雷马唑仑全麻过程中镇痛痛觉指数的表现:一项前瞻性观察研究。

IF 2.4 4区 医学 Q1 MEDICINE, GENERAL & INTERNAL
Joohyun Lee, Jung-Min Yi, Young Joo
{"title":"雷马唑仑全麻过程中镇痛痛觉指数的表现:一项前瞻性观察研究。","authors":"Joohyun Lee, Jung-Min Yi, Young Joo","doi":"10.3390/medicina61040742","DOIUrl":null,"url":null,"abstract":"<p><p><i>Background and Objectives</i>: The Analgesia Nociception Index (ANI), a surrogate marker derived from heart rate variability (HRV) analysis, has been validated for assessing the balance between antinociception and nociception during propofol anesthesia. The ANI continuously monitors this balance, with values above 50 indicating optimal analgesia. By adjusting analgesic administration based on ANI values, anesthesiologists can provide more personalized intraoperative pain control. Remimazolam, a novel benzodiazepine anesthetic lacking intrinsic analgesic properties, exhibits distinct HRV patterns compared to propofol. Considering these differences, the validity of the ANI during remimazolam anesthesia remains uncertain. We evaluated the validity of the ANI by assessing its ability to detect nociceptive stimuli during remimazolam anesthesia. <i>Materials and Methods</i>: In total, 28 patients were administered general anesthesia using remimazolam and remifentanil. We evaluated changes in the ANI before and after tetanic stimulation. In addition, we investigated the association between hemodynamic responses during surgical incisions and changes in the ANI. <i>Results</i>: Tetanic stimulation resulted in a significant (<i>p</i> < 0.001) reduction in the ANI, from 62.0 (interquartile range [IQR] 50.5-76.0) to 44.0 (IQR 37.0-55.5). Of the 13 patients who experienced hemodynamic responses during surgical incision, the ANI significantly decreased from 63.2 ± 13.6 to 36.9 ± 13.8 following noxious surgical stimulation (<i>p</i> < 0.001). <i>Conclusions</i>: The ANI reflects the dynamic equilibrium between antinociception and nociception during remimazolam-based general anesthesia.</p>","PeriodicalId":49830,"journal":{"name":"Medicina-Lithuania","volume":"61 4","pages":""},"PeriodicalIF":2.4000,"publicationDate":"2025-04-17","publicationTypes":"Journal Article","fieldsOfStudy":null,"isOpenAccess":false,"openAccessPdf":"https://www.ncbi.nlm.nih.gov/pmc/articles/PMC12028781/pdf/","citationCount":"0","resultStr":"{\"title\":\"The Analgesia Nociception Index's Performance During Remimazolam-Based General Anesthesia: A Prospective Observational Study.\",\"authors\":\"Joohyun Lee, Jung-Min Yi, Young Joo\",\"doi\":\"10.3390/medicina61040742\",\"DOIUrl\":null,\"url\":null,\"abstract\":\"<p><p><i>Background and Objectives</i>: The Analgesia Nociception Index (ANI), a surrogate marker derived from heart rate variability (HRV) analysis, has been validated for assessing the balance between antinociception and nociception during propofol anesthesia. The ANI continuously monitors this balance, with values above 50 indicating optimal analgesia. By adjusting analgesic administration based on ANI values, anesthesiologists can provide more personalized intraoperative pain control. Remimazolam, a novel benzodiazepine anesthetic lacking intrinsic analgesic properties, exhibits distinct HRV patterns compared to propofol. Considering these differences, the validity of the ANI during remimazolam anesthesia remains uncertain. We evaluated the validity of the ANI by assessing its ability to detect nociceptive stimuli during remimazolam anesthesia. <i>Materials and Methods</i>: In total, 28 patients were administered general anesthesia using remimazolam and remifentanil. We evaluated changes in the ANI before and after tetanic stimulation. In addition, we investigated the association between hemodynamic responses during surgical incisions and changes in the ANI. <i>Results</i>: Tetanic stimulation resulted in a significant (<i>p</i> < 0.001) reduction in the ANI, from 62.0 (interquartile range [IQR] 50.5-76.0) to 44.0 (IQR 37.0-55.5). Of the 13 patients who experienced hemodynamic responses during surgical incision, the ANI significantly decreased from 63.2 ± 13.6 to 36.9 ± 13.8 following noxious surgical stimulation (<i>p</i> < 0.001). <i>Conclusions</i>: The ANI reflects the dynamic equilibrium between antinociception and nociception during remimazolam-based general anesthesia.</p>\",\"PeriodicalId\":49830,\"journal\":{\"name\":\"Medicina-Lithuania\",\"volume\":\"61 4\",\"pages\":\"\"},\"PeriodicalIF\":2.4000,\"publicationDate\":\"2025-04-17\",\"publicationTypes\":\"Journal Article\",\"fieldsOfStudy\":null,\"isOpenAccess\":false,\"openAccessPdf\":\"https://www.ncbi.nlm.nih.gov/pmc/articles/PMC12028781/pdf/\",\"citationCount\":\"0\",\"resultStr\":null,\"platform\":\"Semanticscholar\",\"paperid\":null,\"PeriodicalName\":\"Medicina-Lithuania\",\"FirstCategoryId\":\"3\",\"ListUrlMain\":\"https://doi.org/10.3390/medicina61040742\",\"RegionNum\":4,\"RegionCategory\":\"医学\",\"ArticlePicture\":[],\"TitleCN\":null,\"AbstractTextCN\":null,\"PMCID\":null,\"EPubDate\":\"\",\"PubModel\":\"\",\"JCR\":\"Q1\",\"JCRName\":\"MEDICINE, GENERAL & INTERNAL\",\"Score\":null,\"Total\":0}","platform":"Semanticscholar","paperid":null,"PeriodicalName":"Medicina-Lithuania","FirstCategoryId":"3","ListUrlMain":"https://doi.org/10.3390/medicina61040742","RegionNum":4,"RegionCategory":"医学","ArticlePicture":[],"TitleCN":null,"AbstractTextCN":null,"PMCID":null,"EPubDate":"","PubModel":"","JCR":"Q1","JCRName":"MEDICINE, GENERAL & INTERNAL","Score":null,"Total":0}
引用次数: 0

摘要

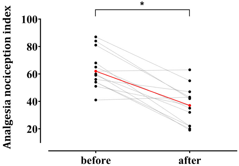
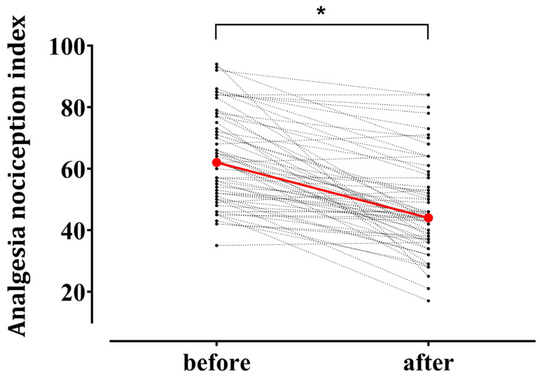
背景和目的:通过心率变异性(HRV)分析得出的镇痛痛觉指数(ANI)作为替代指标,已被证实可用于评估异丙酚麻醉时抗痛觉和伤害性之间的平衡。ANI持续监测这种平衡,值超过50表示最佳镇痛。通过根据ANI值调整镇痛给药,麻醉师可以提供更个性化的术中疼痛控制。雷马唑仑是一种新型苯二氮卓类麻醉剂,缺乏内在镇痛特性,与异丙酚相比,表现出不同的HRV模式。考虑到这些差异,在雷马唑仑麻醉期间ANI的有效性仍然不确定。我们通过评估ANI在雷马唑仑麻醉期间检测伤害性刺激的能力来评估其有效性。材料与方法:28例患者采用雷马唑仑加瑞芬太尼全麻。我们评估了破伤风刺激前后ANI的变化。此外,我们还研究了手术切口时血流动力学反应与ANI变化之间的关系。结果:破伤风刺激导致ANI显著降低(p < 0.001),从62.0(四分位间距[IQR] 50.5-76.0)降至44.0 (IQR 37.0-55.5)。在13例手术切口血流动力学反应的患者中,手术刺激后ANI从63.2±13.6显著降低到36.9±13.8 (p < 0.001)。结论:ANI反映了雷马唑仑全麻过程中抗痛觉和伤害觉之间的动态平衡。
本文章由计算机程序翻译,如有差异,请以英文原文为准。

The Analgesia Nociception Index's Performance During Remimazolam-Based General Anesthesia: A Prospective Observational Study.

The Analgesia Nociception Index's Performance During Remimazolam-Based General Anesthesia: A Prospective Observational Study.

The Analgesia Nociception Index's Performance During Remimazolam-Based General Anesthesia: A Prospective Observational Study.

The Analgesia Nociception Index's Performance During Remimazolam-Based General Anesthesia: A Prospective Observational Study.

Background and Objectives: The Analgesia Nociception Index (ANI), a surrogate marker derived from heart rate variability (HRV) analysis, has been validated for assessing the balance between antinociception and nociception during propofol anesthesia. The ANI continuously monitors this balance, with values above 50 indicating optimal analgesia. By adjusting analgesic administration based on ANI values, anesthesiologists can provide more personalized intraoperative pain control. Remimazolam, a novel benzodiazepine anesthetic lacking intrinsic analgesic properties, exhibits distinct HRV patterns compared to propofol. Considering these differences, the validity of the ANI during remimazolam anesthesia remains uncertain. We evaluated the validity of the ANI by assessing its ability to detect nociceptive stimuli during remimazolam anesthesia. Materials and Methods: In total, 28 patients were administered general anesthesia using remimazolam and remifentanil. We evaluated changes in the ANI before and after tetanic stimulation. In addition, we investigated the association between hemodynamic responses during surgical incisions and changes in the ANI. Results: Tetanic stimulation resulted in a significant (p < 0.001) reduction in the ANI, from 62.0 (interquartile range [IQR] 50.5-76.0) to 44.0 (IQR 37.0-55.5). Of the 13 patients who experienced hemodynamic responses during surgical incision, the ANI significantly decreased from 63.2 ± 13.6 to 36.9 ± 13.8 following noxious surgical stimulation (p < 0.001). Conclusions: The ANI reflects the dynamic equilibrium between antinociception and nociception during remimazolam-based general anesthesia.

求助全文
通过发布文献求助,成功后即可免费获取论文全文。 去求助
来源期刊
Medicina-Lithuania
Medicina-Lithuania 医学-医学:内科
CiteScore
3.30
自引率
3.80%
发文量
1578
审稿时长
25.04 days
期刊介绍: The journal’s main focus is on reviews as well as clinical and experimental investigations. The journal aims to advance knowledge related to problems in medicine in developing countries as well as developed economies, to disseminate research on global health, and to promote and foster prevention and treatment of diseases worldwide. MEDICINA publications cater to clinicians, diagnosticians and researchers, and serve as a forum to discuss the current status of health-related matters and their impact on a global and local scale.
×
引用
GB/T 7714-2015
复制
MLA
复制
APA
复制
导出至
BibTeX EndNote RefMan NoteFirst NoteExpress
×
提示
您的信息不完整,为了账户安全,请先补充。
现在去补充
×
提示
您因"违规操作"
具体请查看互助需知
我知道了
×
提示
确定
请完成安全验证×
copy
已复制链接
快去分享给好友吧!
我知道了
右上角分享
点击右上角分享
0
联系我们:info@booksci.cn Book学术提供免费学术资源搜索服务,方便国内外学者检索中英文文献。致力于提供最便捷和优质的服务体验。 Copyright © 2023 布克学术 All rights reserved.
京ICP备2023020795号-1
ghs 京公网安备 11010802042870号
Book学术文献互助
Book学术文献互助群
群 号:604180095
Book学术官方微信