研究椭圆度对平面椭圆布拉格反射镜Purcell和品质因子的影响。

Q2 Environmental Science
The Scientific World Journal Pub Date : 2025-05-01 eCollection Date: 2025-01-01 DOI:10.1155/tswj/1033773
Sanaa Al-Sumaidae
{"title":"研究椭圆度对平面椭圆布拉格反射镜Purcell和品质因子的影响。","authors":"Sanaa Al-Sumaidae","doi":"10.1155/tswj/1033773","DOIUrl":null,"url":null,"abstract":"<p><p>High-quality factor <i>Q</i> and elliptical cross-section microcavity of small size are described. We present a numerical investigation of the performance of the elliptical microcavity. We design elliptical microcavities to control the emission rate of dipolar emitters and investigate how the ellipticity factor influences the Purcell and <i>Q</i>-factors. We demonstrate an enhancement of up to 16 × 10<sup>3</sup> in the Purcell factor for TiO<sub>2</sub>-based mirrors and 8 × 10<sup>3</sup> for ZnS-based mirrors. A numerical study at 1550 nm also shows that an ellipticity factor (<i>ε</i> = 0.4) could significantly affect the Purcell and <i>Q</i>-factor. These benefits are expected to be even more persuasive in short wavelengths.</p>","PeriodicalId":22985,"journal":{"name":"The Scientific World Journal","volume":"2025 ","pages":"1033773"},"PeriodicalIF":0.0000,"publicationDate":"2025-05-01","publicationTypes":"Journal Article","fieldsOfStudy":null,"isOpenAccess":false,"openAccessPdf":"https://www.ncbi.nlm.nih.gov/pmc/articles/PMC12061524/pdf/","citationCount":"0","resultStr":"{\"title\":\"Investigating the Influence of Ellipticity on the Purcell and Quality Factors in Planar-Elliptical Bragg Mirrors.\",\"authors\":\"Sanaa Al-Sumaidae\",\"doi\":\"10.1155/tswj/1033773\",\"DOIUrl\":null,\"url\":null,\"abstract\":\"<p><p>High-quality factor <i>Q</i> and elliptical cross-section microcavity of small size are described. We present a numerical investigation of the performance of the elliptical microcavity. We design elliptical microcavities to control the emission rate of dipolar emitters and investigate how the ellipticity factor influences the Purcell and <i>Q</i>-factors. We demonstrate an enhancement of up to 16 × 10<sup>3</sup> in the Purcell factor for TiO<sub>2</sub>-based mirrors and 8 × 10<sup>3</sup> for ZnS-based mirrors. A numerical study at 1550 nm also shows that an ellipticity factor (<i>ε</i> = 0.4) could significantly affect the Purcell and <i>Q</i>-factor. These benefits are expected to be even more persuasive in short wavelengths.</p>\",\"PeriodicalId\":22985,\"journal\":{\"name\":\"The Scientific World Journal\",\"volume\":\"2025 \",\"pages\":\"1033773\"},\"PeriodicalIF\":0.0000,\"publicationDate\":\"2025-05-01\",\"publicationTypes\":\"Journal Article\",\"fieldsOfStudy\":null,\"isOpenAccess\":false,\"openAccessPdf\":\"https://www.ncbi.nlm.nih.gov/pmc/articles/PMC12061524/pdf/\",\"citationCount\":\"0\",\"resultStr\":null,\"platform\":\"Semanticscholar\",\"paperid\":null,\"PeriodicalName\":\"The Scientific World Journal\",\"FirstCategoryId\":\"1085\",\"ListUrlMain\":\"https://doi.org/10.1155/tswj/1033773\",\"RegionNum\":0,\"RegionCategory\":null,\"ArticlePicture\":[],\"TitleCN\":null,\"AbstractTextCN\":null,\"PMCID\":null,\"EPubDate\":\"2025/1/1 0:00:00\",\"PubModel\":\"eCollection\",\"JCR\":\"Q2\",\"JCRName\":\"Environmental Science\",\"Score\":null,\"Total\":0}","platform":"Semanticscholar","paperid":null,"PeriodicalName":"The Scientific World Journal","FirstCategoryId":"1085","ListUrlMain":"https://doi.org/10.1155/tswj/1033773","RegionNum":0,"RegionCategory":null,"ArticlePicture":[],"TitleCN":null,"AbstractTextCN":null,"PMCID":null,"EPubDate":"2025/1/1 0:00:00","PubModel":"eCollection","JCR":"Q2","JCRName":"Environmental Science","Score":null,"Total":0}
引用次数: 0

摘要

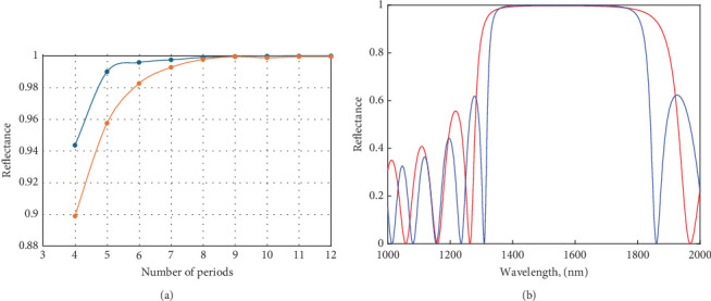
描述了高质量因子Q和小尺寸椭圆截面微腔。本文对椭圆微腔的性能进行了数值研究。我们设计了椭圆微腔来控制偶极体的发射速率,并研究了椭圆度因子对Purcell因子和q因子的影响。我们证明了基于tio2的反射镜的Purcell因子提高了16 × 103,基于zns的反射镜的Purcell因子提高了8 × 103。在1550 nm处的数值研究也表明,椭圆度因子(ε = 0.4)对Purcell和q因子有显著影响。这些好处在短波长的情况下更有说服力。
本文章由计算机程序翻译,如有差异,请以英文原文为准。

Investigating the Influence of Ellipticity on the Purcell and Quality Factors in Planar-Elliptical Bragg Mirrors.

Investigating the Influence of Ellipticity on the Purcell and Quality Factors in Planar-Elliptical Bragg Mirrors.

Investigating the Influence of Ellipticity on the Purcell and Quality Factors in Planar-Elliptical Bragg Mirrors.

Investigating the Influence of Ellipticity on the Purcell and Quality Factors in Planar-Elliptical Bragg Mirrors.

High-quality factor Q and elliptical cross-section microcavity of small size are described. We present a numerical investigation of the performance of the elliptical microcavity. We design elliptical microcavities to control the emission rate of dipolar emitters and investigate how the ellipticity factor influences the Purcell and Q-factors. We demonstrate an enhancement of up to 16 × 103 in the Purcell factor for TiO2-based mirrors and 8 × 103 for ZnS-based mirrors. A numerical study at 1550 nm also shows that an ellipticity factor (ε = 0.4) could significantly affect the Purcell and Q-factor. These benefits are expected to be even more persuasive in short wavelengths.

求助全文
通过发布文献求助,成功后即可免费获取论文全文。 去求助
来源期刊
The Scientific World Journal
The Scientific World Journal 综合性期刊-综合性期刊
CiteScore
5.60
自引率
0.00%
发文量
170
审稿时长
3.7 months
期刊介绍: The Scientific World Journal is a peer-reviewed, Open Access journal that publishes original research, reviews, and clinical studies covering a wide range of subjects in science, technology, and medicine. The journal is divided into 81 subject areas.
×
引用
GB/T 7714-2015
复制
MLA
复制
APA
复制
导出至
BibTeX EndNote RefMan NoteFirst NoteExpress
×
提示
您的信息不完整,为了账户安全,请先补充。
现在去补充
×
提示
您因"违规操作"
具体请查看互助需知
我知道了
×
提示
确定
请完成安全验证×
copy
已复制链接
快去分享给好友吧!
我知道了
右上角分享
点击右上角分享
0
联系我们:info@booksci.cn Book学术提供免费学术资源搜索服务,方便国内外学者检索中英文文献。致力于提供最便捷和优质的服务体验。 Copyright © 2023 布克学术 All rights reserved.
京ICP备2023020795号-1
ghs 京公网安备 11010802042870号
Book学术文献互助
Book学术文献互助群
群 号:604180095
Book学术官方微信