中国青少年自伤认知情绪调节策略的网络结构与核心特征

IF 3.2 3区 心理学 Q2 PSYCHOLOGY, CLINICAL
Psychology Research and Behavior Management Pub Date : 2025-04-29 eCollection Date: 2025-01-01 DOI:10.2147/PRBM.S499710
Peiyu Zhang, Jingyu Shi
{"title":"中国青少年自伤认知情绪调节策略的网络结构与核心特征","authors":"Peiyu Zhang, Jingyu Shi","doi":"10.2147/PRBM.S499710","DOIUrl":null,"url":null,"abstract":"<p><strong>Purpose: </strong>Little research has focused on identifying the dynamic relationship and core features of cognitive emotion regulation strategies (CERS) that critically contribute to the onset and maintenance of NSSI. This study aims to investigate the CERS network structure in Chinese adolescents with NSSI through network analysis, identifying the core strategies within this network.</p><p><strong>Patients and methods: </strong>A total of 2711 Chinese adolescents (50.5% female, mean age = 12.89 ± 0.73 years) were assessed using the CERQ. Independent <i>t</i>-tests were conducted to compare CERS scores between adolescents with and without NSSI. Network analysis was performed to identify core CERS and to explore differences in the networks between the two groups.</p><p><strong>Results: </strong>A total of 1065 adolescents (39.28%) reported engaging in NSSI at least once within the past six months. Among adolescents with NSSI, catastrophizing (strength = 1.32, betweenness = 1.98, closeness = 0.45) and rumination (strength = 1.18, betweenness = 1.10, closeness = 2.02) emerged as the most central CERS. In contrast, among adolescents without NSSI, catastrophizing (strength = 1.79, betweenness = 1.00, closeness = 0.08), rumination (strength = 0.34, betweenness = 1.00, closeness = 1.02), and positive reappraisal (strength = 0.57, betweenness = 1.50, closeness = 1.50) were identified as central CERS. Significant differences in network structure, global strength, and centrality were observed between the two groups, reflecting distinct patterns of CERS.</p><p><strong>Conclusion: </strong>NSSI is associated with tightly connected, rigid CERS networks. Targeted interventions should focus on reducing catastrophizing and enhancing positive reappraisal to disrupt these rigid cognitive emotion regulation patterns, ultimately mitigating the risk of NSSI.</p>","PeriodicalId":20954,"journal":{"name":"Psychology Research and Behavior Management","volume":"18 ","pages":"1075-1084"},"PeriodicalIF":3.2000,"publicationDate":"2025-04-29","publicationTypes":"Journal Article","fieldsOfStudy":null,"isOpenAccess":false,"openAccessPdf":"https://www.ncbi.nlm.nih.gov/pmc/articles/PMC12049111/pdf/","citationCount":"0","resultStr":"{\"title\":\"Network Structure and Core Features of Cognitive Emotion Regulation Strategies in Chinese Adolescents with NSSI.\",\"authors\":\"Peiyu Zhang, Jingyu Shi\",\"doi\":\"10.2147/PRBM.S499710\",\"DOIUrl\":null,\"url\":null,\"abstract\":\"<p><strong>Purpose: </strong>Little research has focused on identifying the dynamic relationship and core features of cognitive emotion regulation strategies (CERS) that critically contribute to the onset and maintenance of NSSI. This study aims to investigate the CERS network structure in Chinese adolescents with NSSI through network analysis, identifying the core strategies within this network.</p><p><strong>Patients and methods: </strong>A total of 2711 Chinese adolescents (50.5% female, mean age = 12.89 ± 0.73 years) were assessed using the CERQ. Independent <i>t</i>-tests were conducted to compare CERS scores between adolescents with and without NSSI. Network analysis was performed to identify core CERS and to explore differences in the networks between the two groups.</p><p><strong>Results: </strong>A total of 1065 adolescents (39.28%) reported engaging in NSSI at least once within the past six months. Among adolescents with NSSI, catastrophizing (strength = 1.32, betweenness = 1.98, closeness = 0.45) and rumination (strength = 1.18, betweenness = 1.10, closeness = 2.02) emerged as the most central CERS. In contrast, among adolescents without NSSI, catastrophizing (strength = 1.79, betweenness = 1.00, closeness = 0.08), rumination (strength = 0.34, betweenness = 1.00, closeness = 1.02), and positive reappraisal (strength = 0.57, betweenness = 1.50, closeness = 1.50) were identified as central CERS. Significant differences in network structure, global strength, and centrality were observed between the two groups, reflecting distinct patterns of CERS.</p><p><strong>Conclusion: </strong>NSSI is associated with tightly connected, rigid CERS networks. Targeted interventions should focus on reducing catastrophizing and enhancing positive reappraisal to disrupt these rigid cognitive emotion regulation patterns, ultimately mitigating the risk of NSSI.</p>\",\"PeriodicalId\":20954,\"journal\":{\"name\":\"Psychology Research and Behavior Management\",\"volume\":\"18 \",\"pages\":\"1075-1084\"},\"PeriodicalIF\":3.2000,\"publicationDate\":\"2025-04-29\",\"publicationTypes\":\"Journal Article\",\"fieldsOfStudy\":null,\"isOpenAccess\":false,\"openAccessPdf\":\"https://www.ncbi.nlm.nih.gov/pmc/articles/PMC12049111/pdf/\",\"citationCount\":\"0\",\"resultStr\":null,\"platform\":\"Semanticscholar\",\"paperid\":null,\"PeriodicalName\":\"Psychology Research and Behavior Management\",\"FirstCategoryId\":\"102\",\"ListUrlMain\":\"https://doi.org/10.2147/PRBM.S499710\",\"RegionNum\":3,\"RegionCategory\":\"心理学\",\"ArticlePicture\":[],\"TitleCN\":null,\"AbstractTextCN\":null,\"PMCID\":null,\"EPubDate\":\"2025/1/1 0:00:00\",\"PubModel\":\"eCollection\",\"JCR\":\"Q2\",\"JCRName\":\"PSYCHOLOGY, CLINICAL\",\"Score\":null,\"Total\":0}","platform":"Semanticscholar","paperid":null,"PeriodicalName":"Psychology Research and Behavior Management","FirstCategoryId":"102","ListUrlMain":"https://doi.org/10.2147/PRBM.S499710","RegionNum":3,"RegionCategory":"心理学","ArticlePicture":[],"TitleCN":null,"AbstractTextCN":null,"PMCID":null,"EPubDate":"2025/1/1 0:00:00","PubModel":"eCollection","JCR":"Q2","JCRName":"PSYCHOLOGY, CLINICAL","Score":null,"Total":0}
引用次数: 0

摘要

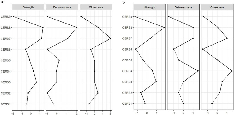
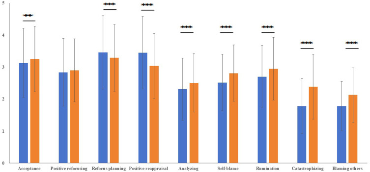
目的:认知情绪调节策略(CERS)对自伤发生和维持的动态关系和核心特征的研究很少。本研究旨在通过网络分析探讨中国自伤青少年的心理适应网络结构,并确定该网络中的核心策略。患者和方法:使用CERQ对2711名中国青少年(50.5%为女性,平均年龄= 12.89±0.73岁)进行评估。采用独立t检验比较有和无自伤青少年的CERS评分。进行网络分析以确定核心CERS并探索两组之间网络的差异。结果:共有1065名青少年(39.28%)报告在过去6个月内至少有过一次自伤行为。在发生自伤的青少年中,灾难化(强度= 1.32,中间值= 1.98,亲密度= 0.45)和反刍(强度= 1.18,中间值= 1.10,亲密度= 2.02)是最主要的CERS。而在非自伤青少年中,灾难化(强度= 1.79,中间值= 1.00,亲密度= 0.08)、反刍(强度= 0.34,中间值= 1.00,亲密度= 1.02)和积极重评(强度= 0.57,中间值= 1.50,亲密度= 1.50)被确定为中心CERS。两组在网络结构、整体强度和中心性方面存在显著差异,反映了不同的CERS模式。结论:自伤与紧密连接的刚性CERS网络有关。有针对性的干预应侧重于减少灾难化和加强积极的重新评价,以破坏这些僵化的认知情绪调节模式,最终降低自伤的风险。
本文章由计算机程序翻译,如有差异,请以英文原文为准。

Network Structure and Core Features of Cognitive Emotion Regulation Strategies in Chinese Adolescents with NSSI.

Network Structure and Core Features of Cognitive Emotion Regulation Strategies in Chinese Adolescents with NSSI.

Network Structure and Core Features of Cognitive Emotion Regulation Strategies in Chinese Adolescents with NSSI.

Network Structure and Core Features of Cognitive Emotion Regulation Strategies in Chinese Adolescents with NSSI.

Purpose: Little research has focused on identifying the dynamic relationship and core features of cognitive emotion regulation strategies (CERS) that critically contribute to the onset and maintenance of NSSI. This study aims to investigate the CERS network structure in Chinese adolescents with NSSI through network analysis, identifying the core strategies within this network.

Patients and methods: A total of 2711 Chinese adolescents (50.5% female, mean age = 12.89 ± 0.73 years) were assessed using the CERQ. Independent t-tests were conducted to compare CERS scores between adolescents with and without NSSI. Network analysis was performed to identify core CERS and to explore differences in the networks between the two groups.

Results: A total of 1065 adolescents (39.28%) reported engaging in NSSI at least once within the past six months. Among adolescents with NSSI, catastrophizing (strength = 1.32, betweenness = 1.98, closeness = 0.45) and rumination (strength = 1.18, betweenness = 1.10, closeness = 2.02) emerged as the most central CERS. In contrast, among adolescents without NSSI, catastrophizing (strength = 1.79, betweenness = 1.00, closeness = 0.08), rumination (strength = 0.34, betweenness = 1.00, closeness = 1.02), and positive reappraisal (strength = 0.57, betweenness = 1.50, closeness = 1.50) were identified as central CERS. Significant differences in network structure, global strength, and centrality were observed between the two groups, reflecting distinct patterns of CERS.

Conclusion: NSSI is associated with tightly connected, rigid CERS networks. Targeted interventions should focus on reducing catastrophizing and enhancing positive reappraisal to disrupt these rigid cognitive emotion regulation patterns, ultimately mitigating the risk of NSSI.

求助全文
通过发布文献求助,成功后即可免费获取论文全文。 去求助
来源期刊
CiteScore
4.50
自引率
4.70%
发文量
341
审稿时长
16 weeks
期刊介绍: Psychology Research and Behavior Management is an international, peer-reviewed, open access journal focusing on the science of psychology and its application in behavior management to develop improved outcomes in the clinical, educational, sports and business arenas. Specific topics covered in the journal include: -Neuroscience, memory and decision making -Behavior modification and management -Clinical applications -Business and sports performance management -Social and developmental studies -Animal studies The journal welcomes submitted papers covering original research, clinical studies, surveys, reviews and evaluations, guidelines, expert opinion and commentary, case reports and extended reports.
×
引用
GB/T 7714-2015
复制
MLA
复制
APA
复制
导出至
BibTeX EndNote RefMan NoteFirst NoteExpress
×
提示
您的信息不完整,为了账户安全,请先补充。
现在去补充
×
提示
您因"违规操作"
具体请查看互助需知
我知道了
×
提示
确定
请完成安全验证×
copy
已复制链接
快去分享给好友吧!
我知道了
右上角分享
点击右上角分享
0
联系我们:info@booksci.cn Book学术提供免费学术资源搜索服务,方便国内外学者检索中英文文献。致力于提供最便捷和优质的服务体验。 Copyright © 2023 布克学术 All rights reserved.
京ICP备2023020795号-1
ghs 京公网安备 11010802042870号
Book学术文献互助
Book学术文献互助群
群 号:604180095
Book学术官方微信