进行性非特发性肺纤维化患者接受抗纤维化治疗的疗效、耐受性和生存率分析。

IF 2.3 4区 医学 Q3 CARDIAC & CARDIOVASCULAR SYSTEMS
Annals of Thoracic Medicine Pub Date : 2025-04-01 Epub Date: 2025-03-31 DOI:10.4103/atm.atm_213_24
Nesrin Ocal, Aykut Cilli, Nesrin Mogulkoc, Funda Coskun, Ahmet Ursavas, Ismail Hanta, Berna Akinci Ozyurek, Kerem Ensarioglu, Alper Ezircan, Esra Yuksel, Beste Arikan, Fatih Uzer, Tugce Sahin Ozdemirel, Salim Misirci, Pelin Pinar Deniz, Ilknur Basyigit, Ozlem Ozdemir Kumbasar
{"title":"进行性非特发性肺纤维化患者接受抗纤维化治疗的疗效、耐受性和生存率分析。","authors":"Nesrin Ocal, Aykut Cilli, Nesrin Mogulkoc, Funda Coskun, Ahmet Ursavas, Ismail Hanta, Berna Akinci Ozyurek, Kerem Ensarioglu, Alper Ezircan, Esra Yuksel, Beste Arikan, Fatih Uzer, Tugce Sahin Ozdemirel, Salim Misirci, Pelin Pinar Deniz, Ilknur Basyigit, Ozlem Ozdemir Kumbasar","doi":"10.4103/atm.atm_213_24","DOIUrl":null,"url":null,"abstract":"<p><strong>Background: </strong>There are still disagreements about diagnostic criteria and treatment of progressive pulmonary fibrosis (PPF). Real-life data and survival analyses have a guiding role in clarifying this issue.</p><p><strong>Methods: </strong>In this multicenter retrospective cohort study, real-life data of adult patients diagnosed with PPF and treated with antifibrotics for at least 6 months were examined.</p><p><strong>Results: </strong>Of the 222 patients, 161 were treated with Nintedanib (N) and 61 with Pirfenidone (P). The most common PPF subtype was connective tissue disease-related interstitial lung disease (CTD-ILD) (53.2%). The progression rate was significantly higher in patients with usual interstitial pneumonia (UIP) (<i>P</i> = 0.003). A -3.1% (-49.2 ml) decrease was detected in forced vital capacity (FVC) in the 6<sup>th</sup> month. The 6<sup>th</sup> month and overall progression-free survival (PFS) rates were 83.3% and 51.8%. The 6<sup>th</sup> month and overall clinical event-free survival (CEFS) rates were 89.6% and 53.6%. The survival rates for 6<sup>th</sup>, 12<sup>th</sup>, and entire follow-up periods were found to be 98.2%, 89.2%, and 77.5%. CT-ILD had the longest survival time (166.5 ± 9.2 months) and fibrotic hypersensitivity pneumonia had the shortest survival time (87.6 ± 9.2 months) (<i>P</i> = 0.011). N was advantageous in patients with UIP in terms of FVC loss and estimated survival. While PFS during the entire follow-up period was in favor of N, CEFS had no significant difference between drugs.</p><p><strong>Conclusion: </strong>PPF subtypes have significant differences in terms of prognosis and survival. The effect of AF drugs on progression varies, especially among radiological patterns. An individualized approach is required in the diagnosis, follow-up, and treatment of patients with PPF.</p>","PeriodicalId":50760,"journal":{"name":"Annals of Thoracic Medicine","volume":"20 2","pages":"98-107"},"PeriodicalIF":2.3000,"publicationDate":"2025-04-01","publicationTypes":"Journal Article","fieldsOfStudy":null,"isOpenAccess":false,"openAccessPdf":"https://www.ncbi.nlm.nih.gov/pmc/articles/PMC11996130/pdf/","citationCount":"0","resultStr":"{\"title\":\"Analysis of treatment efficacy, tolerability, and survival of patients receiving antifibrotic therapy for progressive nonidiopathic pulmonary fibrosis.\",\"authors\":\"Nesrin Ocal, Aykut Cilli, Nesrin Mogulkoc, Funda Coskun, Ahmet Ursavas, Ismail Hanta, Berna Akinci Ozyurek, Kerem Ensarioglu, Alper Ezircan, Esra Yuksel, Beste Arikan, Fatih Uzer, Tugce Sahin Ozdemirel, Salim Misirci, Pelin Pinar Deniz, Ilknur Basyigit, Ozlem Ozdemir Kumbasar\",\"doi\":\"10.4103/atm.atm_213_24\",\"DOIUrl\":null,\"url\":null,\"abstract\":\"<p><strong>Background: </strong>There are still disagreements about diagnostic criteria and treatment of progressive pulmonary fibrosis (PPF). Real-life data and survival analyses have a guiding role in clarifying this issue.</p><p><strong>Methods: </strong>In this multicenter retrospective cohort study, real-life data of adult patients diagnosed with PPF and treated with antifibrotics for at least 6 months were examined.</p><p><strong>Results: </strong>Of the 222 patients, 161 were treated with Nintedanib (N) and 61 with Pirfenidone (P). The most common PPF subtype was connective tissue disease-related interstitial lung disease (CTD-ILD) (53.2%). The progression rate was significantly higher in patients with usual interstitial pneumonia (UIP) (<i>P</i> = 0.003). A -3.1% (-49.2 ml) decrease was detected in forced vital capacity (FVC) in the 6<sup>th</sup> month. The 6<sup>th</sup> month and overall progression-free survival (PFS) rates were 83.3% and 51.8%. The 6<sup>th</sup> month and overall clinical event-free survival (CEFS) rates were 89.6% and 53.6%. The survival rates for 6<sup>th</sup>, 12<sup>th</sup>, and entire follow-up periods were found to be 98.2%, 89.2%, and 77.5%. CT-ILD had the longest survival time (166.5 ± 9.2 months) and fibrotic hypersensitivity pneumonia had the shortest survival time (87.6 ± 9.2 months) (<i>P</i> = 0.011). N was advantageous in patients with UIP in terms of FVC loss and estimated survival. While PFS during the entire follow-up period was in favor of N, CEFS had no significant difference between drugs.</p><p><strong>Conclusion: </strong>PPF subtypes have significant differences in terms of prognosis and survival. The effect of AF drugs on progression varies, especially among radiological patterns. An individualized approach is required in the diagnosis, follow-up, and treatment of patients with PPF.</p>\",\"PeriodicalId\":50760,\"journal\":{\"name\":\"Annals of Thoracic Medicine\",\"volume\":\"20 2\",\"pages\":\"98-107\"},\"PeriodicalIF\":2.3000,\"publicationDate\":\"2025-04-01\",\"publicationTypes\":\"Journal Article\",\"fieldsOfStudy\":null,\"isOpenAccess\":false,\"openAccessPdf\":\"https://www.ncbi.nlm.nih.gov/pmc/articles/PMC11996130/pdf/\",\"citationCount\":\"0\",\"resultStr\":null,\"platform\":\"Semanticscholar\",\"paperid\":null,\"PeriodicalName\":\"Annals of Thoracic Medicine\",\"FirstCategoryId\":\"3\",\"ListUrlMain\":\"https://doi.org/10.4103/atm.atm_213_24\",\"RegionNum\":4,\"RegionCategory\":\"医学\",\"ArticlePicture\":[],\"TitleCN\":null,\"AbstractTextCN\":null,\"PMCID\":null,\"EPubDate\":\"2025/3/31 0:00:00\",\"PubModel\":\"Epub\",\"JCR\":\"Q3\",\"JCRName\":\"CARDIAC & CARDIOVASCULAR SYSTEMS\",\"Score\":null,\"Total\":0}","platform":"Semanticscholar","paperid":null,"PeriodicalName":"Annals of Thoracic Medicine","FirstCategoryId":"3","ListUrlMain":"https://doi.org/10.4103/atm.atm_213_24","RegionNum":4,"RegionCategory":"医学","ArticlePicture":[],"TitleCN":null,"AbstractTextCN":null,"PMCID":null,"EPubDate":"2025/3/31 0:00:00","PubModel":"Epub","JCR":"Q3","JCRName":"CARDIAC & CARDIOVASCULAR SYSTEMS","Score":null,"Total":0}
引用次数: 0

摘要

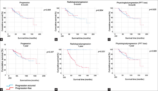
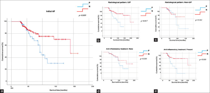
背景:关于进行性肺纤维化(PPF)的诊断标准和治疗仍存在分歧。现实生活数据和生存分析对澄清这个问题具有指导作用。方法:在这项多中心回顾性队列研究中,研究了诊断为PPF并接受抗纤维化药物治疗至少6个月的成年患者的真实数据。结果:222例患者中,尼达尼布(N) 161例,吡非尼酮(P) 61例。最常见的PPF亚型是结缔组织病相关间质性肺疾病(CTD-ILD)(53.2%)。常规间质性肺炎(UIP)患者的进展率明显高于常规间质性肺炎(P = 0.003)。第6个月用力肺活量(FVC)下降-3.1% (-49.2 ml)。6个月和总无进展生存期(PFS)分别为83.3%和51.8%。6个月和总临床无事件生存率(CEFS)分别为89.6%和53.6%。第6期、第12期和整个随访期的生存率分别为98.2%、89.2%和77.5%。CT-ILD存活时间最长(166.5±9.2个月),纤维化超敏性肺炎存活时间最短(87.6±9.2个月)(P = 0.011)。在FVC损失和估计生存方面,N对UIP患者有利。在整个随访期间,PFS倾向于N,而CEFS在药物间无显著差异。结论:PPF亚型在预后和生存方面存在显著差异。房颤药物对房颤进展的影响各不相同,尤其是在影像学上。在PPF患者的诊断、随访和治疗中需要个性化的方法。
本文章由计算机程序翻译,如有差异,请以英文原文为准。

Analysis of treatment efficacy, tolerability, and survival of patients receiving antifibrotic therapy for progressive nonidiopathic pulmonary fibrosis.

Analysis of treatment efficacy, tolerability, and survival of patients receiving antifibrotic therapy for progressive nonidiopathic pulmonary fibrosis.

Analysis of treatment efficacy, tolerability, and survival of patients receiving antifibrotic therapy for progressive nonidiopathic pulmonary fibrosis.

Analysis of treatment efficacy, tolerability, and survival of patients receiving antifibrotic therapy for progressive nonidiopathic pulmonary fibrosis.

Background: There are still disagreements about diagnostic criteria and treatment of progressive pulmonary fibrosis (PPF). Real-life data and survival analyses have a guiding role in clarifying this issue.

Methods: In this multicenter retrospective cohort study, real-life data of adult patients diagnosed with PPF and treated with antifibrotics for at least 6 months were examined.

Results: Of the 222 patients, 161 were treated with Nintedanib (N) and 61 with Pirfenidone (P). The most common PPF subtype was connective tissue disease-related interstitial lung disease (CTD-ILD) (53.2%). The progression rate was significantly higher in patients with usual interstitial pneumonia (UIP) (P = 0.003). A -3.1% (-49.2 ml) decrease was detected in forced vital capacity (FVC) in the 6th month. The 6th month and overall progression-free survival (PFS) rates were 83.3% and 51.8%. The 6th month and overall clinical event-free survival (CEFS) rates were 89.6% and 53.6%. The survival rates for 6th, 12th, and entire follow-up periods were found to be 98.2%, 89.2%, and 77.5%. CT-ILD had the longest survival time (166.5 ± 9.2 months) and fibrotic hypersensitivity pneumonia had the shortest survival time (87.6 ± 9.2 months) (P = 0.011). N was advantageous in patients with UIP in terms of FVC loss and estimated survival. While PFS during the entire follow-up period was in favor of N, CEFS had no significant difference between drugs.

Conclusion: PPF subtypes have significant differences in terms of prognosis and survival. The effect of AF drugs on progression varies, especially among radiological patterns. An individualized approach is required in the diagnosis, follow-up, and treatment of patients with PPF.

求助全文
通过发布文献求助,成功后即可免费获取论文全文。 去求助
来源期刊
Annals of Thoracic Medicine
Annals of Thoracic Medicine CARDIAC & CARDIOVASCULAR SYSTEMS-RESPIRATORY SYSTEM
CiteScore
4.10
自引率
4.30%
发文量
19
审稿时长
>12 weeks
期刊介绍: The journal will cover studies related to multidisciplinary specialties of chest medicine, such as adult and pediatrics pulmonology, thoracic surgery, critical care medicine, respiratory care, transplantation, sleep medicine, related basic medical sciences, and more. The journal also features basic science, special reports, case reports, board review , and more. Editorials and communications to the editor that explore controversial issues and encourage further discussion by physicians dealing with chest medicine.
×
引用
GB/T 7714-2015
复制
MLA
复制
APA
复制
导出至
BibTeX EndNote RefMan NoteFirst NoteExpress
×
提示
您的信息不完整,为了账户安全,请先补充。
现在去补充
×
提示
您因"违规操作"
具体请查看互助需知
我知道了
×
提示
确定
请完成安全验证×
copy
已复制链接
快去分享给好友吧!
我知道了
右上角分享
点击右上角分享
0
联系我们:info@booksci.cn Book学术提供免费学术资源搜索服务,方便国内外学者检索中英文文献。致力于提供最便捷和优质的服务体验。 Copyright © 2023 布克学术 All rights reserved.
京ICP备2023020795号-1
ghs 京公网安备 11010802042870号
Book学术文献互助
Book学术文献互助群
群 号:604180095
Book学术官方微信