低成本碳源的非常规酵母筛选及Mizithra次级奶酪乳清代谢产物的生产

IF 3.1 Q3 BIOTECHNOLOGY & APPLIED MICROBIOLOGY
BioTech Pub Date : 2025-04-01 DOI:10.3390/biotech14020024
Gabriel Vasilakis, Rezart Tefa, Antonios Georgoulakis, Dimitris Karayannis, Ioannis Politis, Seraphim Papanikolaou
{"title":"低成本碳源的非常规酵母筛选及Mizithra次级奶酪乳清代谢产物的生产","authors":"Gabriel Vasilakis, Rezart Tefa, Antonios Georgoulakis, Dimitris Karayannis, Ioannis Politis, Seraphim Papanikolaou","doi":"10.3390/biotech14020024","DOIUrl":null,"url":null,"abstract":"<p><p>The production of microbial metabolites such as (exo)polysaccharides, lipids, or mannitol through the cultivation of microorganisms on sustainable, low-cost carbon sources is of high interest within the framework of a circular economy. In the current study, two non-extensively studied, non-conventional yeast strains, namely, <i>Cutaneotrichosporon curvatus</i> NRRL YB-775 and <i>Papiliotrema laurentii</i> NRRL Y-3594, were evaluated for their capability to grow on semi-defined lactose-, glycerol-, or glucose-based substrates and produce value-added metabolites. Three different nitrogen-to-carbon ratios (i.e., 20, 80, 160 mol/mol) were tested in shake-flask batch experiments. Pretreated secondary cheese whey (SCW) was used for fed-batch bioreactor cultivation of <i>P. laurentii</i> NRRL Y-3594, under nitrogen limitation. Based on the screening results, both strains can grow on low-cost substrates, yielding high concentrations of microbial biomass (>20 g/L) under nitrogen-excess conditions, with polysaccharides comprising the predominant component (>40%, <i>w</i>/<i>w</i>, of dry biomass). Glucose- and glycerol-based cultures of <i>C. curvatus</i> promote the secretion of mannitol (13.0 g/L in the case of glucose, under nitrogen-limited conditions). The lipids (maximum 2.2 g/L) produced by both strains were rich in oleic acid (≥40%, <i>w</i>/<i>w</i>) and could potentially be utilized to produce second-generation biodiesel. SCW was nutritionally sufficient to grow <i>P. laurentii</i> strain, resulting in exopolysaccharides secretion (25.6 g/L), along with dry biomass (37.9 g/L) and lipid (4.6 g/L) production.</p>","PeriodicalId":34490,"journal":{"name":"BioTech","volume":"14 2","pages":""},"PeriodicalIF":3.1000,"publicationDate":"2025-04-01","publicationTypes":"Journal Article","fieldsOfStudy":null,"isOpenAccess":false,"openAccessPdf":"https://www.ncbi.nlm.nih.gov/pmc/articles/PMC12015851/pdf/","citationCount":"0","resultStr":"{\"title\":\"Screening of Non-Conventional Yeasts on Low-Cost Carbon Sources and Valorization of Mizithra Secondary Cheese Whey for Metabolite Production.\",\"authors\":\"Gabriel Vasilakis, Rezart Tefa, Antonios Georgoulakis, Dimitris Karayannis, Ioannis Politis, Seraphim Papanikolaou\",\"doi\":\"10.3390/biotech14020024\",\"DOIUrl\":null,\"url\":null,\"abstract\":\"<p><p>The production of microbial metabolites such as (exo)polysaccharides, lipids, or mannitol through the cultivation of microorganisms on sustainable, low-cost carbon sources is of high interest within the framework of a circular economy. In the current study, two non-extensively studied, non-conventional yeast strains, namely, <i>Cutaneotrichosporon curvatus</i> NRRL YB-775 and <i>Papiliotrema laurentii</i> NRRL Y-3594, were evaluated for their capability to grow on semi-defined lactose-, glycerol-, or glucose-based substrates and produce value-added metabolites. Three different nitrogen-to-carbon ratios (i.e., 20, 80, 160 mol/mol) were tested in shake-flask batch experiments. Pretreated secondary cheese whey (SCW) was used for fed-batch bioreactor cultivation of <i>P. laurentii</i> NRRL Y-3594, under nitrogen limitation. Based on the screening results, both strains can grow on low-cost substrates, yielding high concentrations of microbial biomass (>20 g/L) under nitrogen-excess conditions, with polysaccharides comprising the predominant component (>40%, <i>w</i>/<i>w</i>, of dry biomass). Glucose- and glycerol-based cultures of <i>C. curvatus</i> promote the secretion of mannitol (13.0 g/L in the case of glucose, under nitrogen-limited conditions). The lipids (maximum 2.2 g/L) produced by both strains were rich in oleic acid (≥40%, <i>w</i>/<i>w</i>) and could potentially be utilized to produce second-generation biodiesel. SCW was nutritionally sufficient to grow <i>P. laurentii</i> strain, resulting in exopolysaccharides secretion (25.6 g/L), along with dry biomass (37.9 g/L) and lipid (4.6 g/L) production.</p>\",\"PeriodicalId\":34490,\"journal\":{\"name\":\"BioTech\",\"volume\":\"14 2\",\"pages\":\"\"},\"PeriodicalIF\":3.1000,\"publicationDate\":\"2025-04-01\",\"publicationTypes\":\"Journal Article\",\"fieldsOfStudy\":null,\"isOpenAccess\":false,\"openAccessPdf\":\"https://www.ncbi.nlm.nih.gov/pmc/articles/PMC12015851/pdf/\",\"citationCount\":\"0\",\"resultStr\":null,\"platform\":\"Semanticscholar\",\"paperid\":null,\"PeriodicalName\":\"BioTech\",\"FirstCategoryId\":\"1085\",\"ListUrlMain\":\"https://doi.org/10.3390/biotech14020024\",\"RegionNum\":0,\"RegionCategory\":null,\"ArticlePicture\":[],\"TitleCN\":null,\"AbstractTextCN\":null,\"PMCID\":null,\"EPubDate\":\"\",\"PubModel\":\"\",\"JCR\":\"Q3\",\"JCRName\":\"BIOTECHNOLOGY & APPLIED MICROBIOLOGY\",\"Score\":null,\"Total\":0}","platform":"Semanticscholar","paperid":null,"PeriodicalName":"BioTech","FirstCategoryId":"1085","ListUrlMain":"https://doi.org/10.3390/biotech14020024","RegionNum":0,"RegionCategory":null,"ArticlePicture":[],"TitleCN":null,"AbstractTextCN":null,"PMCID":null,"EPubDate":"","PubModel":"","JCR":"Q3","JCRName":"BIOTECHNOLOGY & APPLIED MICROBIOLOGY","Score":null,"Total":0}
引用次数: 0

摘要

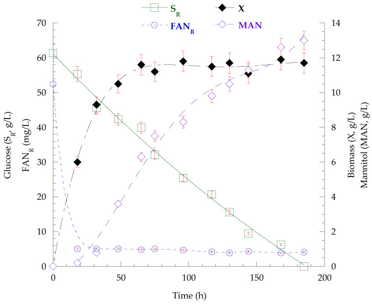
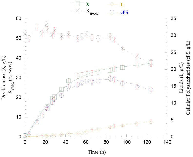
在循环经济的框架内,通过在可持续、低成本的碳源上培养微生物来生产微生物代谢物,如(外)多糖、脂质或甘露醇,具有很高的兴趣。在目前的研究中,研究人员评估了两种未经广泛研究的非传统酵母菌株,即Cutaneotrichosporon curvatus NRRL YB-775和Papiliotrema laurentii NRRL Y-3594,以评估它们在半确定的乳糖、甘油或葡萄糖基底物上生长并产生增值代谢物的能力。在摇瓶间歇实验中测试了三种不同的氮碳比(即20、80、160 mol/mol)。采用经预处理的二次奶酪乳清(SCW),在氮限制条件下,对laurentii P. NRRL Y-3594进行间歇进料生物反应器培养。根据筛选结果,这两种菌株都可以在低成本基质上生长,在氮过量条件下产生高浓度的微生物生物量(>20 g/L),其中多糖占主要成分(>40%,w/w,干生物量)。以葡萄糖和甘油为基础的弧菌培养可促进甘露醇的分泌(在氮限制条件下,葡萄糖为13.0 g/L)。两菌株产的油脂(最大2.2 g/L)均富含油酸(≥40%,w/w),具有生产第二代生物柴油的潜力。SCW具有足够的营养,可以使laurentii菌株分泌25.6 g/L的胞外多糖,产生37.9 g/L的干生物量和4.6 g/L的脂质。
本文章由计算机程序翻译,如有差异,请以英文原文为准。

Screening of Non-Conventional Yeasts on Low-Cost Carbon Sources and Valorization of Mizithra Secondary Cheese Whey for Metabolite Production.

Screening of Non-Conventional Yeasts on Low-Cost Carbon Sources and Valorization of Mizithra Secondary Cheese Whey for Metabolite Production.

Screening of Non-Conventional Yeasts on Low-Cost Carbon Sources and Valorization of Mizithra Secondary Cheese Whey for Metabolite Production.

Screening of Non-Conventional Yeasts on Low-Cost Carbon Sources and Valorization of Mizithra Secondary Cheese Whey for Metabolite Production.

The production of microbial metabolites such as (exo)polysaccharides, lipids, or mannitol through the cultivation of microorganisms on sustainable, low-cost carbon sources is of high interest within the framework of a circular economy. In the current study, two non-extensively studied, non-conventional yeast strains, namely, Cutaneotrichosporon curvatus NRRL YB-775 and Papiliotrema laurentii NRRL Y-3594, were evaluated for their capability to grow on semi-defined lactose-, glycerol-, or glucose-based substrates and produce value-added metabolites. Three different nitrogen-to-carbon ratios (i.e., 20, 80, 160 mol/mol) were tested in shake-flask batch experiments. Pretreated secondary cheese whey (SCW) was used for fed-batch bioreactor cultivation of P. laurentii NRRL Y-3594, under nitrogen limitation. Based on the screening results, both strains can grow on low-cost substrates, yielding high concentrations of microbial biomass (>20 g/L) under nitrogen-excess conditions, with polysaccharides comprising the predominant component (>40%, w/w, of dry biomass). Glucose- and glycerol-based cultures of C. curvatus promote the secretion of mannitol (13.0 g/L in the case of glucose, under nitrogen-limited conditions). The lipids (maximum 2.2 g/L) produced by both strains were rich in oleic acid (≥40%, w/w) and could potentially be utilized to produce second-generation biodiesel. SCW was nutritionally sufficient to grow P. laurentii strain, resulting in exopolysaccharides secretion (25.6 g/L), along with dry biomass (37.9 g/L) and lipid (4.6 g/L) production.

求助全文
通过发布文献求助,成功后即可免费获取论文全文。 去求助
来源期刊
BioTech
BioTech Immunology and Microbiology-Applied Microbiology and Biotechnology
CiteScore
3.70
自引率
0.00%
发文量
51
审稿时长
11 weeks
×
引用
GB/T 7714-2015
复制
MLA
复制
APA
复制
导出至
BibTeX EndNote RefMan NoteFirst NoteExpress
×
提示
您的信息不完整,为了账户安全,请先补充。
现在去补充
×
提示
您因"违规操作"
具体请查看互助需知
我知道了
×
提示
确定
请完成安全验证×
copy
已复制链接
快去分享给好友吧!
我知道了
右上角分享
点击右上角分享
0
联系我们:info@booksci.cn Book学术提供免费学术资源搜索服务,方便国内外学者检索中英文文献。致力于提供最便捷和优质的服务体验。 Copyright © 2023 布克学术 All rights reserved.
京ICP备2023020795号-1
ghs 京公网安备 11010802042870号
Book学术文献互助
Book学术文献互助群
群 号:604180095
Book学术官方微信