><strong>Conclusion: </strong>Low serum APR was associated with the occurrence of hyperkalemia in patients with CKD receiving ACEIs or ARBs, suggesting that the identification of patients administered these drugs who are at high risk for hyperkalemia may be achieved using this index.</p>","PeriodicalId":48785,"journal":{"name":"Korean Journal of Internal Medicine","volume":"40 3","pages":"468-481"},"PeriodicalIF":2.4000,"publicationDate":"2025-05-01","publicationTypes":"Journal Article","fieldsOfStudy":null,"isOpenAccess":false,"openAccessPdf":"https://www.ncbi.nlm.nih.gov/pmc/articles/PMC12081116/pdf/","citationCount":"0","resultStr":"{\"title\":\"Impaired aldosterone response to potassium and hyperkalemia in patients receiving a renin-angiotensin-aldosterone system inhibitor.\",\"authors\":\"Miyeon Kim, Hwa Young Lee, Hyunwoo Kim\",\"doi\":\"10.3904/kjim.2024.160\",\"DOIUrl\":null,\"url\":null,\"abstract\":\"<p><strong>Background/aims: </strong>Angiotensin-converting enzyme inhibitors (ACEIs) and angiotensin II receptor blockers (ARBs) are associated with the development of hyperkalemia. We evaluated the relationship between the serum aldosterone-to-potassium ratio (APR) and the risk of developing hyperkalemia in patients with chronic kidney disease (CKD) receiving ACEIs or ARBs.</p><p><strong>Methods: </strong>One hundred eighty-six patients with stage 3-4 CKD receiving an ACEI or ARB for at least 3 months were evaluated. Serum aldosterone and potassium concentrations were measured simultaneously, and serum APR was calculated (ng/mL per mmol/L). Patients were divided into two groups for comparison according to the median value above or below 2.42. The primary outcome was the difference between the two groups in the development of hyperkalemia (defined as a serum potassium level > 5.5 mmol/L). Incidence rates and risk factors of hyperkalemia were assessed.</p><p><strong>Results: </strong>During the follow-up period, 144 hyperkalemic events in 81 patients (43.5%) were identified, yielding an incidence rate of 24.6 events/100 person-years. The incidence rate was significantly higher in patients with a low serum APR than in patients with a high APR (35.8 events/100 patient-years vs. 12.9 events/100 patient-years, p < 0.001). In addition, diabetes mellitus, history of hyperkalemia, CKD progression during the follow-up period, and low serum APR were predictors of the development of hyperkalemia.</p><p><strong>Conclusion: </strong>Low serum APR was associated with the occurrence of hyperkalemia in patients with CKD receiving ACEIs or ARBs, suggesting that the identification of patients administered these drugs who are at high risk for hyperkalemia may be achieved using this index.</p>\",\"PeriodicalId\":48785,\"journal\":{\"name\":\"Korean Journal of Internal Medicine\",\"volume\":\"40 3\",\"pages\":\"468-481\"},\"PeriodicalIF\":2.4000,\"publicationDate\":\"2025-05-01\",\"publicationTypes\":\"Journal Article\",\"fieldsOfStudy\":null,\"isOpenAccess\":false,\"openAccessPdf\":\"https://www.ncbi.nlm.nih.gov/pmc/articles/PMC12081116/pdf/\",\"citationCount\":\"0\",\"resultStr\":null,\"platform\":\"Semanticscholar\",\"paperid\":null,\"PeriodicalName\":\"Korean Journal of Internal Medicine\",\"FirstCategoryId\":\"3\",\"ListUrlMain\":\"https://doi.org/10.3904/kjim.2024.160\",\"RegionNum\":4,\"RegionCategory\":\"医学\",\"ArticlePicture\":[],\"TitleCN\":null,\"AbstractTextCN\":null,\"PMCID\":null,\"EPubDate\":\"2025/4/30 0:00:00\",\"PubModel\":\"Epub\",\"JCR\":\"Q2\",\"JCRName\":\"MEDICINE, GENERAL & INTERNAL\",\"Score\":null,\"Total\":0}","platform":"Semanticscholar","paperid":null,"PeriodicalName":"Korean Journal of Internal Medicine","FirstCategoryId":"3","ListUrlMain":"https://doi.org/10.3904/kjim.2024.160","RegionNum":4,"RegionCategory":"医学","ArticlePicture":[],"TitleCN":null,"AbstractTextCN":null,"PMCID":null,"EPubDate":"2025/4/30 0:00:00","PubModel":"Epub","JCR":"Q2","JCRName":"MEDICINE, GENERAL & INTERNAL","Score":null,"Total":0}
引用次数: 0

摘要

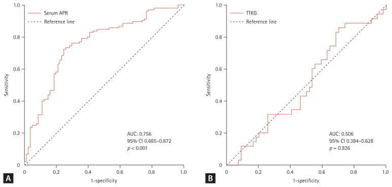
背景/目的:血管紧张素转换酶抑制剂(ACEIs)和血管紧张素II受体阻滞剂(ARBs)与高钾血症的发生有关。我们评估了接受acei或arb治疗的慢性肾脏疾病(CKD)患者血清醛固酮与钾比(APR)与发生高钾血症风险之间的关系。方法:对186例接受ACEI或ARB治疗至少3个月的3-4期CKD患者进行评估。同时测定血清醛固酮和钾浓度,计算血清APR (ng/mL / mmol/L)。根据中位数高于或低于2.42分为两组进行比较。主要结局是两组之间高钾血症(定义为血清钾水平> 5.5 mmol/L)发展的差异。评估高钾血症的发生率和危险因素。结果:在随访期间,81例患者(43.5%)发现144次高钾血症事件,发生率为24.6次/100人年。低APR患者的发病率明显高于高APR患者(35.8例/100患者-年vs 12.9例/100患者-年,p < 0.001)。此外,糖尿病、高钾血症史、随访期间CKD进展、低血清APR是高钾血症发生的预测因素。结论:低血清APR与接受acei或arb治疗的CKD患者高钾血症的发生有关,提示使用该指标可以识别使用这些药物的患者是否存在高钾血症的高风险。
本文章由计算机程序翻译,如有差异,请以英文原文为准。

Impaired aldosterone response to potassium and hyperkalemia in patients receiving a renin-angiotensin-aldosterone system inhibitor.

Impaired aldosterone response to potassium and hyperkalemia in patients receiving a renin-angiotensin-aldosterone system inhibitor.

Impaired aldosterone response to potassium and hyperkalemia in patients receiving a renin-angiotensin-aldosterone system inhibitor.

Impaired aldosterone response to potassium and hyperkalemia in patients receiving a renin-angiotensin-aldosterone system inhibitor.

Background/aims: Angiotensin-converting enzyme inhibitors (ACEIs) and angiotensin II receptor blockers (ARBs) are associated with the development of hyperkalemia. We evaluated the relationship between the serum aldosterone-to-potassium ratio (APR) and the risk of developing hyperkalemia in patients with chronic kidney disease (CKD) receiving ACEIs or ARBs.

Methods: One hundred eighty-six patients with stage 3-4 CKD receiving an ACEI or ARB for at least 3 months were evaluated. Serum aldosterone and potassium concentrations were measured simultaneously, and serum APR was calculated (ng/mL per mmol/L). Patients were divided into two groups for comparison according to the median value above or below 2.42. The primary outcome was the difference between the two groups in the development of hyperkalemia (defined as a serum potassium level > 5.5 mmol/L). Incidence rates and risk factors of hyperkalemia were assessed.

Results: During the follow-up period, 144 hyperkalemic events in 81 patients (43.5%) were identified, yielding an incidence rate of 24.6 events/100 person-years. The incidence rate was significantly higher in patients with a low serum APR than in patients with a high APR (35.8 events/100 patient-years vs. 12.9 events/100 patient-years, p < 0.001). In addition, diabetes mellitus, history of hyperkalemia, CKD progression during the follow-up period, and low serum APR were predictors of the development of hyperkalemia.

Conclusion: Low serum APR was associated with the occurrence of hyperkalemia in patients with CKD receiving ACEIs or ARBs, suggesting that the identification of patients administered these drugs who are at high risk for hyperkalemia may be achieved using this index.

求助全文
通过发布文献求助,成功后即可免费获取论文全文。 去求助
来源期刊
Korean Journal of Internal Medicine
Korean Journal of Internal Medicine MEDICINE, GENERAL & INTERNAL-
CiteScore
5.10
自引率
4.20%
发文量
129
审稿时长
20 weeks
期刊介绍: The Korean Journal of Internal Medicine is an international medical journal published in English by the Korean Association of Internal Medicine. The Journal publishes peer-reviewed original articles, reviews, and editorials on all aspects of medicine, including clinical investigations and basic research. Both human and experimental animal studies are welcome, as are new findings on the epidemiology, pathogenesis, diagnosis, and treatment of diseases. Case reports will be published only in exceptional circumstances, when they illustrate a rare occurrence of clinical importance. Letters to the editor are encouraged for specific comments on published articles and general viewpoints.
×
引用
GB/T 7714-2015
复制
MLA
复制
APA
复制
导出至
BibTeX EndNote RefMan NoteFirst NoteExpress
×
提示
您的信息不完整,为了账户安全,请先补充。
现在去补充
×
提示
您因"违规操作"
具体请查看互助需知
我知道了
×
提示
确定
请完成安全验证×
copy
已复制链接
快去分享给好友吧!
我知道了
右上角分享
点击右上角分享
0
联系我们:info@booksci.cn Book学术提供免费学术资源搜索服务,方便国内外学者检索中英文文献。致力于提供最便捷和优质的服务体验。 Copyright © 2023 布克学术 All rights reserved.
京ICP备2023020795号-1
ghs 京公网安备 11010802042870号
Book学术文献互助
Book学术文献互助群
群 号:604180095
Book学术官方微信