尼日利亚Zaria地区隐源性脂肪变性肝病的b超分级及其与阳光照射水平的关系:一项病例对照研究

Philip Oluleke Ibinaiye, Benjamin Egbo, Adebanke Olarinoye-Akorede, Bako Joseph Igashi, Tokan Silas Baduku, Bello Omuya Usman, Manko Muhammad, Abdurrahman El-Fulaty Ahmad, Musa Abdulkadir Tabari, Mustapha Kagu Shettima, Muhammed Shakir Balogun, Mohammed Kabir Saleh
{"title":"尼日利亚Zaria地区隐源性脂肪变性肝病的b超分级及其与阳光照射水平的关系:一项病例对照研究","authors":"Philip Oluleke Ibinaiye, Benjamin Egbo, Adebanke Olarinoye-Akorede, Bako Joseph Igashi, Tokan Silas Baduku, Bello Omuya Usman, Manko Muhammad, Abdurrahman El-Fulaty Ahmad, Musa Abdulkadir Tabari, Mustapha Kagu Shettima, Muhammed Shakir Balogun, Mohammed Kabir Saleh","doi":"10.71480/nmj-v66i1.723","DOIUrl":null,"url":null,"abstract":"<p><strong>Background: </strong>Cryptogenic Steatotic Liver Disease (CSLD) is a novel subject where the liver has significant steatosis but without a known cause or abnormal cardiometabolic risk factors. Its aetiology and associations with sunlight exposure remain underexplored, particularly in Nigeria. CSLD is a growing public health concern in Nigeria, characterized by its potential progression to severe liver complications such as cirrhosis and liver cancer, posing significant health risks. This study aimed to determine the association between CSLD and the level of sun exposure.</p><p><strong>Methodology: </strong>This case-control study involved 181 healthy subjects with CSLD and an equal number of normal subjects without CSLD as controls. This made for a total number of 362 subjects. They were recruited into the study consecutively as they emerged after clinical, laboratory, and imaging screenings. A liver ultrasound scan was done using a 3.5MHz frequency transducer to screen for the steatotic liver. The severity of liver steatosis was evaluated by ultrasound bright liver scores (BLS). A daily sun exposure score based on our local pattern was calculated using the information from the administered questionnaire. The data were analyzed with GraphPad Prism software version 6.</p><p><strong>Results: </strong>the median (IQR) age of CSLD and control groups were 44.0 (28.5 - 54.0) and 44.0 (30.0 - 55.0) years. Wilcoxon matched pairs signed rank comparison test showed no significant difference in the ages of the two study groups (<i>p</i> = 0.5578), indicating age matching of the study participants. There was a significant association (χ<sup>2</sup> = 59.03, df = 18, <i>p</i>< 0.0001) between age and development of CSLD. One hundred and eighty-one study subjects with CSLD comprised 83 (45.8%) males and 98 (54.1%) females.The median (IQR) values of the control group's sun exposure score differed significantly from those of the CSLD groups (<i>p</i> = 0.0001) for all categories (mild, moderate, severe steatosis). A multivariate logistic regression analysis model, weighted by years of age and sex, revealed that low sunlight exposure is a significant independent risk factor.</p><p><strong>Conclusion: </strong>The study shows that limited sun exposure is significantly associated with developing CSLD among Nigerians in Zaria. There is also a significant independent risk factor.</p>","PeriodicalId":94346,"journal":{"name":"Nigerian medical journal : journal of the Nigeria Medical Association","volume":"66 1","pages":"319-326"},"PeriodicalIF":0.0000,"publicationDate":"2025-04-03","publicationTypes":"Journal Article","fieldsOfStudy":null,"isOpenAccess":false,"openAccessPdf":"https://www.ncbi.nlm.nih.gov/pmc/articles/PMC12038623/pdf/","citationCount":"0","resultStr":"{\"title\":\"B-Mode Ultrasound Grading of Cryptogenic Steatotic Liver Disease and Association with the Level of Sun Exposure in Zaria, Nigeria: A Case-Control Study.\",\"authors\":\"Philip Oluleke Ibinaiye, Benjamin Egbo, Adebanke Olarinoye-Akorede, Bako Joseph Igashi, Tokan Silas Baduku, Bello Omuya Usman, Manko Muhammad, Abdurrahman El-Fulaty Ahmad, Musa Abdulkadir Tabari, Mustapha Kagu Shettima, Muhammed Shakir Balogun, Mohammed Kabir Saleh\",\"doi\":\"10.71480/nmj-v66i1.723\",\"DOIUrl\":null,\"url\":null,\"abstract\":\"<p><strong>Background: </strong>Cryptogenic Steatotic Liver Disease (CSLD) is a novel subject where the liver has significant steatosis but without a known cause or abnormal cardiometabolic risk factors. Its aetiology and associations with sunlight exposure remain underexplored, particularly in Nigeria. CSLD is a growing public health concern in Nigeria, characterized by its potential progression to severe liver complications such as cirrhosis and liver cancer, posing significant health risks. This study aimed to determine the association between CSLD and the level of sun exposure.</p><p><strong>Methodology: </strong>This case-control study involved 181 healthy subjects with CSLD and an equal number of normal subjects without CSLD as controls. This made for a total number of 362 subjects. They were recruited into the study consecutively as they emerged after clinical, laboratory, and imaging screenings. A liver ultrasound scan was done using a 3.5MHz frequency transducer to screen for the steatotic liver. The severity of liver steatosis was evaluated by ultrasound bright liver scores (BLS). A daily sun exposure score based on our local pattern was calculated using the information from the administered questionnaire. The data were analyzed with GraphPad Prism software version 6.</p><p><strong>Results: </strong>the median (IQR) age of CSLD and control groups were 44.0 (28.5 - 54.0) and 44.0 (30.0 - 55.0) years. Wilcoxon matched pairs signed rank comparison test showed no significant difference in the ages of the two study groups (<i>p</i> = 0.5578), indicating age matching of the study participants. There was a significant association (χ<sup>2</sup> = 59.03, df = 18, <i>p</i>< 0.0001) between age and development of CSLD. One hundred and eighty-one study subjects with CSLD comprised 83 (45.8%) males and 98 (54.1%) females.The median (IQR) values of the control group's sun exposure score differed significantly from those of the CSLD groups (<i>p</i> = 0.0001) for all categories (mild, moderate, severe steatosis). A multivariate logistic regression analysis model, weighted by years of age and sex, revealed that low sunlight exposure is a significant independent risk factor.</p><p><strong>Conclusion: </strong>The study shows that limited sun exposure is significantly associated with developing CSLD among Nigerians in Zaria. There is also a significant independent risk factor.</p>\",\"PeriodicalId\":94346,\"journal\":{\"name\":\"Nigerian medical journal : journal of the Nigeria Medical Association\",\"volume\":\"66 1\",\"pages\":\"319-326\"},\"PeriodicalIF\":0.0000,\"publicationDate\":\"2025-04-03\",\"publicationTypes\":\"Journal Article\",\"fieldsOfStudy\":null,\"isOpenAccess\":false,\"openAccessPdf\":\"https://www.ncbi.nlm.nih.gov/pmc/articles/PMC12038623/pdf/\",\"citationCount\":\"0\",\"resultStr\":null,\"platform\":\"Semanticscholar\",\"paperid\":null,\"PeriodicalName\":\"Nigerian medical journal : journal of the Nigeria Medical Association\",\"FirstCategoryId\":\"1085\",\"ListUrlMain\":\"https://doi.org/10.71480/nmj-v66i1.723\",\"RegionNum\":0,\"RegionCategory\":null,\"ArticlePicture\":[],\"TitleCN\":null,\"AbstractTextCN\":null,\"PMCID\":null,\"EPubDate\":\"2025/1/1 0:00:00\",\"PubModel\":\"eCollection\",\"JCR\":\"\",\"JCRName\":\"\",\"Score\":null,\"Total\":0}","platform":"Semanticscholar","paperid":null,"PeriodicalName":"Nigerian medical journal : journal of the Nigeria Medical Association","FirstCategoryId":"1085","ListUrlMain":"https://doi.org/10.71480/nmj-v66i1.723","RegionNum":0,"RegionCategory":null,"ArticlePicture":[],"TitleCN":null,"AbstractTextCN":null,"PMCID":null,"EPubDate":"2025/1/1 0:00:00","PubModel":"eCollection","JCR":"","JCRName":"","Score":null,"Total":0}
引用次数: 0

摘要

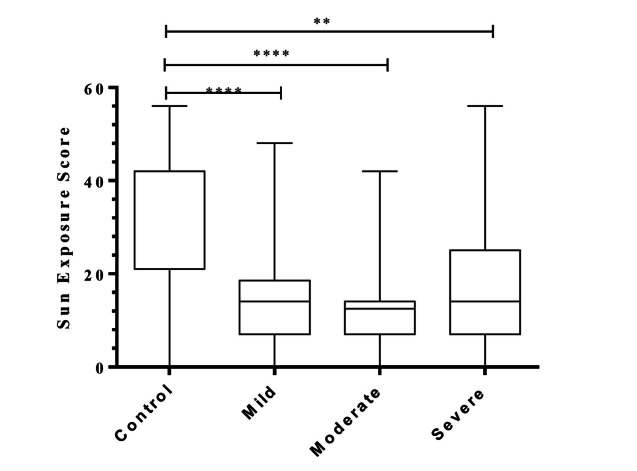
背景:隐源性脂肪变性肝病(CSLD)是一种肝脏有明显脂肪变性但没有已知原因或异常心脏代谢危险因素的新课题。其病因及其与阳光照射的关系仍未得到充分研究,特别是在尼日利亚。在尼日利亚,慢性肝病是一个日益严重的公共卫生问题,其特点是可能发展为严重的肝脏并发症,如肝硬化和肝癌,构成重大健康风险。本研究旨在确定CSLD与阳光照射水平之间的关系。方法:本病例对照研究纳入181名患有CSLD的健康受试者和同等数量的无CSLD的正常受试者作为对照。总共有362名受试者。他们在经过临床、实验室和影像学检查后被连续招募到研究中。使用3.5MHz频率换能器进行肝脏超声扫描以筛查脂肪肝。采用超声亮肝评分(BLS)评价肝脂肪变性的严重程度。基于我们当地模式的每日阳光照射得分是使用管理问卷中的信息计算出来的。使用GraphPad Prism 6版软件对数据进行分析。结果:CSLD组和对照组的中位(IQR)年龄分别为44.0(28.5 ~ 54.0)和44.0(30.0 ~ 55.0)岁。Wilcoxon配对对签名秩比较检验显示两个研究组的年龄无显著差异(p = 0.5578),说明研究对象年龄匹配。年龄与CSLD的发生有显著相关性(χ2 = 59.03, df = 18, p< 0.0001)。181例CSLD患者中,男性83例(45.8%),女性98例(54.1%)。在所有类别(轻度、中度、重度脂肪变性)中,对照组的日晒评分中位数(IQR)值与CSLD组差异显著(p = 0.0001)。以年龄和性别加权的多变量logistic回归分析模型显示,日照不足是显著的独立危险因素。结论:该研究表明,在Zaria的尼日利亚人中,有限的阳光照射与发生CSLD显着相关。还有一个重要的独立风险因素。
本文章由计算机程序翻译,如有差异,请以英文原文为准。

B-Mode Ultrasound Grading of Cryptogenic Steatotic Liver Disease and Association with the Level of Sun Exposure in Zaria, Nigeria: A Case-Control Study.

B-Mode Ultrasound Grading of Cryptogenic Steatotic Liver Disease and Association with the Level of Sun Exposure in Zaria, Nigeria: A Case-Control Study.

Background: Cryptogenic Steatotic Liver Disease (CSLD) is a novel subject where the liver has significant steatosis but without a known cause or abnormal cardiometabolic risk factors. Its aetiology and associations with sunlight exposure remain underexplored, particularly in Nigeria. CSLD is a growing public health concern in Nigeria, characterized by its potential progression to severe liver complications such as cirrhosis and liver cancer, posing significant health risks. This study aimed to determine the association between CSLD and the level of sun exposure.

Methodology: This case-control study involved 181 healthy subjects with CSLD and an equal number of normal subjects without CSLD as controls. This made for a total number of 362 subjects. They were recruited into the study consecutively as they emerged after clinical, laboratory, and imaging screenings. A liver ultrasound scan was done using a 3.5MHz frequency transducer to screen for the steatotic liver. The severity of liver steatosis was evaluated by ultrasound bright liver scores (BLS). A daily sun exposure score based on our local pattern was calculated using the information from the administered questionnaire. The data were analyzed with GraphPad Prism software version 6.

Results: the median (IQR) age of CSLD and control groups were 44.0 (28.5 - 54.0) and 44.0 (30.0 - 55.0) years. Wilcoxon matched pairs signed rank comparison test showed no significant difference in the ages of the two study groups (p = 0.5578), indicating age matching of the study participants. There was a significant association (χ2 = 59.03, df = 18, p< 0.0001) between age and development of CSLD. One hundred and eighty-one study subjects with CSLD comprised 83 (45.8%) males and 98 (54.1%) females.The median (IQR) values of the control group's sun exposure score differed significantly from those of the CSLD groups (p = 0.0001) for all categories (mild, moderate, severe steatosis). A multivariate logistic regression analysis model, weighted by years of age and sex, revealed that low sunlight exposure is a significant independent risk factor.

Conclusion: The study shows that limited sun exposure is significantly associated with developing CSLD among Nigerians in Zaria. There is also a significant independent risk factor.

求助全文
通过发布文献求助,成功后即可免费获取论文全文。 去求助
来源期刊
自引率
0.00%
发文量
0
×
引用
GB/T 7714-2015
复制
MLA
复制
APA
复制
导出至
BibTeX EndNote RefMan NoteFirst NoteExpress
×
提示
您的信息不完整,为了账户安全,请先补充。
现在去补充
×
提示
您因"违规操作"
具体请查看互助需知
我知道了
×
提示
确定
请完成安全验证×
copy
已复制链接
快去分享给好友吧!
我知道了
右上角分享
点击右上角分享
0
联系我们:info@booksci.cn Book学术提供免费学术资源搜索服务,方便国内外学者检索中英文文献。致力于提供最便捷和优质的服务体验。 Copyright © 2023 布克学术 All rights reserved.
京ICP备2023020795号-1
ghs 京公网安备 11010802042870号
Book学术文献互助
Book学术文献互助群
群 号:604180095
Book学术官方微信