老年人精神分裂症维持期复发的危险因素:一项匹配病例-对照研究

IF 3.5 Q3 PSYCHIATRY
Alpha psychiatry Pub Date : 2025-04-21 eCollection Date: 2025-04-01 DOI:10.31083/AP39866
Biqi Zu, Ting Wang, Chunying Pan, Wentao Li, Libin An, Juan Yin, Yulan Wu, Junting Xu, Dandan Li, Xin Wu, Ziwei Xie
{"title":"老年人精神分裂症维持期复发的危险因素:一项匹配病例-对照研究","authors":"Biqi Zu, Ting Wang, Chunying Pan, Wentao Li, Libin An, Juan Yin, Yulan Wu, Junting Xu, Dandan Li, Xin Wu, Ziwei Xie","doi":"10.31083/AP39866","DOIUrl":null,"url":null,"abstract":"<p><strong>Objective: </strong>To investigate the risk factors for relapse among elderly schizophrenia patients undergoing maintenance phase treatment, aiming to offer insights for relapse prevention in this population.</p><p><strong>Methods: </strong>A survey was conducted of elderly schizophrenia patients in the maintenance phase who attended outpatient clinics at a specialized psychiatric hospital from October, 2021 to September, 2023. The survey included both general and clinical data. Univariate analysis and multivariate non-conditional logistic regression analysis were conducted to identify independent risk factors for relapse in elderly schizophrenic patients undergoing maintenance phase treatment. A receiver operating characteristic (ROC) curve was drawn based on logistic regression results and the area under the curve (AUC) was used to evaluate the predictive value of each risk factor for relapse studied in these patients.</p><p><strong>Results: </strong>A total of 247 patients were collected, with 225 patients included in the analysis: 75 in the recurrence group and 150 in the non-recurrence group. Multivariate logistic regression analysis indicated: Irregular medication status (odds ratio (OR) = 3.302, 95% confidence interval (CI): 1.386-7.871), low exercise frequency (OR = 2.770, 95% CI: 1.141-6.726), family care points (OR = 0.647, 95% CI: 0.514-0.813), life event points (OR = 1.353, 95% CI: 1.194-1.533), and sleep duration (OR = 0.630, 95% CI: 0.504-0.788) as independent influencing factors for relapse during the maintenance phase of elderly patients with schizophrenia. The AUC for predicting relapse varied among these factors: Medication status (AUC: 0.660, 95% CI: 0.594-0.726), exercise frequency (AUC: 0.663, 95% CI: 0.599-0.727), family care (AUC: 0.691, 95% CI: 0.618-0.764), life events (AUC: 0.792, 95% CI: 0.731-0.853), and sleep duration (AUC: 0.789, 95% CI: 0.718-0.859). When considering all influencing factors, the AUC for predicting relapse during maintenance phase treatment of elderly patients with schizophrenia was 0.908 (95% CI: 0.867-0.949).</p><p><strong>Conclusion: </strong>Medication status, exercise frequency, family care, life events and sleep duration emerged as independent influencing factors for relapse among elderly schizophrenia patients during maintenance phase treatment. Paying attention to these influencing factors simultaneously is suggested to prevent recurrence.</p>","PeriodicalId":72151,"journal":{"name":"Alpha psychiatry","volume":"26 2","pages":"39866"},"PeriodicalIF":3.5000,"publicationDate":"2025-04-21","publicationTypes":"Journal Article","fieldsOfStudy":null,"isOpenAccess":false,"openAccessPdf":"https://www.ncbi.nlm.nih.gov/pmc/articles/PMC12059763/pdf/","citationCount":"0","resultStr":"{\"title\":\"Risk Factors for Relapse of Schizophrenia in the Elderly During the Maintenance Phase: A Matched Case-Control Study.\",\"authors\":\"Biqi Zu, Ting Wang, Chunying Pan, Wentao Li, Libin An, Juan Yin, Yulan Wu, Junting Xu, Dandan Li, Xin Wu, Ziwei Xie\",\"doi\":\"10.31083/AP39866\",\"DOIUrl\":null,\"url\":null,\"abstract\":\"<p><strong>Objective: </strong>To investigate the risk factors for relapse among elderly schizophrenia patients undergoing maintenance phase treatment, aiming to offer insights for relapse prevention in this population.</p><p><strong>Methods: </strong>A survey was conducted of elderly schizophrenia patients in the maintenance phase who attended outpatient clinics at a specialized psychiatric hospital from October, 2021 to September, 2023. The survey included both general and clinical data. Univariate analysis and multivariate non-conditional logistic regression analysis were conducted to identify independent risk factors for relapse in elderly schizophrenic patients undergoing maintenance phase treatment. A receiver operating characteristic (ROC) curve was drawn based on logistic regression results and the area under the curve (AUC) was used to evaluate the predictive value of each risk factor for relapse studied in these patients.</p><p><strong>Results: </strong>A total of 247 patients were collected, with 225 patients included in the analysis: 75 in the recurrence group and 150 in the non-recurrence group. Multivariate logistic regression analysis indicated: Irregular medication status (odds ratio (OR) = 3.302, 95% confidence interval (CI): 1.386-7.871), low exercise frequency (OR = 2.770, 95% CI: 1.141-6.726), family care points (OR = 0.647, 95% CI: 0.514-0.813), life event points (OR = 1.353, 95% CI: 1.194-1.533), and sleep duration (OR = 0.630, 95% CI: 0.504-0.788) as independent influencing factors for relapse during the maintenance phase of elderly patients with schizophrenia. The AUC for predicting relapse varied among these factors: Medication status (AUC: 0.660, 95% CI: 0.594-0.726), exercise frequency (AUC: 0.663, 95% CI: 0.599-0.727), family care (AUC: 0.691, 95% CI: 0.618-0.764), life events (AUC: 0.792, 95% CI: 0.731-0.853), and sleep duration (AUC: 0.789, 95% CI: 0.718-0.859). When considering all influencing factors, the AUC for predicting relapse during maintenance phase treatment of elderly patients with schizophrenia was 0.908 (95% CI: 0.867-0.949).</p><p><strong>Conclusion: </strong>Medication status, exercise frequency, family care, life events and sleep duration emerged as independent influencing factors for relapse among elderly schizophrenia patients during maintenance phase treatment. Paying attention to these influencing factors simultaneously is suggested to prevent recurrence.</p>\",\"PeriodicalId\":72151,\"journal\":{\"name\":\"Alpha psychiatry\",\"volume\":\"26 2\",\"pages\":\"39866\"},\"PeriodicalIF\":3.5000,\"publicationDate\":\"2025-04-21\",\"publicationTypes\":\"Journal Article\",\"fieldsOfStudy\":null,\"isOpenAccess\":false,\"openAccessPdf\":\"https://www.ncbi.nlm.nih.gov/pmc/articles/PMC12059763/pdf/\",\"citationCount\":\"0\",\"resultStr\":null,\"platform\":\"Semanticscholar\",\"paperid\":null,\"PeriodicalName\":\"Alpha psychiatry\",\"FirstCategoryId\":\"1085\",\"ListUrlMain\":\"https://doi.org/10.31083/AP39866\",\"RegionNum\":0,\"RegionCategory\":null,\"ArticlePicture\":[],\"TitleCN\":null,\"AbstractTextCN\":null,\"PMCID\":null,\"EPubDate\":\"2025/4/1 0:00:00\",\"PubModel\":\"eCollection\",\"JCR\":\"Q3\",\"JCRName\":\"PSYCHIATRY\",\"Score\":null,\"Total\":0}","platform":"Semanticscholar","paperid":null,"PeriodicalName":"Alpha psychiatry","FirstCategoryId":"1085","ListUrlMain":"https://doi.org/10.31083/AP39866","RegionNum":0,"RegionCategory":null,"ArticlePicture":[],"TitleCN":null,"AbstractTextCN":null,"PMCID":null,"EPubDate":"2025/4/1 0:00:00","PubModel":"eCollection","JCR":"Q3","JCRName":"PSYCHIATRY","Score":null,"Total":0}
引用次数: 0

摘要

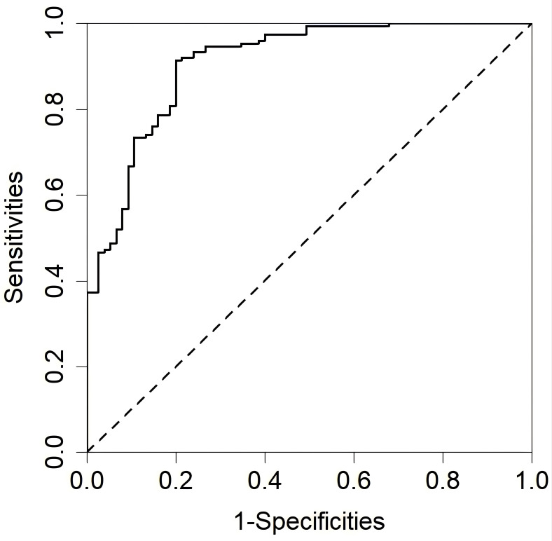
目的:探讨老年精神分裂症维持期患者复发的危险因素,为该人群预防复发提供参考。方法:对2021年10月至2023年9月在某精神专科医院门诊就诊的老年精神分裂症维持期患者进行调查。调查包括一般和临床数据。采用单因素分析和多因素非条件logistic回归分析确定老年精神分裂症维持期患者复发的独立危险因素。根据logistic回归结果绘制受试者工作特征(ROC)曲线,用曲线下面积(AUC)评价各危险因素对患者复发的预测价值。结果:共收集患者247例,纳入分析225例,其中复发组75例,非复发组150例。多因素logistic回归分析显示:老年精神分裂症患者维持期复发的独立影响因素为服药状态不规律(优势比(OR) = 3.302, 95%可信区间(CI): 1.384 ~ 7.871)、运动频率低(OR = 2.770, 95% CI: 1.141 ~ 6.726)、家庭护理点数(OR = 0.647, 95% CI: 0.514 ~ 0.813)、生活事件点数(OR = 1.353, 95% CI: 1.194 ~ 1.533)、睡眠时间(OR = 0.630, 95% CI: 0.504 ~ 0.788)。预测复发的AUC因以下因素而异:用药状况(AUC: 0.660, 95% CI: 0.594-0.726)、运动频率(AUC: 0.663, 95% CI: 0.599-0.727)、家庭护理(AUC: 0.691, 95% CI: 0.618-0.764)、生活事件(AUC: 0.792, 95% CI: 0.731-0.853)和睡眠时间(AUC: 0.789, 95% CI: 0.718-0.859)。综合各影响因素,预测老年精神分裂症患者维持期复发的AUC为0.908 (95% CI: 0.867-0.949)。结论:药物状况、运动频率、家庭护理、生活事件和睡眠时间是老年精神分裂症患者维持期复发的独立影响因素。建议同时注意这些影响因素,防止再次发生。
本文章由计算机程序翻译,如有差异,请以英文原文为准。

Risk Factors for Relapse of Schizophrenia in the Elderly During the Maintenance Phase: A Matched Case-Control Study.

Risk Factors for Relapse of Schizophrenia in the Elderly During the Maintenance Phase: A Matched Case-Control Study.

Risk Factors for Relapse of Schizophrenia in the Elderly During the Maintenance Phase: A Matched Case-Control Study.

Risk Factors for Relapse of Schizophrenia in the Elderly During the Maintenance Phase: A Matched Case-Control Study.

Objective: To investigate the risk factors for relapse among elderly schizophrenia patients undergoing maintenance phase treatment, aiming to offer insights for relapse prevention in this population.

Methods: A survey was conducted of elderly schizophrenia patients in the maintenance phase who attended outpatient clinics at a specialized psychiatric hospital from October, 2021 to September, 2023. The survey included both general and clinical data. Univariate analysis and multivariate non-conditional logistic regression analysis were conducted to identify independent risk factors for relapse in elderly schizophrenic patients undergoing maintenance phase treatment. A receiver operating characteristic (ROC) curve was drawn based on logistic regression results and the area under the curve (AUC) was used to evaluate the predictive value of each risk factor for relapse studied in these patients.

Results: A total of 247 patients were collected, with 225 patients included in the analysis: 75 in the recurrence group and 150 in the non-recurrence group. Multivariate logistic regression analysis indicated: Irregular medication status (odds ratio (OR) = 3.302, 95% confidence interval (CI): 1.386-7.871), low exercise frequency (OR = 2.770, 95% CI: 1.141-6.726), family care points (OR = 0.647, 95% CI: 0.514-0.813), life event points (OR = 1.353, 95% CI: 1.194-1.533), and sleep duration (OR = 0.630, 95% CI: 0.504-0.788) as independent influencing factors for relapse during the maintenance phase of elderly patients with schizophrenia. The AUC for predicting relapse varied among these factors: Medication status (AUC: 0.660, 95% CI: 0.594-0.726), exercise frequency (AUC: 0.663, 95% CI: 0.599-0.727), family care (AUC: 0.691, 95% CI: 0.618-0.764), life events (AUC: 0.792, 95% CI: 0.731-0.853), and sleep duration (AUC: 0.789, 95% CI: 0.718-0.859). When considering all influencing factors, the AUC for predicting relapse during maintenance phase treatment of elderly patients with schizophrenia was 0.908 (95% CI: 0.867-0.949).

Conclusion: Medication status, exercise frequency, family care, life events and sleep duration emerged as independent influencing factors for relapse among elderly schizophrenia patients during maintenance phase treatment. Paying attention to these influencing factors simultaneously is suggested to prevent recurrence.

求助全文
通过发布文献求助,成功后即可免费获取论文全文。 去求助
来源期刊
自引率
0.00%
发文量
0
×
引用
GB/T 7714-2015
复制
MLA
复制
APA
复制
导出至
BibTeX EndNote RefMan NoteFirst NoteExpress
×
提示
您的信息不完整,为了账户安全,请先补充。
现在去补充
×
提示
您因"违规操作"
具体请查看互助需知
我知道了
×
提示
确定
请完成安全验证×
copy
已复制链接
快去分享给好友吧!
我知道了
右上角分享
点击右上角分享
0
联系我们:info@booksci.cn Book学术提供免费学术资源搜索服务,方便国内外学者检索中英文文献。致力于提供最便捷和优质的服务体验。 Copyright © 2023 布克学术 All rights reserved.
京ICP备2023020795号-1
ghs 京公网安备 11010802042870号
Book学术文献互助
Book学术文献互助群
群 号:604180095
Book学术官方微信