牙周病患者定期刮牙与中风风险之间的关系:来自韩国全国数据库的证据

IF 2.2 4区 医学 Q2 PUBLIC, ENVIRONMENTAL & OCCUPATIONAL HEALTH
Epidemiology and Health Pub Date : 2025-01-01 Epub Date: 2025-04-19 DOI:10.4178/epih.e2025020
Yu-Rin Kim, Minkook Son, Seon-Rye Kim
{"title":"牙周病患者定期刮牙与中风风险之间的关系:来自韩国全国数据库的证据","authors":"Yu-Rin Kim, Minkook Son, Seon-Rye Kim","doi":"10.4178/epih.e2025020","DOIUrl":null,"url":null,"abstract":"<p><strong>Objectives: </strong>This study aimed to evaluate the association between the frequency of dental scaling and the risk of stroke among individuals with moderate-to-severe periodontal diseases and verify the effect of regular dental scaling on stroke risk in this population.</p><p><strong>Methods: </strong>In this retrospective study, 25,758 subjects with moderate-to-severe periodontal diseases were selected from the Korean National Health Insurance Service-National Health Screening Cohort database. Based on the frequency of dental scaling, the subjects were divided into three groups: regular, occasional, and infrequent. Restricted cubic splines were used to evaluate hazard ratios (HRs) with 95% confidence intervals (CIs) for stroke. Additionally, landmark analysis was conducted to strengthen the reliability of the results.</p><p><strong>Results: </strong>There were 293, 111, and 38 stroke cases in the infrequent, occasional, and regular group, respectively. The adjusted HR for stroke in the regular group, compared to that in the infrequent group, was 0.40 (95% CI, 0.29 to 0.57). In the landmark analysis with follow-up after 1 year and after 2 years, the adjusted HR in the regular group compared to that in the infrequent group was 0.41 (95% CI, 0.28 to 0.60) and 0.50 (95% CI, 0.33 to 0.76), respectively.</p><p><strong>Conclusions: </strong>Regular dental scaling was significantly associated with a reduced risk of stroke in patients with moderate-to-severe periodontal diseases. These findings may suggest a potential preventive role of dental scaling beyond oral health. Further studies are needed to explore the underlying biological mechanisms linking periodontal care to stroke prevention and to explore causal relationships between dental scaling and stroke risk.</p>","PeriodicalId":48543,"journal":{"name":"Epidemiology and Health","volume":" ","pages":"e2025020"},"PeriodicalIF":2.2000,"publicationDate":"2025-01-01","publicationTypes":"Journal Article","fieldsOfStudy":null,"isOpenAccess":false,"openAccessPdf":"https://www.ncbi.nlm.nih.gov/pmc/articles/PMC12425696/pdf/","citationCount":"0","resultStr":"{\"title\":\"Association between regular dental scaling and stroke risk in patients with periodontal diseases: evidence from a Korean nationwide database.\",\"authors\":\"Yu-Rin Kim, Minkook Son, Seon-Rye Kim\",\"doi\":\"10.4178/epih.e2025020\",\"DOIUrl\":null,\"url\":null,\"abstract\":\"<p><strong>Objectives: </strong>This study aimed to evaluate the association between the frequency of dental scaling and the risk of stroke among individuals with moderate-to-severe periodontal diseases and verify the effect of regular dental scaling on stroke risk in this population.</p><p><strong>Methods: </strong>In this retrospective study, 25,758 subjects with moderate-to-severe periodontal diseases were selected from the Korean National Health Insurance Service-National Health Screening Cohort database. Based on the frequency of dental scaling, the subjects were divided into three groups: regular, occasional, and infrequent. Restricted cubic splines were used to evaluate hazard ratios (HRs) with 95% confidence intervals (CIs) for stroke. Additionally, landmark analysis was conducted to strengthen the reliability of the results.</p><p><strong>Results: </strong>There were 293, 111, and 38 stroke cases in the infrequent, occasional, and regular group, respectively. The adjusted HR for stroke in the regular group, compared to that in the infrequent group, was 0.40 (95% CI, 0.29 to 0.57). In the landmark analysis with follow-up after 1 year and after 2 years, the adjusted HR in the regular group compared to that in the infrequent group was 0.41 (95% CI, 0.28 to 0.60) and 0.50 (95% CI, 0.33 to 0.76), respectively.</p><p><strong>Conclusions: </strong>Regular dental scaling was significantly associated with a reduced risk of stroke in patients with moderate-to-severe periodontal diseases. These findings may suggest a potential preventive role of dental scaling beyond oral health. Further studies are needed to explore the underlying biological mechanisms linking periodontal care to stroke prevention and to explore causal relationships between dental scaling and stroke risk.</p>\",\"PeriodicalId\":48543,\"journal\":{\"name\":\"Epidemiology and Health\",\"volume\":\" \",\"pages\":\"e2025020\"},\"PeriodicalIF\":2.2000,\"publicationDate\":\"2025-01-01\",\"publicationTypes\":\"Journal Article\",\"fieldsOfStudy\":null,\"isOpenAccess\":false,\"openAccessPdf\":\"https://www.ncbi.nlm.nih.gov/pmc/articles/PMC12425696/pdf/\",\"citationCount\":\"0\",\"resultStr\":null,\"platform\":\"Semanticscholar\",\"paperid\":null,\"PeriodicalName\":\"Epidemiology and Health\",\"FirstCategoryId\":\"3\",\"ListUrlMain\":\"https://doi.org/10.4178/epih.e2025020\",\"RegionNum\":4,\"RegionCategory\":\"医学\",\"ArticlePicture\":[],\"TitleCN\":null,\"AbstractTextCN\":null,\"PMCID\":null,\"EPubDate\":\"2025/4/19 0:00:00\",\"PubModel\":\"Epub\",\"JCR\":\"Q2\",\"JCRName\":\"PUBLIC, ENVIRONMENTAL & OCCUPATIONAL HEALTH\",\"Score\":null,\"Total\":0}","platform":"Semanticscholar","paperid":null,"PeriodicalName":"Epidemiology and Health","FirstCategoryId":"3","ListUrlMain":"https://doi.org/10.4178/epih.e2025020","RegionNum":4,"RegionCategory":"医学","ArticlePicture":[],"TitleCN":null,"AbstractTextCN":null,"PMCID":null,"EPubDate":"2025/4/19 0:00:00","PubModel":"Epub","JCR":"Q2","JCRName":"PUBLIC, ENVIRONMENTAL & OCCUPATIONAL HEALTH","Score":null,"Total":0}
引用次数: 0

摘要

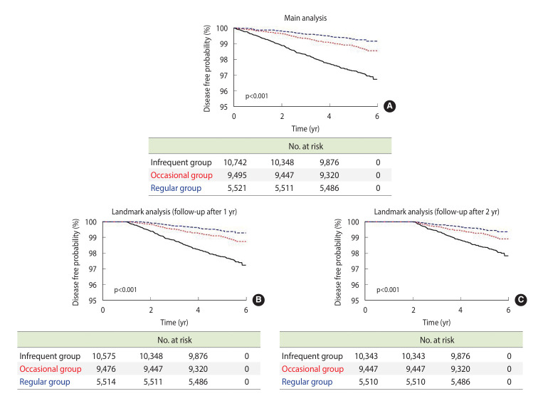
目的:本研究旨在评估中重度牙周病患者刮牙频率与卒中风险之间的关系,并验证定期刮牙对卒中风险的影响。方法:回顾性研究,从韩国国民健康保险服务-国民健康筛查队列数据库中选择25,758例中重度牙周病患者。根据洗牙的频率,将受试者分为三组:定期、偶尔和不频繁。限制三次样条用于评估卒中的风险比(HR), 95%可信区间(CI)。此外,还进行了里程碑分析,以加强结果的可靠性。结果:不常发作组293例,偶尔发作组111例,定期发作组38例。与不常发作组相比,常发作组卒中的调整HR为0.40 (95% CI, 0.29-0.57)。在随访1年和2年后的标志性分析中,常规组与罕见组的调整HR分别为0.41 (95% CI, 0.28-0.60)和0.50 (95% CI, 0.33-0.76)。结论:定期刮牙与中重度牙周病患者中风风险降低显著相关。这些发现可能表明,除口腔健康外,洁牙还有潜在的预防作用。需要进一步的研究来探索将牙周保健与卒中预防联系起来的潜在生物学机制,并探索牙齿清洁与卒中风险之间的因果关系。
本文章由计算机程序翻译,如有差异,请以英文原文为准。

Association between regular dental scaling and stroke risk in patients with periodontal diseases: evidence from a Korean nationwide database.

Association between regular dental scaling and stroke risk in patients with periodontal diseases: evidence from a Korean nationwide database.

Association between regular dental scaling and stroke risk in patients with periodontal diseases: evidence from a Korean nationwide database.

Association between regular dental scaling and stroke risk in patients with periodontal diseases: evidence from a Korean nationwide database.

Objectives: This study aimed to evaluate the association between the frequency of dental scaling and the risk of stroke among individuals with moderate-to-severe periodontal diseases and verify the effect of regular dental scaling on stroke risk in this population.

Methods: In this retrospective study, 25,758 subjects with moderate-to-severe periodontal diseases were selected from the Korean National Health Insurance Service-National Health Screening Cohort database. Based on the frequency of dental scaling, the subjects were divided into three groups: regular, occasional, and infrequent. Restricted cubic splines were used to evaluate hazard ratios (HRs) with 95% confidence intervals (CIs) for stroke. Additionally, landmark analysis was conducted to strengthen the reliability of the results.

Results: There were 293, 111, and 38 stroke cases in the infrequent, occasional, and regular group, respectively. The adjusted HR for stroke in the regular group, compared to that in the infrequent group, was 0.40 (95% CI, 0.29 to 0.57). In the landmark analysis with follow-up after 1 year and after 2 years, the adjusted HR in the regular group compared to that in the infrequent group was 0.41 (95% CI, 0.28 to 0.60) and 0.50 (95% CI, 0.33 to 0.76), respectively.

Conclusions: Regular dental scaling was significantly associated with a reduced risk of stroke in patients with moderate-to-severe periodontal diseases. These findings may suggest a potential preventive role of dental scaling beyond oral health. Further studies are needed to explore the underlying biological mechanisms linking periodontal care to stroke prevention and to explore causal relationships between dental scaling and stroke risk.

求助全文
通过发布文献求助,成功后即可免费获取论文全文。 去求助
来源期刊
Epidemiology and Health
Epidemiology and Health PUBLIC, ENVIRONMENTAL & OCCUPATIONAL HEALTH-
CiteScore
6.30
自引率
2.60%
发文量
106
审稿时长
4 weeks
期刊介绍: Epidemiology and Health (epiH) is an electronic journal publishing papers in all areas of epidemiology and public health. It is indexed on PubMed Central and the scope is wide-ranging: including descriptive, analytical and molecular epidemiology; primary preventive measures; screening approaches and secondary prevention; clinical epidemiology; and all aspects of communicable and non-communicable diseases prevention. The epiH publishes original research, and also welcomes review articles and meta-analyses, cohort profiles and data profiles, epidemic and case investigations, descriptions and applications of new methods, and discussions of research theory or public health policy. We give special consideration to papers from developing countries.
×
引用
GB/T 7714-2015
复制
MLA
复制
APA
复制
导出至
BibTeX EndNote RefMan NoteFirst NoteExpress
×
提示
您的信息不完整,为了账户安全,请先补充。
现在去补充
×
提示
您因"违规操作"
具体请查看互助需知
我知道了
×
提示
确定
请完成安全验证×
copy
已复制链接
快去分享给好友吧!
我知道了
右上角分享
点击右上角分享
0
联系我们:info@booksci.cn Book学术提供免费学术资源搜索服务,方便国内外学者检索中英文文献。致力于提供最便捷和优质的服务体验。 Copyright © 2023 布克学术 All rights reserved.
京ICP备2023020795号-1
ghs 京公网安备 11010802042870号
Book学术文献互助
Book学术文献互助群
群 号:604180095
Book学术官方微信