葡萄膜黑色素瘤肝转移的免疫分析和对检查点抑制剂的反应。

IF 2.9 4区 医学 Q3 IMMUNOLOGY
Journal of Immunotherapy Pub Date : 2025-06-01 Epub Date: 2025-04-15 DOI:10.1097/CJI.0000000000000558
Yusra F Shao, Yasmine Baca, Andrew Hinton, Joanne Xiu, Ari VanderWalde, Matthew Hadfield, Soo J Park, Sourat Darabi, Takami Sato, Justin C Moser
{"title":"葡萄膜黑色素瘤肝转移的免疫分析和对检查点抑制剂的反应。","authors":"Yusra F Shao, Yasmine Baca, Andrew Hinton, Joanne Xiu, Ari VanderWalde, Matthew Hadfield, Soo J Park, Sourat Darabi, Takami Sato, Justin C Moser","doi":"10.1097/CJI.0000000000000558","DOIUrl":null,"url":null,"abstract":"<p><p>Responses to immune checkpoint inhibitors (ICIs) differ significantly between uveal melanoma (UM) and cutaneous melanoma (CM) patients. We investigated the immune profile of metastatic UM(mUM) patients and identified markers that are predictive of improved survival. Metastatic liver samples from 189 UM patients and 48 CM patients were analyzed at genomic and transcriptional levels, and survival analysis was performed on a subgroup of 76 ICI-treated mUM patients. UM liver metastases seem to preserve the genomic and immune characteristics of primary UM (pUM), with a low prevalence of ICI markers and high mutation rates of GNA11, GNAQ, BAP1, and SF3B. Compared with mCM, UM liver metastasis showed lower infiltration of several immune cells, but a greater proportion of M2 macrophages. Compared with UM liver metastases, CM liver metastases showed higher expression of G2M checkpoint and EF2 target genes. Among the mUM and mCM samples, expression of G2M and E2F pathway genes was highest in tumors with high TMB values and T-cell inflamed scores. A longer median overall survival (OS) was observed in mUM patients with higher expression of LAG3, HLA class I, or HLA class II; which may represent a small proportion of immune hot tumors. Expression patterns of G2M checkpoint and E2F targets suggest a possible contribution to immunotherapy response.</p>","PeriodicalId":15996,"journal":{"name":"Journal of Immunotherapy","volume":"48 5","pages":"189-195"},"PeriodicalIF":2.9000,"publicationDate":"2025-06-01","publicationTypes":"Journal Article","fieldsOfStudy":null,"isOpenAccess":false,"openAccessPdf":"https://www.ncbi.nlm.nih.gov/pmc/articles/PMC12052074/pdf/","citationCount":"0","resultStr":"{\"title\":\"Immune Profiling of Uveal Melanoma Liver Metastases and Response to Checkpoint Inhibitors.\",\"authors\":\"Yusra F Shao, Yasmine Baca, Andrew Hinton, Joanne Xiu, Ari VanderWalde, Matthew Hadfield, Soo J Park, Sourat Darabi, Takami Sato, Justin C Moser\",\"doi\":\"10.1097/CJI.0000000000000558\",\"DOIUrl\":null,\"url\":null,\"abstract\":\"<p><p>Responses to immune checkpoint inhibitors (ICIs) differ significantly between uveal melanoma (UM) and cutaneous melanoma (CM) patients. We investigated the immune profile of metastatic UM(mUM) patients and identified markers that are predictive of improved survival. Metastatic liver samples from 189 UM patients and 48 CM patients were analyzed at genomic and transcriptional levels, and survival analysis was performed on a subgroup of 76 ICI-treated mUM patients. UM liver metastases seem to preserve the genomic and immune characteristics of primary UM (pUM), with a low prevalence of ICI markers and high mutation rates of GNA11, GNAQ, BAP1, and SF3B. Compared with mCM, UM liver metastasis showed lower infiltration of several immune cells, but a greater proportion of M2 macrophages. Compared with UM liver metastases, CM liver metastases showed higher expression of G2M checkpoint and EF2 target genes. Among the mUM and mCM samples, expression of G2M and E2F pathway genes was highest in tumors with high TMB values and T-cell inflamed scores. A longer median overall survival (OS) was observed in mUM patients with higher expression of LAG3, HLA class I, or HLA class II; which may represent a small proportion of immune hot tumors. Expression patterns of G2M checkpoint and E2F targets suggest a possible contribution to immunotherapy response.</p>\",\"PeriodicalId\":15996,\"journal\":{\"name\":\"Journal of Immunotherapy\",\"volume\":\"48 5\",\"pages\":\"189-195\"},\"PeriodicalIF\":2.9000,\"publicationDate\":\"2025-06-01\",\"publicationTypes\":\"Journal Article\",\"fieldsOfStudy\":null,\"isOpenAccess\":false,\"openAccessPdf\":\"https://www.ncbi.nlm.nih.gov/pmc/articles/PMC12052074/pdf/\",\"citationCount\":\"0\",\"resultStr\":null,\"platform\":\"Semanticscholar\",\"paperid\":null,\"PeriodicalName\":\"Journal of Immunotherapy\",\"FirstCategoryId\":\"3\",\"ListUrlMain\":\"https://doi.org/10.1097/CJI.0000000000000558\",\"RegionNum\":4,\"RegionCategory\":\"医学\",\"ArticlePicture\":[],\"TitleCN\":null,\"AbstractTextCN\":null,\"PMCID\":null,\"EPubDate\":\"2025/4/15 0:00:00\",\"PubModel\":\"Epub\",\"JCR\":\"Q3\",\"JCRName\":\"IMMUNOLOGY\",\"Score\":null,\"Total\":0}","platform":"Semanticscholar","paperid":null,"PeriodicalName":"Journal of Immunotherapy","FirstCategoryId":"3","ListUrlMain":"https://doi.org/10.1097/CJI.0000000000000558","RegionNum":4,"RegionCategory":"医学","ArticlePicture":[],"TitleCN":null,"AbstractTextCN":null,"PMCID":null,"EPubDate":"2025/4/15 0:00:00","PubModel":"Epub","JCR":"Q3","JCRName":"IMMUNOLOGY","Score":null,"Total":0}
引用次数: 0

摘要

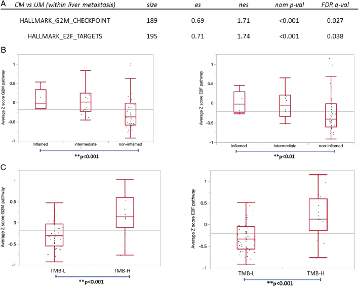
葡萄膜黑色素瘤(UM)和皮肤黑色素瘤(CM)患者对免疫检查点抑制剂(ICIs)的反应有显著差异。我们研究了转移性UM(mUM)患者的免疫谱,并确定了预测生存率提高的标志物。对189名UM患者和48名CM患者的转移性肝脏样本进行了基因组和转录水平分析,并对76名接受ici治疗的mUM患者进行了生存分析。UM肝转移似乎保留了原发UM (pUM)的基因组和免疫特征,ICI标记物的患病率较低,GNA11、GNAQ、BAP1和SF3B的突变率较高。与mCM相比,UM肝转移中几种免疫细胞的浸润较少,但M2巨噬细胞的浸润比例较大。与UM肝转移相比,CM肝转移G2M检查点和EF2靶基因的表达更高。在mUM和mCM样本中,G2M和E2F通路基因在TMB值和t细胞炎症评分较高的肿瘤中表达最高。在LAG3、HLA I类或HLA II类表达较高的mUM患者中,观察到更长的中位总生存期(OS);这可能代表了一小部分免疫热瘤。G2M检查点和E2F靶点的表达模式提示可能对免疫治疗反应有贡献。
本文章由计算机程序翻译,如有差异,请以英文原文为准。

Immune Profiling of Uveal Melanoma Liver Metastases and Response to Checkpoint Inhibitors.

Immune Profiling of Uveal Melanoma Liver Metastases and Response to Checkpoint Inhibitors.

Immune Profiling of Uveal Melanoma Liver Metastases and Response to Checkpoint Inhibitors.

Immune Profiling of Uveal Melanoma Liver Metastases and Response to Checkpoint Inhibitors.

Responses to immune checkpoint inhibitors (ICIs) differ significantly between uveal melanoma (UM) and cutaneous melanoma (CM) patients. We investigated the immune profile of metastatic UM(mUM) patients and identified markers that are predictive of improved survival. Metastatic liver samples from 189 UM patients and 48 CM patients were analyzed at genomic and transcriptional levels, and survival analysis was performed on a subgroup of 76 ICI-treated mUM patients. UM liver metastases seem to preserve the genomic and immune characteristics of primary UM (pUM), with a low prevalence of ICI markers and high mutation rates of GNA11, GNAQ, BAP1, and SF3B. Compared with mCM, UM liver metastasis showed lower infiltration of several immune cells, but a greater proportion of M2 macrophages. Compared with UM liver metastases, CM liver metastases showed higher expression of G2M checkpoint and EF2 target genes. Among the mUM and mCM samples, expression of G2M and E2F pathway genes was highest in tumors with high TMB values and T-cell inflamed scores. A longer median overall survival (OS) was observed in mUM patients with higher expression of LAG3, HLA class I, or HLA class II; which may represent a small proportion of immune hot tumors. Expression patterns of G2M checkpoint and E2F targets suggest a possible contribution to immunotherapy response.

求助全文
通过发布文献求助,成功后即可免费获取论文全文。 去求助
来源期刊
Journal of Immunotherapy
Journal of Immunotherapy 医学-免疫学
CiteScore
6.90
自引率
0.00%
发文量
79
审稿时长
6-12 weeks
期刊介绍: Journal of Immunotherapy features rapid publication of articles on immunomodulators, lymphokines, antibodies, cells, and cell products in cancer biology and therapy. Laboratory and preclinical studies, as well as investigative clinical reports, are presented. The journal emphasizes basic mechanisms and methods for the rapid transfer of technology from the laboratory to the clinic. JIT contains full-length articles, review articles, and short communications.
×
引用
GB/T 7714-2015
复制
MLA
复制
APA
复制
导出至
BibTeX EndNote RefMan NoteFirst NoteExpress
×
提示
您的信息不完整,为了账户安全,请先补充。
现在去补充
×
提示
您因"违规操作"
具体请查看互助需知
我知道了
×
提示
确定
请完成安全验证×
copy
已复制链接
快去分享给好友吧!
我知道了
右上角分享
点击右上角分享
0
联系我们:info@booksci.cn Book学术提供免费学术资源搜索服务,方便国内外学者检索中英文文献。致力于提供最便捷和优质的服务体验。 Copyright © 2023 布克学术 All rights reserved.
京ICP备2023020795号-1
ghs 京公网安备 11010802042870号
Book学术文献互助
Book学术文献互助群
群 号:604180095
Book学术官方微信