极低出生体重婴儿在婴儿期的双手使用。

Yuu Uchio, Tetsuo Ikai
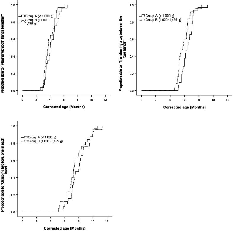
{"title":"极低出生体重婴儿在婴儿期的双手使用。","authors":"Yuu Uchio, Tetsuo Ikai","doi":"10.1589/jpts.37.194","DOIUrl":null,"url":null,"abstract":"<p><p>[Purpose] To determine the age in months of bilateral hand use during the infancy period of preterm infants with birth weight <1,500 g. [Participants and Methods] This retrospective, observational study included 57 infants with no neurodevelopmental handicaps (average weight at birth 963.2 ± 298.2 g, gestational age 28.4 ± 3.1 weeks), who were transferred to the neonatal intensive care unit at a medical center in Japan between 2010 and 2014. The patients were classified into two groups based on weight at birth: 32 infants with birth weights <1,000 g (Group A) and 25 with birth weights between 1,000 and 1,499 g (Group B). Data on the ages at which bilateral hand use was attained (\"playing with both hands together\", \"transferring a toy between the two hands\", and \"grasping two toys, one in each hand\") were collected from the respective medical records and compared between the two groups. [Results] Significantly delayed bilateral hand use was detected in Group A compared to that in Group B for \"transferring a toy between the two hands\" (90th percentile, 7.2 months compared to 6.3 months). For the other two items, no differences were detected between the two groups. [Conclusion] The development of bilateral hand use during infancy differed among infants with very low birth weight and was delayed in the group with a lighter birth weight group.</p>","PeriodicalId":16834,"journal":{"name":"Journal of Physical Therapy Science","volume":"37 5","pages":"194-198"},"PeriodicalIF":0.0000,"publicationDate":"2025-05-01","publicationTypes":"Journal Article","fieldsOfStudy":null,"isOpenAccess":false,"openAccessPdf":"https://www.ncbi.nlm.nih.gov/pmc/articles/PMC12045611/pdf/","citationCount":"0","resultStr":"{\"title\":\"Bilateral hand use during infancy in very low birth weight infants.\",\"authors\":\"Yuu Uchio, Tetsuo Ikai\",\"doi\":\"10.1589/jpts.37.194\",\"DOIUrl\":null,\"url\":null,\"abstract\":\"<p><p>[Purpose] To determine the age in months of bilateral hand use during the infancy period of preterm infants with birth weight <1,500 g. [Participants and Methods] This retrospective, observational study included 57 infants with no neurodevelopmental handicaps (average weight at birth 963.2 ± 298.2 g, gestational age 28.4 ± 3.1 weeks), who were transferred to the neonatal intensive care unit at a medical center in Japan between 2010 and 2014. The patients were classified into two groups based on weight at birth: 32 infants with birth weights <1,000 g (Group A) and 25 with birth weights between 1,000 and 1,499 g (Group B). Data on the ages at which bilateral hand use was attained (\\\"playing with both hands together\\\", \\\"transferring a toy between the two hands\\\", and \\\"grasping two toys, one in each hand\\\") were collected from the respective medical records and compared between the two groups. [Results] Significantly delayed bilateral hand use was detected in Group A compared to that in Group B for \\\"transferring a toy between the two hands\\\" (90th percentile, 7.2 months compared to 6.3 months). For the other two items, no differences were detected between the two groups. [Conclusion] The development of bilateral hand use during infancy differed among infants with very low birth weight and was delayed in the group with a lighter birth weight group.</p>\",\"PeriodicalId\":16834,\"journal\":{\"name\":\"Journal of Physical Therapy Science\",\"volume\":\"37 5\",\"pages\":\"194-198\"},\"PeriodicalIF\":0.0000,\"publicationDate\":\"2025-05-01\",\"publicationTypes\":\"Journal Article\",\"fieldsOfStudy\":null,\"isOpenAccess\":false,\"openAccessPdf\":\"https://www.ncbi.nlm.nih.gov/pmc/articles/PMC12045611/pdf/\",\"citationCount\":\"0\",\"resultStr\":null,\"platform\":\"Semanticscholar\",\"paperid\":null,\"PeriodicalName\":\"Journal of Physical Therapy Science\",\"FirstCategoryId\":\"1085\",\"ListUrlMain\":\"https://doi.org/10.1589/jpts.37.194\",\"RegionNum\":0,\"RegionCategory\":null,\"ArticlePicture\":[],\"TitleCN\":null,\"AbstractTextCN\":null,\"PMCID\":null,\"EPubDate\":\"\",\"PubModel\":\"\",\"JCR\":\"\",\"JCRName\":\"\",\"Score\":null,\"Total\":0}","platform":"Semanticscholar","paperid":null,"PeriodicalName":"Journal of Physical Therapy Science","FirstCategoryId":"1085","ListUrlMain":"https://doi.org/10.1589/jpts.37.194","RegionNum":0,"RegionCategory":null,"ArticlePicture":[],"TitleCN":null,"AbstractTextCN":null,"PMCID":null,"EPubDate":"","PubModel":"","JCR":"","JCRName":"","Score":null,"Total":0}
引用次数: 0

摘要

[目的]测定出生体重早产儿婴儿期双侧手使用月龄
本文章由计算机程序翻译,如有差异,请以英文原文为准。

Bilateral hand use during infancy in very low birth weight infants.

Bilateral hand use during infancy in very low birth weight infants.

[Purpose] To determine the age in months of bilateral hand use during the infancy period of preterm infants with birth weight <1,500 g. [Participants and Methods] This retrospective, observational study included 57 infants with no neurodevelopmental handicaps (average weight at birth 963.2 ± 298.2 g, gestational age 28.4 ± 3.1 weeks), who were transferred to the neonatal intensive care unit at a medical center in Japan between 2010 and 2014. The patients were classified into two groups based on weight at birth: 32 infants with birth weights <1,000 g (Group A) and 25 with birth weights between 1,000 and 1,499 g (Group B). Data on the ages at which bilateral hand use was attained ("playing with both hands together", "transferring a toy between the two hands", and "grasping two toys, one in each hand") were collected from the respective medical records and compared between the two groups. [Results] Significantly delayed bilateral hand use was detected in Group A compared to that in Group B for "transferring a toy between the two hands" (90th percentile, 7.2 months compared to 6.3 months). For the other two items, no differences were detected between the two groups. [Conclusion] The development of bilateral hand use during infancy differed among infants with very low birth weight and was delayed in the group with a lighter birth weight group.

求助全文
通过发布文献求助,成功后即可免费获取论文全文。 去求助
来源期刊
自引率
0.00%
发文量
137
审稿时长
4-8 weeks
×
引用
GB/T 7714-2015
复制
MLA
复制
APA
复制
导出至
BibTeX EndNote RefMan NoteFirst NoteExpress
×
提示
您的信息不完整,为了账户安全,请先补充。
现在去补充
×
提示
您因"违规操作"
具体请查看互助需知
我知道了
×
提示
确定
请完成安全验证×
copy
已复制链接
快去分享给好友吧!
我知道了
右上角分享
点击右上角分享
0
联系我们:info@booksci.cn Book学术提供免费学术资源搜索服务,方便国内外学者检索中英文文献。致力于提供最便捷和优质的服务体验。 Copyright © 2023 布克学术 All rights reserved.
京ICP备2023020795号-1
ghs 京公网安备 11010802042870号
Book学术文献互助
Book学术文献互助群
群 号:604180095
Book学术官方微信