纤维蛋白原/白蛋白比率与腹膜透析患者首次心血管事件相关

IF 4.3
Annals of medicine Pub Date : 2025-12-01 Epub Date: 2025-04-30 DOI:10.1080/07853890.2025.2499025
Qiqi Yan, Guiling Liu, Ruifeng Wang, Dandan Li, Deguang Wang
{"title":"纤维蛋白原/白蛋白比率与腹膜透析患者首次心血管事件相关","authors":"Qiqi Yan, Guiling Liu, Ruifeng Wang, Dandan Li, Deguang Wang","doi":"10.1080/07853890.2025.2499025","DOIUrl":null,"url":null,"abstract":"<p><strong>Objective: </strong>The fibrinogen/albumin ratio (FAR) is a novel inflammatory indicator, which has been associated with cardiovascular disease. However, the relationship between FAR and cardiovascular event (CVE) in patients with peritoneal dialysis (PD) remains unclear. This study aims to clarify the relationship between FAR and first-ever CVE in patients with PD.</p><p><strong>Methods: </strong>A total of 278 patients were enrolled between January 2012 and June 2021. They were defined as the high FAR group and the low FAR group based on the median FAR value (0.107). The primary outcome was the occurrence of first-ever CVE. Kaplan-Meier's curves and Cox regression analysis were used to analyse the relationship between FAR and first-ever CVE in patients with PD. Forest plots were employed to depict the relationship between FAR and first-ever CVE in each subgroup.</p><p><strong>Results: </strong>The average follow-up period was 40.26 ± 28.27 months. A total of 101 (36.3%) patients developed first-ever CVE. Kaplan-Meier's analysis showed that there was a higher risk of first-ever CVE (<i>p</i> = .002) in the high FAR group. Multivariate Cox regression analysis showed that FAR ≥ 0.107 and age were independently associated with the risk of first-ever CVE in patients with PD. Receiver operating characteristic (ROC) analysis showed that FAR had a greater predicting value on the first-ever CVE.</p><p><strong>Conclusions: </strong>High levels of FAR are independently associated with an increased risk of first-ever CVE in patients with PD.</p>","PeriodicalId":93874,"journal":{"name":"Annals of medicine","volume":"57 1","pages":"2499025"},"PeriodicalIF":4.3000,"publicationDate":"2025-12-01","publicationTypes":"Journal Article","fieldsOfStudy":null,"isOpenAccess":false,"openAccessPdf":"https://www.ncbi.nlm.nih.gov/pmc/articles/PMC12044904/pdf/","citationCount":"0","resultStr":"{\"title\":\"Fibrinogen/albumin ratio is associated with first-ever cardiovascular events in patients with peritoneal dialysis.\",\"authors\":\"Qiqi Yan, Guiling Liu, Ruifeng Wang, Dandan Li, Deguang Wang\",\"doi\":\"10.1080/07853890.2025.2499025\",\"DOIUrl\":null,\"url\":null,\"abstract\":\"<p><strong>Objective: </strong>The fibrinogen/albumin ratio (FAR) is a novel inflammatory indicator, which has been associated with cardiovascular disease. However, the relationship between FAR and cardiovascular event (CVE) in patients with peritoneal dialysis (PD) remains unclear. This study aims to clarify the relationship between FAR and first-ever CVE in patients with PD.</p><p><strong>Methods: </strong>A total of 278 patients were enrolled between January 2012 and June 2021. They were defined as the high FAR group and the low FAR group based on the median FAR value (0.107). The primary outcome was the occurrence of first-ever CVE. Kaplan-Meier's curves and Cox regression analysis were used to analyse the relationship between FAR and first-ever CVE in patients with PD. Forest plots were employed to depict the relationship between FAR and first-ever CVE in each subgroup.</p><p><strong>Results: </strong>The average follow-up period was 40.26 ± 28.27 months. A total of 101 (36.3%) patients developed first-ever CVE. Kaplan-Meier's analysis showed that there was a higher risk of first-ever CVE (<i>p</i> = .002) in the high FAR group. Multivariate Cox regression analysis showed that FAR ≥ 0.107 and age were independently associated with the risk of first-ever CVE in patients with PD. Receiver operating characteristic (ROC) analysis showed that FAR had a greater predicting value on the first-ever CVE.</p><p><strong>Conclusions: </strong>High levels of FAR are independently associated with an increased risk of first-ever CVE in patients with PD.</p>\",\"PeriodicalId\":93874,\"journal\":{\"name\":\"Annals of medicine\",\"volume\":\"57 1\",\"pages\":\"2499025\"},\"PeriodicalIF\":4.3000,\"publicationDate\":\"2025-12-01\",\"publicationTypes\":\"Journal Article\",\"fieldsOfStudy\":null,\"isOpenAccess\":false,\"openAccessPdf\":\"https://www.ncbi.nlm.nih.gov/pmc/articles/PMC12044904/pdf/\",\"citationCount\":\"0\",\"resultStr\":null,\"platform\":\"Semanticscholar\",\"paperid\":null,\"PeriodicalName\":\"Annals of medicine\",\"FirstCategoryId\":\"1085\",\"ListUrlMain\":\"https://doi.org/10.1080/07853890.2025.2499025\",\"RegionNum\":0,\"RegionCategory\":null,\"ArticlePicture\":[],\"TitleCN\":null,\"AbstractTextCN\":null,\"PMCID\":null,\"EPubDate\":\"2025/4/30 0:00:00\",\"PubModel\":\"Epub\",\"JCR\":\"\",\"JCRName\":\"\",\"Score\":null,\"Total\":0}","platform":"Semanticscholar","paperid":null,"PeriodicalName":"Annals of medicine","FirstCategoryId":"1085","ListUrlMain":"https://doi.org/10.1080/07853890.2025.2499025","RegionNum":0,"RegionCategory":null,"ArticlePicture":[],"TitleCN":null,"AbstractTextCN":null,"PMCID":null,"EPubDate":"2025/4/30 0:00:00","PubModel":"Epub","JCR":"","JCRName":"","Score":null,"Total":0}
引用次数: 0

摘要

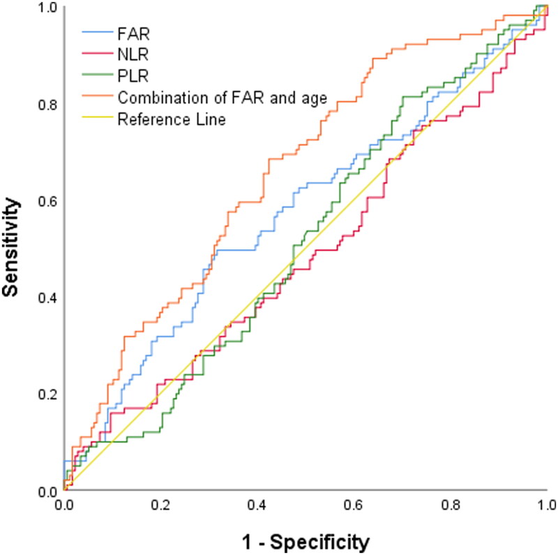
目的:纤维蛋白原/白蛋白比(FAR)是一种新的炎症指标,与心血管疾病有关。然而,FAR与腹膜透析(PD)患者心血管事件(CVE)之间的关系尚不清楚。本研究旨在阐明FAR与PD患者首次CVE之间的关系。方法:2012年1月至2021年6月共纳入278例患者。根据FAR中位数(0.107)将其定义为高FAR组和低FAR组。主要结局为首次CVE的发生。采用Kaplan-Meier曲线和Cox回归分析PD患者FAR与首次CVE的关系。采用森林图来描述每个亚组中FAR与首次CVE之间的关系。结果:平均随访时间40.26±28.27个月。共有101例(36.3%)患者发生首次CVE。Kaplan-Meier的分析显示,高FAR组有更高的首次CVE风险(p = 0.002)。多因素Cox回归分析显示,FAR≥0.107和年龄与PD患者首次发生CVE的风险独立相关。受试者工作特征(ROC)分析显示FAR对首次CVE有更大的预测价值。结论:高水平的FAR与PD患者首次CVE的风险增加独立相关。
本文章由计算机程序翻译,如有差异,请以英文原文为准。

Fibrinogen/albumin ratio is associated with first-ever cardiovascular events in patients with peritoneal dialysis.

Fibrinogen/albumin ratio is associated with first-ever cardiovascular events in patients with peritoneal dialysis.

Fibrinogen/albumin ratio is associated with first-ever cardiovascular events in patients with peritoneal dialysis.

Fibrinogen/albumin ratio is associated with first-ever cardiovascular events in patients with peritoneal dialysis.

Objective: The fibrinogen/albumin ratio (FAR) is a novel inflammatory indicator, which has been associated with cardiovascular disease. However, the relationship between FAR and cardiovascular event (CVE) in patients with peritoneal dialysis (PD) remains unclear. This study aims to clarify the relationship between FAR and first-ever CVE in patients with PD.

Methods: A total of 278 patients were enrolled between January 2012 and June 2021. They were defined as the high FAR group and the low FAR group based on the median FAR value (0.107). The primary outcome was the occurrence of first-ever CVE. Kaplan-Meier's curves and Cox regression analysis were used to analyse the relationship between FAR and first-ever CVE in patients with PD. Forest plots were employed to depict the relationship between FAR and first-ever CVE in each subgroup.

Results: The average follow-up period was 40.26 ± 28.27 months. A total of 101 (36.3%) patients developed first-ever CVE. Kaplan-Meier's analysis showed that there was a higher risk of first-ever CVE (p = .002) in the high FAR group. Multivariate Cox regression analysis showed that FAR ≥ 0.107 and age were independently associated with the risk of first-ever CVE in patients with PD. Receiver operating characteristic (ROC) analysis showed that FAR had a greater predicting value on the first-ever CVE.

Conclusions: High levels of FAR are independently associated with an increased risk of first-ever CVE in patients with PD.

求助全文
通过发布文献求助,成功后即可免费获取论文全文。 去求助
来源期刊
自引率
0.00%
发文量
0
×
引用
GB/T 7714-2015
复制
MLA
复制
APA
复制
导出至
BibTeX EndNote RefMan NoteFirst NoteExpress
×
提示
您的信息不完整,为了账户安全,请先补充。
现在去补充
×
提示
您因"违规操作"
具体请查看互助需知
我知道了
×
提示
确定
请完成安全验证×
copy
已复制链接
快去分享给好友吧!
我知道了
右上角分享
点击右上角分享
0
联系我们:info@booksci.cn Book学术提供免费学术资源搜索服务,方便国内外学者检索中英文文献。致力于提供最便捷和优质的服务体验。 Copyright © 2023 布克学术 All rights reserved.
京ICP备2023020795号-1
ghs 京公网安备 11010802042870号
Book学术文献互助
Book学术文献互助群
群 号:604180095
Book学术官方微信