基于蒙特卡罗算法的质子束治疗头颈癌剂量转换精度的改进。

IF 2 4区 医学 Q2 BIOLOGY
Ryohei Kato, Noriyuki Kadoya, Takahiro Kato, Ryota Tozuka, Shuta Ogawa, Masao Murakami, Keiichi Jingu
{"title":"基于蒙特卡罗算法的质子束治疗头颈癌剂量转换精度的改进。","authors":"Ryohei Kato, Noriyuki Kadoya, Takahiro Kato, Ryota Tozuka, Shuta Ogawa, Masao Murakami, Keiichi Jingu","doi":"10.1093/jrr/rraf019","DOIUrl":null,"url":null,"abstract":"<p><p>This study is aimed to clarify the effectiveness of the image-rotation technique and zooming augmentation to improve the accuracy of the deep learning (DL)-based dose conversion from pencil beam (PB) to Monte Carlo (MC) in proton beam therapy (PBT). We adapted 85 patients with head and neck cancers. The patient dataset was randomly divided into 101 plans (334 beams) for training/validation and 11 plans (34 beams) for testing. Further, we trained a DL model that inputs a computed tomography (CT) image and the PB dose in a single-proton field and outputs the MC dose, applying the image-rotation technique and zooming augmentation. We evaluated the DL-based dose conversion accuracy in a single-proton field. The average γ-passing rates (a criterion of 3%/3 mm) were 80.6 ± 6.6% for the PB dose, 87.6 ± 6.0% for the baseline model, 92.1 ± 4.7% for the image-rotation model, and 93.0 ± 5.2% for the data-augmentation model, respectively. Moreover, the average range differences for R90 were - 1.5 ± 3.6% in the PB dose, 0.2 ± 2.3% in the baseline model, -0.5 ± 1.2% in the image-rotation model, and - 0.5 ± 1.1% in the data-augmentation model, respectively. The doses as well as ranges were improved by the image-rotation technique and zooming augmentation. The image-rotation technique and zooming augmentation greatly improved the DL-based dose conversion accuracy from the PB to the MC. These techniques can be powerful tools for improving the DL-based dose calculation accuracy in PBT.</p>","PeriodicalId":16922,"journal":{"name":"Journal of Radiation Research","volume":" ","pages":"280-289"},"PeriodicalIF":2.0000,"publicationDate":"2025-05-23","publicationTypes":"Journal Article","fieldsOfStudy":null,"isOpenAccess":false,"openAccessPdf":"https://www.ncbi.nlm.nih.gov/pmc/articles/PMC12100469/pdf/","citationCount":"0","resultStr":"{\"title\":\"Improvement of deep learning-based dose conversion accuracy to a Monte Carlo algorithm in proton beam therapy for head and neck cancers.\",\"authors\":\"Ryohei Kato, Noriyuki Kadoya, Takahiro Kato, Ryota Tozuka, Shuta Ogawa, Masao Murakami, Keiichi Jingu\",\"doi\":\"10.1093/jrr/rraf019\",\"DOIUrl\":null,\"url\":null,\"abstract\":\"<p><p>This study is aimed to clarify the effectiveness of the image-rotation technique and zooming augmentation to improve the accuracy of the deep learning (DL)-based dose conversion from pencil beam (PB) to Monte Carlo (MC) in proton beam therapy (PBT). We adapted 85 patients with head and neck cancers. The patient dataset was randomly divided into 101 plans (334 beams) for training/validation and 11 plans (34 beams) for testing. Further, we trained a DL model that inputs a computed tomography (CT) image and the PB dose in a single-proton field and outputs the MC dose, applying the image-rotation technique and zooming augmentation. We evaluated the DL-based dose conversion accuracy in a single-proton field. The average γ-passing rates (a criterion of 3%/3 mm) were 80.6 ± 6.6% for the PB dose, 87.6 ± 6.0% for the baseline model, 92.1 ± 4.7% for the image-rotation model, and 93.0 ± 5.2% for the data-augmentation model, respectively. Moreover, the average range differences for R90 were - 1.5 ± 3.6% in the PB dose, 0.2 ± 2.3% in the baseline model, -0.5 ± 1.2% in the image-rotation model, and - 0.5 ± 1.1% in the data-augmentation model, respectively. The doses as well as ranges were improved by the image-rotation technique and zooming augmentation. The image-rotation technique and zooming augmentation greatly improved the DL-based dose conversion accuracy from the PB to the MC. These techniques can be powerful tools for improving the DL-based dose calculation accuracy in PBT.</p>\",\"PeriodicalId\":16922,\"journal\":{\"name\":\"Journal of Radiation Research\",\"volume\":\" \",\"pages\":\"280-289\"},\"PeriodicalIF\":2.0000,\"publicationDate\":\"2025-05-23\",\"publicationTypes\":\"Journal Article\",\"fieldsOfStudy\":null,\"isOpenAccess\":false,\"openAccessPdf\":\"https://www.ncbi.nlm.nih.gov/pmc/articles/PMC12100469/pdf/\",\"citationCount\":\"0\",\"resultStr\":null,\"platform\":\"Semanticscholar\",\"paperid\":null,\"PeriodicalName\":\"Journal of Radiation Research\",\"FirstCategoryId\":\"3\",\"ListUrlMain\":\"https://doi.org/10.1093/jrr/rraf019\",\"RegionNum\":4,\"RegionCategory\":\"医学\",\"ArticlePicture\":[],\"TitleCN\":null,\"AbstractTextCN\":null,\"PMCID\":null,\"EPubDate\":\"\",\"PubModel\":\"\",\"JCR\":\"Q2\",\"JCRName\":\"BIOLOGY\",\"Score\":null,\"Total\":0}","platform":"Semanticscholar","paperid":null,"PeriodicalName":"Journal of Radiation Research","FirstCategoryId":"3","ListUrlMain":"https://doi.org/10.1093/jrr/rraf019","RegionNum":4,"RegionCategory":"医学","ArticlePicture":[],"TitleCN":null,"AbstractTextCN":null,"PMCID":null,"EPubDate":"","PubModel":"","JCR":"Q2","JCRName":"BIOLOGY","Score":null,"Total":0}
引用次数: 0

摘要

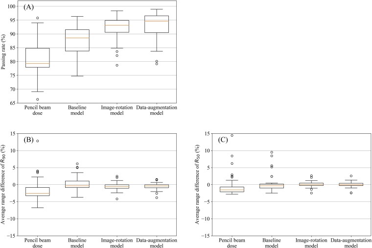
本研究旨在阐明图像旋转技术和缩放增强技术在质子束治疗(PBT)中提高基于深度学习(DL)的铅笔束(PB)到蒙特卡罗(MC)剂量转换的准确性的有效性。我们对85名头颈癌患者进行了研究。患者数据集被随机分为101个计划(334束)用于训练/验证,11个计划(34束)用于测试。此外,我们训练了一个DL模型,该模型使用图像旋转技术和缩放增强技术,在单质子场中输入计算机断层扫描(CT)图像和PB剂量,并输出MC剂量。我们评估了单质子场中基于dl的剂量转换精度。平均γ-通过率(标准为3%/3 mm) PB剂量组为80.6±6.6%,基线模型为87.6±6.0%,图像旋转模型为92.1±4.7%,数据增强模型为93.0±5.2%。此外,PB剂量组R90的平均范围差异为- 1.5±3.6%,基线模型为0.2±2.3%,图像旋转模型为-0.5±1.2%,数据增强模型为-0.5±1.1%。通过图像旋转技术和变焦增强技术提高了剂量和范围。图像旋转技术和放大技术极大地提高了基于dl的剂量从PB到MC的转换精度,这些技术可以作为提高PBT中基于dl的剂量计算精度的有力工具。
本文章由计算机程序翻译,如有差异,请以英文原文为准。

Improvement of deep learning-based dose conversion accuracy to a Monte Carlo algorithm in proton beam therapy for head and neck cancers.

Improvement of deep learning-based dose conversion accuracy to a Monte Carlo algorithm in proton beam therapy for head and neck cancers.

Improvement of deep learning-based dose conversion accuracy to a Monte Carlo algorithm in proton beam therapy for head and neck cancers.

Improvement of deep learning-based dose conversion accuracy to a Monte Carlo algorithm in proton beam therapy for head and neck cancers.

This study is aimed to clarify the effectiveness of the image-rotation technique and zooming augmentation to improve the accuracy of the deep learning (DL)-based dose conversion from pencil beam (PB) to Monte Carlo (MC) in proton beam therapy (PBT). We adapted 85 patients with head and neck cancers. The patient dataset was randomly divided into 101 plans (334 beams) for training/validation and 11 plans (34 beams) for testing. Further, we trained a DL model that inputs a computed tomography (CT) image and the PB dose in a single-proton field and outputs the MC dose, applying the image-rotation technique and zooming augmentation. We evaluated the DL-based dose conversion accuracy in a single-proton field. The average γ-passing rates (a criterion of 3%/3 mm) were 80.6 ± 6.6% for the PB dose, 87.6 ± 6.0% for the baseline model, 92.1 ± 4.7% for the image-rotation model, and 93.0 ± 5.2% for the data-augmentation model, respectively. Moreover, the average range differences for R90 were - 1.5 ± 3.6% in the PB dose, 0.2 ± 2.3% in the baseline model, -0.5 ± 1.2% in the image-rotation model, and - 0.5 ± 1.1% in the data-augmentation model, respectively. The doses as well as ranges were improved by the image-rotation technique and zooming augmentation. The image-rotation technique and zooming augmentation greatly improved the DL-based dose conversion accuracy from the PB to the MC. These techniques can be powerful tools for improving the DL-based dose calculation accuracy in PBT.

求助全文
通过发布文献求助,成功后即可免费获取论文全文。 去求助
来源期刊
CiteScore
3.60
自引率
5.00%
发文量
86
审稿时长
4-8 weeks
期刊介绍: The Journal of Radiation Research (JRR) is an official journal of The Japanese Radiation Research Society (JRRS), and the Japanese Society for Radiation Oncology (JASTRO). Since its launch in 1960 as the official journal of the JRRS, the journal has published scientific articles in radiation science in biology, chemistry, physics, epidemiology, and environmental sciences. JRR broadened its scope to include oncology in 2009, when JASTRO partnered with the JRRS to publish the journal. Articles considered fall into two broad categories: Oncology & Medicine - including all aspects of research with patients that impacts on the treatment of cancer using radiation. Papers which cover related radiation therapies, radiation dosimetry, and those describing the basis for treatment methods including techniques, are also welcomed. Clinical case reports are not acceptable. Radiation Research - basic science studies of radiation effects on livings in the area of physics, chemistry, biology, epidemiology and environmental sciences. Please be advised that JRR does not accept any papers of pure physics or chemistry. The journal is bimonthly, and is edited and published by the JRR Editorial Committee.
×
引用
GB/T 7714-2015
复制
MLA
复制
APA
复制
导出至
BibTeX EndNote RefMan NoteFirst NoteExpress
×
提示
您的信息不完整,为了账户安全,请先补充。
现在去补充
×
提示
您因"违规操作"
具体请查看互助需知
我知道了
×
提示
确定
请完成安全验证×
copy
已复制链接
快去分享给好友吧!
我知道了
右上角分享
点击右上角分享
0
联系我们:info@booksci.cn Book学术提供免费学术资源搜索服务,方便国内外学者检索中英文文献。致力于提供最便捷和优质的服务体验。 Copyright © 2023 布克学术 All rights reserved.
京ICP备2023020795号-1
ghs 京公网安备 11010802042870号
Book学术文献互助
Book学术文献互助群
群 号:604180095
Book学术官方微信