南美糖尿病的认识、治疗和控制:一项系统综述和荟萃分析。

IF 2.3 4区 医学 Q4 ENDOCRINOLOGY & METABOLISM
Jorge Emerson Chachaima-Mar, Alexandra Isabel Ramirez Moreno, Kenjiro Chau Ruiz, Maria Lazo-Porras
{"title":"南美糖尿病的认识、治疗和控制:一项系统综述和荟萃分析。","authors":"Jorge Emerson Chachaima-Mar, Alexandra Isabel Ramirez Moreno, Kenjiro Chau Ruiz, Maria Lazo-Porras","doi":"10.20945/2359-4292-2025-0026","DOIUrl":null,"url":null,"abstract":"<p><p>Theaim of this review is to determine the proportion of awareness, treatment, and control of diabetes in the South American region. A comprehensive search was conducted using PubMed, EMBASE, SCOPUS, and LILACS databases from January 1, 2014, to March 23, 2024. We included observational, population-based studies that assessed the rates of awareness, treatment, and control of diabetes. The risk of bias was evaluated as proposed by Hoy and cols. A meta-analysis was performed using the random effects model, and heterogeneity was assessed using the I2 statistic. Additionally, a metaregression analysis was conducted to further explore heterogeneity. Fourteen studies met our eligibility criteria. The disease awareness meta-analysis, which included six studies, revealed that 71.7% (95% CI: 65.2%-77.8%, I2: 94.2%) of participants had a previous diagnosis of diabetes. The disease treatment meta-analysis, which included five studies, indicated that 64.6% (95% CI: 52.9%-75.3%, I2: 98.7%) of participants were receiving some form of treatment for diabetes, and 42.4% (95% CI: 36.0%-49.1%, I2: 96.3%) had their glycemic values within target ranges. All included studies were assessed to have a low risk of bias. In South America, the limited available evidence suggests a significant portion of individuals with diabetes remain untreated and uncontrolled. Numerous countries lack critical information on the diabetes care cascade necessary to inform health policies.</p>","PeriodicalId":54303,"journal":{"name":"Archives of Endocrinology Metabolism","volume":"69 2","pages":"e250026"},"PeriodicalIF":2.3000,"publicationDate":"2025-05-05","publicationTypes":"Journal Article","fieldsOfStudy":null,"isOpenAccess":false,"openAccessPdf":"https://www.ncbi.nlm.nih.gov/pmc/articles/PMC12051872/pdf/","citationCount":"0","resultStr":"{\"title\":\"Awareness, treatment, and control of diabetes in South America: A systematic review and meta-analysis.\",\"authors\":\"Jorge Emerson Chachaima-Mar, Alexandra Isabel Ramirez Moreno, Kenjiro Chau Ruiz, Maria Lazo-Porras\",\"doi\":\"10.20945/2359-4292-2025-0026\",\"DOIUrl\":null,\"url\":null,\"abstract\":\"<p><p>Theaim of this review is to determine the proportion of awareness, treatment, and control of diabetes in the South American region. A comprehensive search was conducted using PubMed, EMBASE, SCOPUS, and LILACS databases from January 1, 2014, to March 23, 2024. We included observational, population-based studies that assessed the rates of awareness, treatment, and control of diabetes. The risk of bias was evaluated as proposed by Hoy and cols. A meta-analysis was performed using the random effects model, and heterogeneity was assessed using the I2 statistic. Additionally, a metaregression analysis was conducted to further explore heterogeneity. Fourteen studies met our eligibility criteria. The disease awareness meta-analysis, which included six studies, revealed that 71.7% (95% CI: 65.2%-77.8%, I2: 94.2%) of participants had a previous diagnosis of diabetes. The disease treatment meta-analysis, which included five studies, indicated that 64.6% (95% CI: 52.9%-75.3%, I2: 98.7%) of participants were receiving some form of treatment for diabetes, and 42.4% (95% CI: 36.0%-49.1%, I2: 96.3%) had their glycemic values within target ranges. All included studies were assessed to have a low risk of bias. In South America, the limited available evidence suggests a significant portion of individuals with diabetes remain untreated and uncontrolled. Numerous countries lack critical information on the diabetes care cascade necessary to inform health policies.</p>\",\"PeriodicalId\":54303,\"journal\":{\"name\":\"Archives of Endocrinology Metabolism\",\"volume\":\"69 2\",\"pages\":\"e250026\"},\"PeriodicalIF\":2.3000,\"publicationDate\":\"2025-05-05\",\"publicationTypes\":\"Journal Article\",\"fieldsOfStudy\":null,\"isOpenAccess\":false,\"openAccessPdf\":\"https://www.ncbi.nlm.nih.gov/pmc/articles/PMC12051872/pdf/\",\"citationCount\":\"0\",\"resultStr\":null,\"platform\":\"Semanticscholar\",\"paperid\":null,\"PeriodicalName\":\"Archives of Endocrinology Metabolism\",\"FirstCategoryId\":\"3\",\"ListUrlMain\":\"https://doi.org/10.20945/2359-4292-2025-0026\",\"RegionNum\":4,\"RegionCategory\":\"医学\",\"ArticlePicture\":[],\"TitleCN\":null,\"AbstractTextCN\":null,\"PMCID\":null,\"EPubDate\":\"\",\"PubModel\":\"\",\"JCR\":\"Q4\",\"JCRName\":\"ENDOCRINOLOGY & METABOLISM\",\"Score\":null,\"Total\":0}","platform":"Semanticscholar","paperid":null,"PeriodicalName":"Archives of Endocrinology Metabolism","FirstCategoryId":"3","ListUrlMain":"https://doi.org/10.20945/2359-4292-2025-0026","RegionNum":4,"RegionCategory":"医学","ArticlePicture":[],"TitleCN":null,"AbstractTextCN":null,"PMCID":null,"EPubDate":"","PubModel":"","JCR":"Q4","JCRName":"ENDOCRINOLOGY & METABOLISM","Score":null,"Total":0}
引用次数: 0

摘要

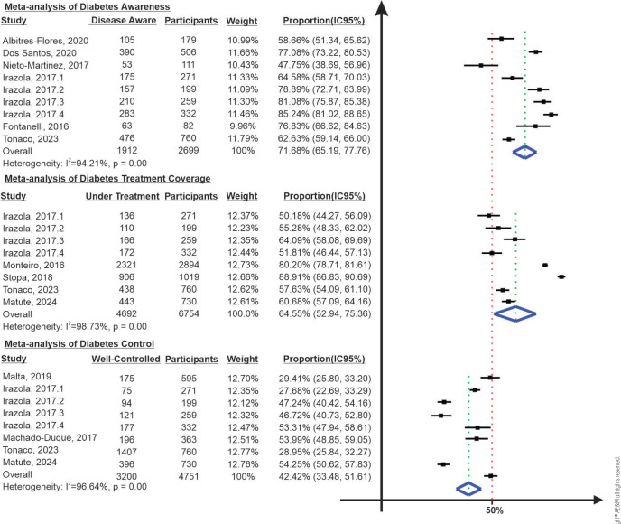
本综述的目的是确定南美地区糖尿病的知晓率、治疗和控制比例。从2014年1月1日至2024年3月23日,使用PubMed、EMBASE、SCOPUS和LILACS数据库进行全面检索。我们纳入了以人群为基础的观察性研究,评估了糖尿病的知知率、治疗率和控制率。偏倚风险按照Hoy和cols的建议进行评估。采用随机效应模型进行meta分析,采用I2统计量评估异质性。此外,我们还进行了元回归分析以进一步探讨异质性。14项研究符合我们的资格标准。包括6项研究的疾病意识荟萃分析显示,71.7% (95% CI: 65.2%-77.8%, I2: 94.2%)的参与者先前诊断为糖尿病。包括5项研究的疾病治疗荟萃分析表明,64.6% (95% CI: 52.9%-75.3%, I2: 98.7%)的参与者正在接受某种形式的糖尿病治疗,42.4% (95% CI: 36.0%-49.1%, I2: 96.3%)的血糖值在目标范围内。所有纳入的研究均被评估为低偏倚风险。在南美洲,有限的现有证据表明,很大一部分糖尿病患者仍未得到治疗和控制。许多国家缺乏为卫生政策提供信息所必需的糖尿病护理级联的关键信息。
本文章由计算机程序翻译,如有差异,请以英文原文为准。

Awareness, treatment, and control of diabetes in South America: A systematic review and meta-analysis.

Awareness, treatment, and control of diabetes in South America: A systematic review and meta-analysis.

Awareness, treatment, and control of diabetes in South America: A systematic review and meta-analysis.

Awareness, treatment, and control of diabetes in South America: A systematic review and meta-analysis.

Theaim of this review is to determine the proportion of awareness, treatment, and control of diabetes in the South American region. A comprehensive search was conducted using PubMed, EMBASE, SCOPUS, and LILACS databases from January 1, 2014, to March 23, 2024. We included observational, population-based studies that assessed the rates of awareness, treatment, and control of diabetes. The risk of bias was evaluated as proposed by Hoy and cols. A meta-analysis was performed using the random effects model, and heterogeneity was assessed using the I2 statistic. Additionally, a metaregression analysis was conducted to further explore heterogeneity. Fourteen studies met our eligibility criteria. The disease awareness meta-analysis, which included six studies, revealed that 71.7% (95% CI: 65.2%-77.8%, I2: 94.2%) of participants had a previous diagnosis of diabetes. The disease treatment meta-analysis, which included five studies, indicated that 64.6% (95% CI: 52.9%-75.3%, I2: 98.7%) of participants were receiving some form of treatment for diabetes, and 42.4% (95% CI: 36.0%-49.1%, I2: 96.3%) had their glycemic values within target ranges. All included studies were assessed to have a low risk of bias. In South America, the limited available evidence suggests a significant portion of individuals with diabetes remain untreated and uncontrolled. Numerous countries lack critical information on the diabetes care cascade necessary to inform health policies.

求助全文
通过发布文献求助,成功后即可免费获取论文全文。 去求助
来源期刊
Archives of Endocrinology Metabolism
Archives of Endocrinology Metabolism Medicine-Endocrinology, Diabetes and Metabolism
CiteScore
2.90
自引率
5.90%
发文量
107
审稿时长
7 weeks
期刊介绍: The Archives of Endocrinology and Metabolism - AE&M – is the official journal of the Brazilian Society of Endocrinology and Metabolism - SBEM, which is affiliated with the Brazilian Medical Association. Edited since 1951, the AE&M aims at publishing articles on scientific themes in the basic translational and clinical area of Endocrinology and Metabolism. The printed version AE&M is published in 6 issues/year. The full electronic issue is open access in the SciELO - Scientific Electronic Library Online e at the AE&M site: www.aem-sbem.com. From volume 59 on, the name was changed to Archives of Endocrinology and Metabolism, and it became mandatory for manuscripts to be submitted in English for the online issue. However, for the printed issue it is still optional for the articles to be sent in English or Portuguese. The journal is published six times a year, with one issue every two months.
×
引用
GB/T 7714-2015
复制
MLA
复制
APA
复制
导出至
BibTeX EndNote RefMan NoteFirst NoteExpress
×
提示
您的信息不完整,为了账户安全,请先补充。
现在去补充
×
提示
您因"违规操作"
具体请查看互助需知
我知道了
×
提示
确定
请完成安全验证×
copy
已复制链接
快去分享给好友吧!
我知道了
右上角分享
点击右上角分享
0
联系我们:info@booksci.cn Book学术提供免费学术资源搜索服务,方便国内外学者检索中英文文献。致力于提供最便捷和优质的服务体验。 Copyright © 2023 布克学术 All rights reserved.
京ICP备2023020795号-1
ghs 京公网安备 11010802042870号
Book学术文献互助
Book学术文献互助群
群 号:604180095
Book学术官方微信