非瑟酮和羟氯喹对小鼠非酒精性脂肪性胰腺疾病内质网应激和自噬的优化影响。

IF 3.4 3区 医学 Q2 ENDOCRINOLOGY & METABOLISM
Journal of Diabetes Research Pub Date : 2025-04-14 eCollection Date: 2025-01-01 DOI:10.1155/jdr/2795127
Mahboobe Sattari, Amin Karimpour, Maryam Akhavan Taheri, Bagher Larijani, Reza Meshkani, Ozra Tabatabaei-Malazy, Ghodratollah Panahi
{"title":"非瑟酮和羟氯喹对小鼠非酒精性脂肪性胰腺疾病内质网应激和自噬的优化影响。","authors":"Mahboobe Sattari, Amin Karimpour, Maryam Akhavan Taheri, Bagher Larijani, Reza Meshkani, Ozra Tabatabaei-Malazy, Ghodratollah Panahi","doi":"10.1155/jdr/2795127","DOIUrl":null,"url":null,"abstract":"<p><p><b>Background:</b> Fat accumulation in the pancreas, known as nonalcoholic fatty pancreatic disease (NAFPD), is associated with obesity and may lead to prediabetes and Type 2 diabetes. Reducing endoplasmic reticulum stress and enhancing autophagy could offer therapeutic benefits. This study examines the effects of fisetin (FSN) and hydroxychloroquine (HCQ) on NAFPD. <b>Method:</b> Forty-eight Male C57BL/6 J mice were assigned to a standard chow diet (SCD) or a high-fat diet (HFD) for 16 weeks. The HFD group was divided into five subgroups; each group contains eight mice: HFD, HFD + V (vehicle), HFD + FSN, HFD + HCQ, and HFD + FSN + HCQ. FSN was given daily at 80 mg/kg, and HCQ was injected IP at 50 mg/kg twice weekly for more 8 weeks. Insulin resistance was assessed through OGTT and HOMA-IR. Histological analysis of pancreatic tissue was conducted, and the protein and mRNA levels of molecules associated with ER stress and autophagy were assessed using PCR and immunoblotting techniques. <b>Result:</b> FSN and HCQ significantly reduced weight gain, pancreatic adipocyte accumulation, and insulin resistance caused by HFD in obese mice, with the combination of the two compounds producing even more pronounced effects. Additionally, the HFD increased the expression of UPR markers ATF4 and CHOP, a response that was further intensified by HCQ. In contrast, FSN attenuated the UPR by regulating GRP78 levels. Furthermore, the HFD resulted in a significant decrease in the LC3II/LC3I ratio and an accumulation of p62 protein due to reduced p-AMPK levels. Following treatment with FSN, these alterations were reversed, leading to decreased mTOR expression and increased levels of autophagy markers such as ATG5 and Beclin1. <b>Conclusion:</b> Our study reveals that FSN and HCQ effectively combat HFD-induced NAFPD, improving insulin sensitivity and addressing pancreatic fat deposition linked to metabolic syndrome. While HCQ may cause endoplasmic reticulum stress, FSN offers protective effects, supporting their combined use for better treatment outcomes.</p>","PeriodicalId":15576,"journal":{"name":"Journal of Diabetes Research","volume":"2025 ","pages":"2795127"},"PeriodicalIF":3.4000,"publicationDate":"2025-04-14","publicationTypes":"Journal Article","fieldsOfStudy":null,"isOpenAccess":false,"openAccessPdf":"https://www.ncbi.nlm.nih.gov/pmc/articles/PMC12011465/pdf/","citationCount":"0","resultStr":"{\"title\":\"Optimized Effects of Fisetin and Hydroxychloroquine on ER Stress and Autophagy in Nonalcoholic Fatty Pancreas Disease in Mice.\",\"authors\":\"Mahboobe Sattari, Amin Karimpour, Maryam Akhavan Taheri, Bagher Larijani, Reza Meshkani, Ozra Tabatabaei-Malazy, Ghodratollah Panahi\",\"doi\":\"10.1155/jdr/2795127\",\"DOIUrl\":null,\"url\":null,\"abstract\":\"<p><p><b>Background:</b> Fat accumulation in the pancreas, known as nonalcoholic fatty pancreatic disease (NAFPD), is associated with obesity and may lead to prediabetes and Type 2 diabetes. Reducing endoplasmic reticulum stress and enhancing autophagy could offer therapeutic benefits. This study examines the effects of fisetin (FSN) and hydroxychloroquine (HCQ) on NAFPD. <b>Method:</b> Forty-eight Male C57BL/6 J mice were assigned to a standard chow diet (SCD) or a high-fat diet (HFD) for 16 weeks. The HFD group was divided into five subgroups; each group contains eight mice: HFD, HFD + V (vehicle), HFD + FSN, HFD + HCQ, and HFD + FSN + HCQ. FSN was given daily at 80 mg/kg, and HCQ was injected IP at 50 mg/kg twice weekly for more 8 weeks. Insulin resistance was assessed through OGTT and HOMA-IR. Histological analysis of pancreatic tissue was conducted, and the protein and mRNA levels of molecules associated with ER stress and autophagy were assessed using PCR and immunoblotting techniques. <b>Result:</b> FSN and HCQ significantly reduced weight gain, pancreatic adipocyte accumulation, and insulin resistance caused by HFD in obese mice, with the combination of the two compounds producing even more pronounced effects. Additionally, the HFD increased the expression of UPR markers ATF4 and CHOP, a response that was further intensified by HCQ. In contrast, FSN attenuated the UPR by regulating GRP78 levels. Furthermore, the HFD resulted in a significant decrease in the LC3II/LC3I ratio and an accumulation of p62 protein due to reduced p-AMPK levels. Following treatment with FSN, these alterations were reversed, leading to decreased mTOR expression and increased levels of autophagy markers such as ATG5 and Beclin1. <b>Conclusion:</b> Our study reveals that FSN and HCQ effectively combat HFD-induced NAFPD, improving insulin sensitivity and addressing pancreatic fat deposition linked to metabolic syndrome. While HCQ may cause endoplasmic reticulum stress, FSN offers protective effects, supporting their combined use for better treatment outcomes.</p>\",\"PeriodicalId\":15576,\"journal\":{\"name\":\"Journal of Diabetes Research\",\"volume\":\"2025 \",\"pages\":\"2795127\"},\"PeriodicalIF\":3.4000,\"publicationDate\":\"2025-04-14\",\"publicationTypes\":\"Journal Article\",\"fieldsOfStudy\":null,\"isOpenAccess\":false,\"openAccessPdf\":\"https://www.ncbi.nlm.nih.gov/pmc/articles/PMC12011465/pdf/\",\"citationCount\":\"0\",\"resultStr\":null,\"platform\":\"Semanticscholar\",\"paperid\":null,\"PeriodicalName\":\"Journal of Diabetes Research\",\"FirstCategoryId\":\"3\",\"ListUrlMain\":\"https://doi.org/10.1155/jdr/2795127\",\"RegionNum\":3,\"RegionCategory\":\"医学\",\"ArticlePicture\":[],\"TitleCN\":null,\"AbstractTextCN\":null,\"PMCID\":null,\"EPubDate\":\"2025/1/1 0:00:00\",\"PubModel\":\"eCollection\",\"JCR\":\"Q2\",\"JCRName\":\"ENDOCRINOLOGY & METABOLISM\",\"Score\":null,\"Total\":0}","platform":"Semanticscholar","paperid":null,"PeriodicalName":"Journal of Diabetes Research","FirstCategoryId":"3","ListUrlMain":"https://doi.org/10.1155/jdr/2795127","RegionNum":3,"RegionCategory":"医学","ArticlePicture":[],"TitleCN":null,"AbstractTextCN":null,"PMCID":null,"EPubDate":"2025/1/1 0:00:00","PubModel":"eCollection","JCR":"Q2","JCRName":"ENDOCRINOLOGY & METABOLISM","Score":null,"Total":0}
引用次数: 0

摘要

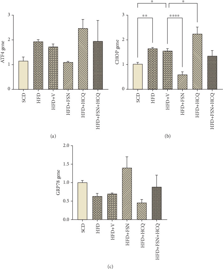
背景:胰腺脂肪堆积,被称为非酒精性脂肪性胰腺疾病(NAFPD),与肥胖有关,并可能导致糖尿病前期和2型糖尿病。减少内质网应激和增强自噬可能具有治疗作用。本研究探讨非西汀(FSN)和羟氯喹(HCQ)对NAFPD的影响。方法:选取48只雄性C57BL/ 6j小鼠,分别饲喂标准鼠粮(SCD)和高脂鼠粮(HFD),为期16周。HFD组分为5个亚组;每组8只小鼠:HFD、HFD + V、HFD + FSN、HFD + HCQ、HFD + FSN + HCQ。FSN每日剂量为80 mg/kg, HCQ每周两次剂量为50 mg/kg,连续8周以上。通过OGTT和HOMA-IR评估胰岛素抵抗。对胰腺组织进行组织学分析,利用PCR和免疫印迹技术检测内质网应激和自噬相关分子的蛋白和mRNA水平。结果:FSN和HCQ显著降低肥胖小鼠由HFD引起的体重增加、胰腺脂肪细胞积累和胰岛素抵抗,两者联合使用效果更为显著。此外,HFD增加了UPR标志物ATF4和CHOP的表达,HCQ进一步增强了这一反应。相反,FSN通过调节GRP78水平来减弱UPR。此外,由于p-AMPK水平降低,HFD导致LC3II/LC3I比率显著降低,p62蛋白积累。用FSN治疗后,这些改变被逆转,导致mTOR表达降低,自噬标志物如ATG5和Beclin1水平升高。结论:本研究表明,FSN和HCQ可有效对抗hfd诱导的NAFPD,改善胰岛素敏感性,解决与代谢综合征相关的胰腺脂肪沉积问题。虽然HCQ可能引起内质网应激,但FSN具有保护作用,支持它们联合使用以获得更好的治疗结果。
本文章由计算机程序翻译,如有差异,请以英文原文为准。

Optimized Effects of Fisetin and Hydroxychloroquine on ER Stress and Autophagy in Nonalcoholic Fatty Pancreas Disease in Mice.

Optimized Effects of Fisetin and Hydroxychloroquine on ER Stress and Autophagy in Nonalcoholic Fatty Pancreas Disease in Mice.

Optimized Effects of Fisetin and Hydroxychloroquine on ER Stress and Autophagy in Nonalcoholic Fatty Pancreas Disease in Mice.

Optimized Effects of Fisetin and Hydroxychloroquine on ER Stress and Autophagy in Nonalcoholic Fatty Pancreas Disease in Mice.

Background: Fat accumulation in the pancreas, known as nonalcoholic fatty pancreatic disease (NAFPD), is associated with obesity and may lead to prediabetes and Type 2 diabetes. Reducing endoplasmic reticulum stress and enhancing autophagy could offer therapeutic benefits. This study examines the effects of fisetin (FSN) and hydroxychloroquine (HCQ) on NAFPD. Method: Forty-eight Male C57BL/6 J mice were assigned to a standard chow diet (SCD) or a high-fat diet (HFD) for 16 weeks. The HFD group was divided into five subgroups; each group contains eight mice: HFD, HFD + V (vehicle), HFD + FSN, HFD + HCQ, and HFD + FSN + HCQ. FSN was given daily at 80 mg/kg, and HCQ was injected IP at 50 mg/kg twice weekly for more 8 weeks. Insulin resistance was assessed through OGTT and HOMA-IR. Histological analysis of pancreatic tissue was conducted, and the protein and mRNA levels of molecules associated with ER stress and autophagy were assessed using PCR and immunoblotting techniques. Result: FSN and HCQ significantly reduced weight gain, pancreatic adipocyte accumulation, and insulin resistance caused by HFD in obese mice, with the combination of the two compounds producing even more pronounced effects. Additionally, the HFD increased the expression of UPR markers ATF4 and CHOP, a response that was further intensified by HCQ. In contrast, FSN attenuated the UPR by regulating GRP78 levels. Furthermore, the HFD resulted in a significant decrease in the LC3II/LC3I ratio and an accumulation of p62 protein due to reduced p-AMPK levels. Following treatment with FSN, these alterations were reversed, leading to decreased mTOR expression and increased levels of autophagy markers such as ATG5 and Beclin1. Conclusion: Our study reveals that FSN and HCQ effectively combat HFD-induced NAFPD, improving insulin sensitivity and addressing pancreatic fat deposition linked to metabolic syndrome. While HCQ may cause endoplasmic reticulum stress, FSN offers protective effects, supporting their combined use for better treatment outcomes.

求助全文
通过发布文献求助,成功后即可免费获取论文全文。 去求助
来源期刊
Journal of Diabetes Research
Journal of Diabetes Research ENDOCRINOLOGY & METABOLISM-MEDICINE, RESEARCH & EXPERIMENTAL
CiteScore
8.40
自引率
2.30%
发文量
152
审稿时长
14 weeks
期刊介绍: Journal of Diabetes Research is a peer-reviewed, Open Access journal that publishes research articles, review articles, and clinical studies related to type 1 and type 2 diabetes. The journal welcomes submissions focusing on the epidemiology, etiology, pathogenesis, management, and prevention of diabetes, as well as associated complications, such as diabetic retinopathy, neuropathy and nephropathy.
×
引用
GB/T 7714-2015
复制
MLA
复制
APA
复制
导出至
BibTeX EndNote RefMan NoteFirst NoteExpress
×
提示
您的信息不完整,为了账户安全,请先补充。
现在去补充
×
提示
您因"违规操作"
具体请查看互助需知
我知道了
×
提示
确定
请完成安全验证×
copy
已复制链接
快去分享给好友吧!
我知道了
右上角分享
点击右上角分享
0
联系我们:info@booksci.cn Book学术提供免费学术资源搜索服务,方便国内外学者检索中英文文献。致力于提供最便捷和优质的服务体验。 Copyright © 2023 布克学术 All rights reserved.
京ICP备2023020795号-1
ghs 京公网安备 11010802042870号
Book学术文献互助
Book学术文献互助群
群 号:604180095
Book学术官方微信