菠萝的抗旱能力[Ananas comosus (L.)][qh]植物微生物组。

IF 0.9 Q3 BIOLOGY
Tropical life sciences research Pub Date : 2025-03-01 Epub Date: 2025-03-30 DOI:10.21315/tlsr2025.36.1.4
Rahayu Fitriani Wangsa Putrie, I Nyoman Pugeg Aryantha, Iriawati, Sarjiya Antonius
{"title":"菠萝的抗旱能力[Ananas comosus (L.)][qh]植物微生物组。","authors":"Rahayu Fitriani Wangsa Putrie, I Nyoman Pugeg Aryantha, Iriawati, Sarjiya Antonius","doi":"10.21315/tlsr2025.36.1.4","DOIUrl":null,"url":null,"abstract":"<p><p>The microbiomes of Indonesian pineapple plants cover drought-resistant microorganisms that have not yet been studied. Therefore, this research aims to analyse the pineapple's endophytic and rhizobacteria capability to survive and support the plant in drought. The screening used <i>polyethylene glycol</i> (PEG) 6000 with specific osmotic pressures as a form of stress simulation. The isolates were further tested for their production of exopolysaccharides (EPS) and growth hormones (IAA), survival at high temperatures and salinity and other vital, drought-tolerant factors. Based on PEG 6000 analysis with certain osmotic pressure, about 13 isolates could survive at -0.73 MPa. Some isolates can produce EPS up to 89.23 mg/mL at -0.73 MPa, survive at 10% salinity, at a temperature of 50°C, pH 4 and produce IAA up to 7.5 ppm on medium. Most isolates can improve corn seedlings' growth quality and produce ACC deaminase and catalase enzymes. Isolate BDO 8 and BAO 5 showed more constant results compared with others. Based on the 16S rRNA gene, these isolates were identified as <i>Bacillus cereus</i> strain ATCC 14579T.112 and <i>Bacillus cereus</i> strain WHX1 with 99.91% and 100% sequence similarities, respectively. These findings suggest that these isolates could be developed as bioinoculant candidates for use in dry agricultural areas.</p>","PeriodicalId":23477,"journal":{"name":"Tropical life sciences research","volume":"36 1","pages":"57-75"},"PeriodicalIF":0.9000,"publicationDate":"2025-03-01","publicationTypes":"Journal Article","fieldsOfStudy":null,"isOpenAccess":false,"openAccessPdf":"https://www.ncbi.nlm.nih.gov/pmc/articles/PMC12017287/pdf/","citationCount":"0","resultStr":"{\"title\":\"Drought Tolerant Capability of Pineapple [<i>Ananas comosus</i> (L.) Merr] Plant Microbiome.\",\"authors\":\"Rahayu Fitriani Wangsa Putrie, I Nyoman Pugeg Aryantha, Iriawati, Sarjiya Antonius\",\"doi\":\"10.21315/tlsr2025.36.1.4\",\"DOIUrl\":null,\"url\":null,\"abstract\":\"<p><p>The microbiomes of Indonesian pineapple plants cover drought-resistant microorganisms that have not yet been studied. Therefore, this research aims to analyse the pineapple's endophytic and rhizobacteria capability to survive and support the plant in drought. The screening used <i>polyethylene glycol</i> (PEG) 6000 with specific osmotic pressures as a form of stress simulation. The isolates were further tested for their production of exopolysaccharides (EPS) and growth hormones (IAA), survival at high temperatures and salinity and other vital, drought-tolerant factors. Based on PEG 6000 analysis with certain osmotic pressure, about 13 isolates could survive at -0.73 MPa. Some isolates can produce EPS up to 89.23 mg/mL at -0.73 MPa, survive at 10% salinity, at a temperature of 50°C, pH 4 and produce IAA up to 7.5 ppm on medium. Most isolates can improve corn seedlings' growth quality and produce ACC deaminase and catalase enzymes. Isolate BDO 8 and BAO 5 showed more constant results compared with others. Based on the 16S rRNA gene, these isolates were identified as <i>Bacillus cereus</i> strain ATCC 14579T.112 and <i>Bacillus cereus</i> strain WHX1 with 99.91% and 100% sequence similarities, respectively. These findings suggest that these isolates could be developed as bioinoculant candidates for use in dry agricultural areas.</p>\",\"PeriodicalId\":23477,\"journal\":{\"name\":\"Tropical life sciences research\",\"volume\":\"36 1\",\"pages\":\"57-75\"},\"PeriodicalIF\":0.9000,\"publicationDate\":\"2025-03-01\",\"publicationTypes\":\"Journal Article\",\"fieldsOfStudy\":null,\"isOpenAccess\":false,\"openAccessPdf\":\"https://www.ncbi.nlm.nih.gov/pmc/articles/PMC12017287/pdf/\",\"citationCount\":\"0\",\"resultStr\":null,\"platform\":\"Semanticscholar\",\"paperid\":null,\"PeriodicalName\":\"Tropical life sciences research\",\"FirstCategoryId\":\"1085\",\"ListUrlMain\":\"https://doi.org/10.21315/tlsr2025.36.1.4\",\"RegionNum\":0,\"RegionCategory\":null,\"ArticlePicture\":[],\"TitleCN\":null,\"AbstractTextCN\":null,\"PMCID\":null,\"EPubDate\":\"2025/3/30 0:00:00\",\"PubModel\":\"Epub\",\"JCR\":\"Q3\",\"JCRName\":\"BIOLOGY\",\"Score\":null,\"Total\":0}","platform":"Semanticscholar","paperid":null,"PeriodicalName":"Tropical life sciences research","FirstCategoryId":"1085","ListUrlMain":"https://doi.org/10.21315/tlsr2025.36.1.4","RegionNum":0,"RegionCategory":null,"ArticlePicture":[],"TitleCN":null,"AbstractTextCN":null,"PMCID":null,"EPubDate":"2025/3/30 0:00:00","PubModel":"Epub","JCR":"Q3","JCRName":"BIOLOGY","Score":null,"Total":0}
引用次数: 0

摘要

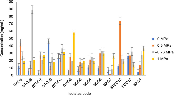
印度尼西亚菠萝植物的微生物组包括尚未被研究的抗旱微生物。因此,本研究旨在分析菠萝在干旱中生存和支持植物的内生菌和根瘤菌能力。筛选使用具有特定渗透压的聚乙二醇(PEG) 6000作为应力模拟形式。进一步测试了菌株的胞外多糖(EPS)和生长激素(IAA)的产量、高温和盐胁迫下的存活率以及其他重要的耐旱因子。在一定渗透压条件下,PEG 6000分析结果显示,在-0.73 MPa环境下,约有13株菌株能够存活。部分菌株在-0.73 MPa条件下EPS可达89.23 mg/mL,在10%盐度、50℃温度、pH 4条件下存活,IAA在培养基上可达7.5 ppm。多数菌株能提高玉米幼苗的生长品质,产生ACC脱氨酶和过氧化氢酶。分离物BDO 8和BAO 5的稳定性较好。根据16S rRNA基因鉴定,这些分离株为蜡样芽孢杆菌ATCC 14579T。112和蜡样芽孢杆菌WHX1的序列相似性分别为99.91%和100%。这些发现表明,这些分离物可以作为生物接种剂开发用于干旱农业地区。
本文章由计算机程序翻译,如有差异,请以英文原文为准。

Drought Tolerant Capability of Pineapple [<i>Ananas comosus</i> (L.) Merr] Plant Microbiome.

Drought Tolerant Capability of Pineapple [<i>Ananas comosus</i> (L.) Merr] Plant Microbiome.

Drought Tolerant Capability of Pineapple [<i>Ananas comosus</i> (L.) Merr] Plant Microbiome.

Drought Tolerant Capability of Pineapple [Ananas comosus (L.) Merr] Plant Microbiome.

The microbiomes of Indonesian pineapple plants cover drought-resistant microorganisms that have not yet been studied. Therefore, this research aims to analyse the pineapple's endophytic and rhizobacteria capability to survive and support the plant in drought. The screening used polyethylene glycol (PEG) 6000 with specific osmotic pressures as a form of stress simulation. The isolates were further tested for their production of exopolysaccharides (EPS) and growth hormones (IAA), survival at high temperatures and salinity and other vital, drought-tolerant factors. Based on PEG 6000 analysis with certain osmotic pressure, about 13 isolates could survive at -0.73 MPa. Some isolates can produce EPS up to 89.23 mg/mL at -0.73 MPa, survive at 10% salinity, at a temperature of 50°C, pH 4 and produce IAA up to 7.5 ppm on medium. Most isolates can improve corn seedlings' growth quality and produce ACC deaminase and catalase enzymes. Isolate BDO 8 and BAO 5 showed more constant results compared with others. Based on the 16S rRNA gene, these isolates were identified as Bacillus cereus strain ATCC 14579T.112 and Bacillus cereus strain WHX1 with 99.91% and 100% sequence similarities, respectively. These findings suggest that these isolates could be developed as bioinoculant candidates for use in dry agricultural areas.

求助全文
通过发布文献求助,成功后即可免费获取论文全文。 去求助
来源期刊
CiteScore
2.60
自引率
0.00%
发文量
40
审稿时长
20 weeks
期刊介绍: Tropical Life Sciences Research (TLSR) formerly known as Journal of Bioscience seeks to publish relevant ideas and knowledge addressing vital life sciences issues in the tropical region. The Journal’s scope is interdisciplinary in nature and covers any aspects related to issues on life sciences especially from the field of biochemistry, microbiology, biotechnology and animal, plant, environmental, biomedical and pharmaceutical sciences. TLSR practices double blind peer review system to ensure and maintain the good quality of articles published in this journal. Two issues are published annually in printed and electronic form. TLSR also accepts review articles, experimental papers and short communications. The Chief Editor would like to invite researchers to use this journal as a mean to rapidly promote their research findings.
×
引用
GB/T 7714-2015
复制
MLA
复制
APA
复制
导出至
BibTeX EndNote RefMan NoteFirst NoteExpress
×
提示
您的信息不完整,为了账户安全,请先补充。
现在去补充
×
提示
您因"违规操作"
具体请查看互助需知
我知道了
×
提示
确定
请完成安全验证×
copy
已复制链接
快去分享给好友吧!
我知道了
右上角分享
点击右上角分享
0
联系我们:info@booksci.cn Book学术提供免费学术资源搜索服务,方便国内外学者检索中英文文献。致力于提供最便捷和优质的服务体验。 Copyright © 2023 布克学术 All rights reserved.
京ICP备2023020795号-1
ghs 京公网安备 11010802042870号
Book学术文献互助
Book学术文献互助群
群 号:604180095
Book学术官方微信