抗炎饮食单独或联合针灸对糖尿病抑郁症患者心理健康、人体测量指标和代谢状况的影响:一项随机对照临床试验

IF 5.2 2区 医学 Q1 ENDOCRINOLOGY & METABOLISM
Pardis Irandoost, Amir Firouzjaei, Javad Heshmati, Erfan Sadeghi, Mohammad Hossein Ayati, Nazli Namazi
{"title":"抗炎饮食单独或联合针灸对糖尿病抑郁症患者心理健康、人体测量指标和代谢状况的影响:一项随机对照临床试验","authors":"Pardis Irandoost, Amir Firouzjaei, Javad Heshmati, Erfan Sadeghi, Mohammad Hossein Ayati, Nazli Namazi","doi":"10.1038/s41387-025-00373-y","DOIUrl":null,"url":null,"abstract":"<p><strong>Background: </strong>The present clinical trial examined the efficacy of an anti-inflammatory diet combined with acupuncture compared to an anti-inflammatory diet alone and standard treatment in depressed patients with type 2 diabetes (T2DM).</p><p><strong>Methods: </strong>In this 8-week randomized controlled clinical trial, 90 patients with T2DM who were experiencing mild to moderate depression were included. The participants were randomly assigned to one of three groups: (i) acupuncture combined with an anti-inflammatory diet, (ii) an anti-inflammatory diet alone, and (iii) standard treatment. The combination therapy group received acupuncture therapy twice a week. Mental health outcomes, biochemical parameters, dietary intake, and anthropometric indices were assessed at baseline and the end of the trial.</p><p><strong>Results: </strong>Of the 90 diabetic patients, 83 completed the intervention. Acupuncture therapy combined with diet resulted in an ~20% reduction in depression and anxiety, 4.28 and 0.82% reduction in waist circumference (WC) and HbA1C levels, respectively at the end of the trial. This combination therapy also significantly decreased WC (p = 0.04) and HbA1c levels (p = 0.008), while increasing high-density lipoprotein cholesterol concentrations (p = 0.02) compared to diet alone.</p><p><strong>Conclusion: </strong>Our findings indicate that acupuncture, in conjunction with an anti-inflammatory diet, may be more effective in enhancing mental health, reducing HbA1C levels, and decreasing abdominal obesity compared to an anti-inflammatory diet alone in patients with T2DM experiencing mild-to-moderate depression after 8 weeks. However, further clinical trials with larger sample sizes and extended durations are recommended to confirm the efficacy of this adjunctive therapy.</p>","PeriodicalId":19339,"journal":{"name":"Nutrition & Diabetes","volume":"15 1","pages":"18"},"PeriodicalIF":5.2000,"publicationDate":"2025-05-02","publicationTypes":"Journal Article","fieldsOfStudy":null,"isOpenAccess":false,"openAccessPdf":"https://www.ncbi.nlm.nih.gov/pmc/articles/PMC12048675/pdf/","citationCount":"0","resultStr":"{\"title\":\"The effects of an anti-inflammatory diet alone or in combination with acupuncture on mental health, anthropometric indices, and metabolic status in diabetic patients with depression: a randomized, controlled clinical trial.\",\"authors\":\"Pardis Irandoost, Amir Firouzjaei, Javad Heshmati, Erfan Sadeghi, Mohammad Hossein Ayati, Nazli Namazi\",\"doi\":\"10.1038/s41387-025-00373-y\",\"DOIUrl\":null,\"url\":null,\"abstract\":\"<p><strong>Background: </strong>The present clinical trial examined the efficacy of an anti-inflammatory diet combined with acupuncture compared to an anti-inflammatory diet alone and standard treatment in depressed patients with type 2 diabetes (T2DM).</p><p><strong>Methods: </strong>In this 8-week randomized controlled clinical trial, 90 patients with T2DM who were experiencing mild to moderate depression were included. The participants were randomly assigned to one of three groups: (i) acupuncture combined with an anti-inflammatory diet, (ii) an anti-inflammatory diet alone, and (iii) standard treatment. The combination therapy group received acupuncture therapy twice a week. Mental health outcomes, biochemical parameters, dietary intake, and anthropometric indices were assessed at baseline and the end of the trial.</p><p><strong>Results: </strong>Of the 90 diabetic patients, 83 completed the intervention. Acupuncture therapy combined with diet resulted in an ~20% reduction in depression and anxiety, 4.28 and 0.82% reduction in waist circumference (WC) and HbA1C levels, respectively at the end of the trial. This combination therapy also significantly decreased WC (p = 0.04) and HbA1c levels (p = 0.008), while increasing high-density lipoprotein cholesterol concentrations (p = 0.02) compared to diet alone.</p><p><strong>Conclusion: </strong>Our findings indicate that acupuncture, in conjunction with an anti-inflammatory diet, may be more effective in enhancing mental health, reducing HbA1C levels, and decreasing abdominal obesity compared to an anti-inflammatory diet alone in patients with T2DM experiencing mild-to-moderate depression after 8 weeks. However, further clinical trials with larger sample sizes and extended durations are recommended to confirm the efficacy of this adjunctive therapy.</p>\",\"PeriodicalId\":19339,\"journal\":{\"name\":\"Nutrition & Diabetes\",\"volume\":\"15 1\",\"pages\":\"18\"},\"PeriodicalIF\":5.2000,\"publicationDate\":\"2025-05-02\",\"publicationTypes\":\"Journal Article\",\"fieldsOfStudy\":null,\"isOpenAccess\":false,\"openAccessPdf\":\"https://www.ncbi.nlm.nih.gov/pmc/articles/PMC12048675/pdf/\",\"citationCount\":\"0\",\"resultStr\":null,\"platform\":\"Semanticscholar\",\"paperid\":null,\"PeriodicalName\":\"Nutrition & Diabetes\",\"FirstCategoryId\":\"3\",\"ListUrlMain\":\"https://doi.org/10.1038/s41387-025-00373-y\",\"RegionNum\":2,\"RegionCategory\":\"医学\",\"ArticlePicture\":[],\"TitleCN\":null,\"AbstractTextCN\":null,\"PMCID\":null,\"EPubDate\":\"\",\"PubModel\":\"\",\"JCR\":\"Q1\",\"JCRName\":\"ENDOCRINOLOGY & METABOLISM\",\"Score\":null,\"Total\":0}","platform":"Semanticscholar","paperid":null,"PeriodicalName":"Nutrition & Diabetes","FirstCategoryId":"3","ListUrlMain":"https://doi.org/10.1038/s41387-025-00373-y","RegionNum":2,"RegionCategory":"医学","ArticlePicture":[],"TitleCN":null,"AbstractTextCN":null,"PMCID":null,"EPubDate":"","PubModel":"","JCR":"Q1","JCRName":"ENDOCRINOLOGY & METABOLISM","Score":null,"Total":0}
引用次数: 0

摘要

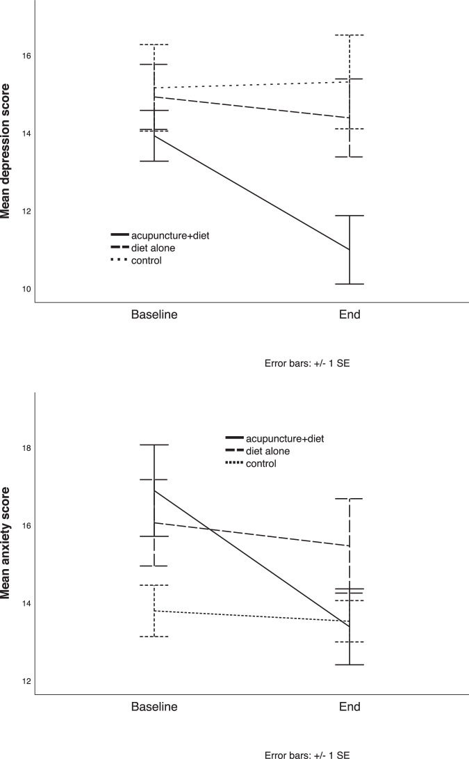
背景:本临床试验研究了抗炎饮食结合针灸治疗抑郁症合并2型糖尿病(T2DM)患者的疗效,与单纯抗炎饮食和标准治疗相比。方法:在这项为期8周的随机对照临床试验中,纳入了90例轻度至中度抑郁的T2DM患者。参与者被随机分配到三组中的一组:(i)针灸结合抗炎饮食,(ii)单独抗炎饮食,(iii)标准治疗。联合治疗组每周进行2次针灸治疗。在基线和试验结束时评估心理健康结果、生化参数、饮食摄入和人体测量指标。结果:90例糖尿病患者中,83例完成干预。在试验结束时,针灸疗法结合饮食导致抑郁和焦虑减少约20%,腰围(WC)和HbA1C水平分别减少4.28%和0.82%。与单独饮食相比,该联合疗法还显著降低了WC (p = 0.04)和HbA1c水平(p = 0.008),同时增加了高密度脂蛋白胆固醇浓度(p = 0.02)。结论:我们的研究结果表明,与单独抗炎饮食相比,在8周后出现轻度至中度抑郁的2型糖尿病患者中,针灸联合抗炎饮食可能更有效地改善心理健康、降低HbA1C水平和减少腹部肥胖。然而,建议进一步的临床试验,样本量更大,持续时间更长,以确认这种辅助治疗的有效性。
本文章由计算机程序翻译,如有差异,请以英文原文为准。

The effects of an anti-inflammatory diet alone or in combination with acupuncture on mental health, anthropometric indices, and metabolic status in diabetic patients with depression: a randomized, controlled clinical trial.

The effects of an anti-inflammatory diet alone or in combination with acupuncture on mental health, anthropometric indices, and metabolic status in diabetic patients with depression: a randomized, controlled clinical trial.

The effects of an anti-inflammatory diet alone or in combination with acupuncture on mental health, anthropometric indices, and metabolic status in diabetic patients with depression: a randomized, controlled clinical trial.

Background: The present clinical trial examined the efficacy of an anti-inflammatory diet combined with acupuncture compared to an anti-inflammatory diet alone and standard treatment in depressed patients with type 2 diabetes (T2DM).

Methods: In this 8-week randomized controlled clinical trial, 90 patients with T2DM who were experiencing mild to moderate depression were included. The participants were randomly assigned to one of three groups: (i) acupuncture combined with an anti-inflammatory diet, (ii) an anti-inflammatory diet alone, and (iii) standard treatment. The combination therapy group received acupuncture therapy twice a week. Mental health outcomes, biochemical parameters, dietary intake, and anthropometric indices were assessed at baseline and the end of the trial.

Results: Of the 90 diabetic patients, 83 completed the intervention. Acupuncture therapy combined with diet resulted in an ~20% reduction in depression and anxiety, 4.28 and 0.82% reduction in waist circumference (WC) and HbA1C levels, respectively at the end of the trial. This combination therapy also significantly decreased WC (p = 0.04) and HbA1c levels (p = 0.008), while increasing high-density lipoprotein cholesterol concentrations (p = 0.02) compared to diet alone.

Conclusion: Our findings indicate that acupuncture, in conjunction with an anti-inflammatory diet, may be more effective in enhancing mental health, reducing HbA1C levels, and decreasing abdominal obesity compared to an anti-inflammatory diet alone in patients with T2DM experiencing mild-to-moderate depression after 8 weeks. However, further clinical trials with larger sample sizes and extended durations are recommended to confirm the efficacy of this adjunctive therapy.

求助全文
通过发布文献求助,成功后即可免费获取论文全文。 去求助
来源期刊
Nutrition & Diabetes
Nutrition & Diabetes ENDOCRINOLOGY & METABOLISM-NUTRITION & DIETETICS
CiteScore
9.20
自引率
0.00%
发文量
50
审稿时长
>12 weeks
期刊介绍: Nutrition & Diabetes is a peer-reviewed, online, open access journal bringing to the fore outstanding research in the areas of nutrition and chronic disease, including diabetes, from the molecular to the population level.
×
引用
GB/T 7714-2015
复制
MLA
复制
APA
复制
导出至
BibTeX EndNote RefMan NoteFirst NoteExpress
×
提示
您的信息不完整,为了账户安全,请先补充。
现在去补充
×
提示
您因"违规操作"
具体请查看互助需知
我知道了
×
提示
确定
请完成安全验证×
copy
已复制链接
快去分享给好友吧!
我知道了
右上角分享
点击右上角分享
0
联系我们:info@booksci.cn Book学术提供免费学术资源搜索服务,方便国内外学者检索中英文文献。致力于提供最便捷和优质的服务体验。 Copyright © 2023 布克学术 All rights reserved.
京ICP备2023020795号-1
ghs 京公网安备 11010802042870号
Book学术文献互助
Book学术文献互助群
群 号:604180095
Book学术官方微信