2009-2012年越南中南部由呼吸道病毒引起的流感样疾病的社区病原体特异性发病率:在甲型流感病毒大流行之后

IF 3.5 Q1 TROPICAL MEDICINE
Kensuke Takahashi, Shinya Tsuzuki, Minh Nhat Le, Nguyen Hien Anh, Dang Duc Anh, Koya Ariyoshi, Lay-Myint Yoshida
{"title":"2009-2012年越南中南部由呼吸道病毒引起的流感样疾病的社区病原体特异性发病率:在甲型流感病毒大流行之后","authors":"Kensuke Takahashi, Shinya Tsuzuki, Minh Nhat Le, Nguyen Hien Anh, Dang Duc Anh, Koya Ariyoshi, Lay-Myint Yoshida","doi":"10.1186/s41182-025-00711-x","DOIUrl":null,"url":null,"abstract":"<p><strong>Background: </strong>Influenza-like illness (ILI) is one of the most common illnesses caused by various respiratory viruses and directly or indirectly incurs high expenses to households. However, the pathogen-specific incidence and health-seeking behaviour in communities have not been well described.</p><p><strong>Methods: </strong>A longitudinal cohort study using a self-recorded health calendar among 1000 households was performed in South-central Vietnam from October 2009 to September 2012. Endemic respiratory viruses in the community were monitored using random sampling in public health clinics (polyclinics). The monthly incidence of specific pathogens was calculated using the Bayesian method.</p><p><strong>Findings: </strong>Among 5,016 household members, 3,687 ILI episodes were reported during the study period. The incidence rate of ILI was 21.7 (95% confidence interval 21.0-22.4) per 1,000 person-months for all ages and highest in children under 2 years with 71.6 (64.7-81.8) followed by 2-4 years with 71.3 (65.8-78.2). Rhinovirus had the highest incidence with 22.5 among the age under 2 years, followed by adenovirus and respiratory syncytial virus (RSV) with 12.5 and 9.9, respectively. Most young children sought treatment from clinics and hospitals, whereas most schoolchildren and adults sought treatment from drugstores. RSV outbreaks significantly increase the number of healthcare visits among children under 2 years, but not in older age groups.</p><p><strong>Interpretation: </strong>Several surges of ILI were attributed by multiple respiratory viruses. Healthcare seeking patterns were varied among pathogens. Highly transmissible viruses, such as rhinovirus and adenovirus, pose the potential risk of the next pandemic.</p>","PeriodicalId":23311,"journal":{"name":"Tropical Medicine and Health","volume":"53 1","pages":"51"},"PeriodicalIF":3.5000,"publicationDate":"2025-04-10","publicationTypes":"Journal Article","fieldsOfStudy":null,"isOpenAccess":false,"openAccessPdf":"https://www.ncbi.nlm.nih.gov/pmc/articles/PMC11984152/pdf/","citationCount":"0","resultStr":"{\"title\":\"Community-based pathogen-specific incidence of influenza-like illness due to respiratory viruses in South-central Vietnam in 2009-2012: after a pandemic of influenza A viruses.\",\"authors\":\"Kensuke Takahashi, Shinya Tsuzuki, Minh Nhat Le, Nguyen Hien Anh, Dang Duc Anh, Koya Ariyoshi, Lay-Myint Yoshida\",\"doi\":\"10.1186/s41182-025-00711-x\",\"DOIUrl\":null,\"url\":null,\"abstract\":\"<p><strong>Background: </strong>Influenza-like illness (ILI) is one of the most common illnesses caused by various respiratory viruses and directly or indirectly incurs high expenses to households. However, the pathogen-specific incidence and health-seeking behaviour in communities have not been well described.</p><p><strong>Methods: </strong>A longitudinal cohort study using a self-recorded health calendar among 1000 households was performed in South-central Vietnam from October 2009 to September 2012. Endemic respiratory viruses in the community were monitored using random sampling in public health clinics (polyclinics). The monthly incidence of specific pathogens was calculated using the Bayesian method.</p><p><strong>Findings: </strong>Among 5,016 household members, 3,687 ILI episodes were reported during the study period. The incidence rate of ILI was 21.7 (95% confidence interval 21.0-22.4) per 1,000 person-months for all ages and highest in children under 2 years with 71.6 (64.7-81.8) followed by 2-4 years with 71.3 (65.8-78.2). Rhinovirus had the highest incidence with 22.5 among the age under 2 years, followed by adenovirus and respiratory syncytial virus (RSV) with 12.5 and 9.9, respectively. Most young children sought treatment from clinics and hospitals, whereas most schoolchildren and adults sought treatment from drugstores. RSV outbreaks significantly increase the number of healthcare visits among children under 2 years, but not in older age groups.</p><p><strong>Interpretation: </strong>Several surges of ILI were attributed by multiple respiratory viruses. Healthcare seeking patterns were varied among pathogens. Highly transmissible viruses, such as rhinovirus and adenovirus, pose the potential risk of the next pandemic.</p>\",\"PeriodicalId\":23311,\"journal\":{\"name\":\"Tropical Medicine and Health\",\"volume\":\"53 1\",\"pages\":\"51\"},\"PeriodicalIF\":3.5000,\"publicationDate\":\"2025-04-10\",\"publicationTypes\":\"Journal Article\",\"fieldsOfStudy\":null,\"isOpenAccess\":false,\"openAccessPdf\":\"https://www.ncbi.nlm.nih.gov/pmc/articles/PMC11984152/pdf/\",\"citationCount\":\"0\",\"resultStr\":null,\"platform\":\"Semanticscholar\",\"paperid\":null,\"PeriodicalName\":\"Tropical Medicine and Health\",\"FirstCategoryId\":\"1085\",\"ListUrlMain\":\"https://doi.org/10.1186/s41182-025-00711-x\",\"RegionNum\":0,\"RegionCategory\":null,\"ArticlePicture\":[],\"TitleCN\":null,\"AbstractTextCN\":null,\"PMCID\":null,\"EPubDate\":\"\",\"PubModel\":\"\",\"JCR\":\"Q1\",\"JCRName\":\"TROPICAL MEDICINE\",\"Score\":null,\"Total\":0}","platform":"Semanticscholar","paperid":null,"PeriodicalName":"Tropical Medicine and Health","FirstCategoryId":"1085","ListUrlMain":"https://doi.org/10.1186/s41182-025-00711-x","RegionNum":0,"RegionCategory":null,"ArticlePicture":[],"TitleCN":null,"AbstractTextCN":null,"PMCID":null,"EPubDate":"","PubModel":"","JCR":"Q1","JCRName":"TROPICAL MEDICINE","Score":null,"Total":0}
引用次数: 0

摘要

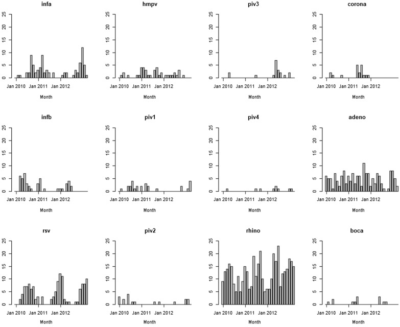
背景:流感样疾病(ILI)是由各种呼吸道病毒引起的最常见疾病之一,并直接或间接给家庭带来高额费用。然而,社区中特定病原体的发病率和求医行为尚未得到很好的描述。方法:2009年10月至2012年9月,在越南中南部的1000户家庭中进行了一项纵向队列研究,采用自记录健康日历。在公共卫生诊所(综合诊所)采用随机抽样方法监测社区地方性呼吸道病毒。使用贝叶斯方法计算特定病原体的月发病率。结果:在5016名家庭成员中,在研究期间报告了3687例ILI发作。所有年龄段的ILI发病率为每1000人月21.7例(95%可信区间21.0-22.4例),2岁以下儿童发病率最高,为71.6例(64.7-81.8例),其次是2-4岁儿童,为71.3例(65.8-78.2例)。2岁以下儿童鼻病毒发病率最高,为22.5例,其次为腺病毒和呼吸道合胞病毒(RSV),分别为12.5例和9.9例。大多数幼儿到诊所和医院寻求治疗,而大多数学龄儿童和成年人到药店寻求治疗。呼吸道合胞病毒暴发显著增加了2岁以下儿童的保健就诊次数,但在较大年龄组中没有。解释:几次流感暴发由多种呼吸道病毒引起。寻求医疗保健的模式因病原体而异。高传染性病毒,如鼻病毒和腺病毒,构成下一次大流行的潜在风险。
本文章由计算机程序翻译,如有差异,请以英文原文为准。

Community-based pathogen-specific incidence of influenza-like illness due to respiratory viruses in South-central Vietnam in 2009-2012: after a pandemic of influenza A viruses.

Community-based pathogen-specific incidence of influenza-like illness due to respiratory viruses in South-central Vietnam in 2009-2012: after a pandemic of influenza A viruses.

Community-based pathogen-specific incidence of influenza-like illness due to respiratory viruses in South-central Vietnam in 2009-2012: after a pandemic of influenza A viruses.

Community-based pathogen-specific incidence of influenza-like illness due to respiratory viruses in South-central Vietnam in 2009-2012: after a pandemic of influenza A viruses.

Background: Influenza-like illness (ILI) is one of the most common illnesses caused by various respiratory viruses and directly or indirectly incurs high expenses to households. However, the pathogen-specific incidence and health-seeking behaviour in communities have not been well described.

Methods: A longitudinal cohort study using a self-recorded health calendar among 1000 households was performed in South-central Vietnam from October 2009 to September 2012. Endemic respiratory viruses in the community were monitored using random sampling in public health clinics (polyclinics). The monthly incidence of specific pathogens was calculated using the Bayesian method.

Findings: Among 5,016 household members, 3,687 ILI episodes were reported during the study period. The incidence rate of ILI was 21.7 (95% confidence interval 21.0-22.4) per 1,000 person-months for all ages and highest in children under 2 years with 71.6 (64.7-81.8) followed by 2-4 years with 71.3 (65.8-78.2). Rhinovirus had the highest incidence with 22.5 among the age under 2 years, followed by adenovirus and respiratory syncytial virus (RSV) with 12.5 and 9.9, respectively. Most young children sought treatment from clinics and hospitals, whereas most schoolchildren and adults sought treatment from drugstores. RSV outbreaks significantly increase the number of healthcare visits among children under 2 years, but not in older age groups.

Interpretation: Several surges of ILI were attributed by multiple respiratory viruses. Healthcare seeking patterns were varied among pathogens. Highly transmissible viruses, such as rhinovirus and adenovirus, pose the potential risk of the next pandemic.

求助全文
通过发布文献求助,成功后即可免费获取论文全文。 去求助
来源期刊
Tropical Medicine and Health
Tropical Medicine and Health TROPICAL MEDICINE-
CiteScore
7.00
自引率
2.20%
发文量
90
审稿时长
11 weeks
×
引用
GB/T 7714-2015
复制
MLA
复制
APA
复制
导出至
BibTeX EndNote RefMan NoteFirst NoteExpress
×
提示
您的信息不完整,为了账户安全,请先补充。
现在去补充
×
提示
您因"违规操作"
具体请查看互助需知
我知道了
×
提示
确定
请完成安全验证×
copy
已复制链接
快去分享给好友吧!
我知道了
右上角分享
点击右上角分享
0
联系我们:info@booksci.cn Book学术提供免费学术资源搜索服务,方便国内外学者检索中英文文献。致力于提供最便捷和优质的服务体验。 Copyright © 2023 布克学术 All rights reserved.
京ICP备2023020795号-1
ghs 京公网安备 11010802042870号
Book学术文献互助
Book学术文献互助群
群 号:604180095
Book学术官方微信