成人多动症的反讽加工:来自眼球追踪和执行注意力任务的证据。

IF 2.2 3区 医学 Q2 PSYCHIATRY
Journal of Attention Disorders Pub Date : 2025-07-01 Epub Date: 2025-04-25 DOI:10.1177/10870547251333819
Marianna Kyriacou, Cecilie Rummelhoff, Franziska Köder
{"title":"成人多动症的反讽加工:来自眼球追踪和执行注意力任务的证据。","authors":"Marianna Kyriacou, Cecilie Rummelhoff, Franziska Köder","doi":"10.1177/10870547251333819","DOIUrl":null,"url":null,"abstract":"<p><strong>Objective: </strong>ADHD is a neurodevelopmental disorder that impacts pragmatic communication abilities in children, including their understanding of verbal irony. This study aims to investigate whether adults with ADHD experience similar challenges in interpreting ironic statements, and to examine the role of executive attention abilities in accounting for any observed differences.</p><p><strong>Methods: </strong>52 adults with ADHD and 55 neurotypical controls participated in an eye-tracking experiment. They read stories that included either literal or ironic statements and answered targeted comprehension questions. We used measures of working memory and fluid intelligence as independent indices of executive attention.</p><p><strong>Results: </strong>The results showed that adults with ADHD were as accurate as the control group in comprehending irony. However, they experienced an additional processing cost, indicated by increased reading times for ironic statements. While fluid intelligence improved comprehension accuracy in the control group, it did not have the same effect for participants with ADHD. Importantly, higher working memory capacity in adults with ADHD was associated with faster processing times, making their irony processing comparable to that of the control group.</p><p><strong>Conclusion: </strong>Our findings underscore the subtle challenges adults with ADHD face in processing irony and highlight the crucial role of working memory in enhancing performance. These insights stress the importance of considering individual cognitive capacities and their interaction with ADHD symptoms to better understand how ADHD impacts pragmatic abilities in adulthood.</p>","PeriodicalId":15237,"journal":{"name":"Journal of Attention Disorders","volume":" ","pages":"724-744"},"PeriodicalIF":2.2000,"publicationDate":"2025-07-01","publicationTypes":"Journal Article","fieldsOfStudy":null,"isOpenAccess":false,"openAccessPdf":"https://www.ncbi.nlm.nih.gov/pmc/articles/PMC12145479/pdf/","citationCount":"0","resultStr":"{\"title\":\"Irony Processing in Adults with ADHD: Evidence From Eye-Tracking and Executive Attention Tasks.\",\"authors\":\"Marianna Kyriacou, Cecilie Rummelhoff, Franziska Köder\",\"doi\":\"10.1177/10870547251333819\",\"DOIUrl\":null,\"url\":null,\"abstract\":\"<p><strong>Objective: </strong>ADHD is a neurodevelopmental disorder that impacts pragmatic communication abilities in children, including their understanding of verbal irony. This study aims to investigate whether adults with ADHD experience similar challenges in interpreting ironic statements, and to examine the role of executive attention abilities in accounting for any observed differences.</p><p><strong>Methods: </strong>52 adults with ADHD and 55 neurotypical controls participated in an eye-tracking experiment. They read stories that included either literal or ironic statements and answered targeted comprehension questions. We used measures of working memory and fluid intelligence as independent indices of executive attention.</p><p><strong>Results: </strong>The results showed that adults with ADHD were as accurate as the control group in comprehending irony. However, they experienced an additional processing cost, indicated by increased reading times for ironic statements. While fluid intelligence improved comprehension accuracy in the control group, it did not have the same effect for participants with ADHD. Importantly, higher working memory capacity in adults with ADHD was associated with faster processing times, making their irony processing comparable to that of the control group.</p><p><strong>Conclusion: </strong>Our findings underscore the subtle challenges adults with ADHD face in processing irony and highlight the crucial role of working memory in enhancing performance. These insights stress the importance of considering individual cognitive capacities and their interaction with ADHD symptoms to better understand how ADHD impacts pragmatic abilities in adulthood.</p>\",\"PeriodicalId\":15237,\"journal\":{\"name\":\"Journal of Attention Disorders\",\"volume\":\" \",\"pages\":\"724-744\"},\"PeriodicalIF\":2.2000,\"publicationDate\":\"2025-07-01\",\"publicationTypes\":\"Journal Article\",\"fieldsOfStudy\":null,\"isOpenAccess\":false,\"openAccessPdf\":\"https://www.ncbi.nlm.nih.gov/pmc/articles/PMC12145479/pdf/\",\"citationCount\":\"0\",\"resultStr\":null,\"platform\":\"Semanticscholar\",\"paperid\":null,\"PeriodicalName\":\"Journal of Attention Disorders\",\"FirstCategoryId\":\"3\",\"ListUrlMain\":\"https://doi.org/10.1177/10870547251333819\",\"RegionNum\":3,\"RegionCategory\":\"医学\",\"ArticlePicture\":[],\"TitleCN\":null,\"AbstractTextCN\":null,\"PMCID\":null,\"EPubDate\":\"2025/4/25 0:00:00\",\"PubModel\":\"Epub\",\"JCR\":\"Q2\",\"JCRName\":\"PSYCHIATRY\",\"Score\":null,\"Total\":0}","platform":"Semanticscholar","paperid":null,"PeriodicalName":"Journal of Attention Disorders","FirstCategoryId":"3","ListUrlMain":"https://doi.org/10.1177/10870547251333819","RegionNum":3,"RegionCategory":"医学","ArticlePicture":[],"TitleCN":null,"AbstractTextCN":null,"PMCID":null,"EPubDate":"2025/4/25 0:00:00","PubModel":"Epub","JCR":"Q2","JCRName":"PSYCHIATRY","Score":null,"Total":0}
引用次数: 0

摘要

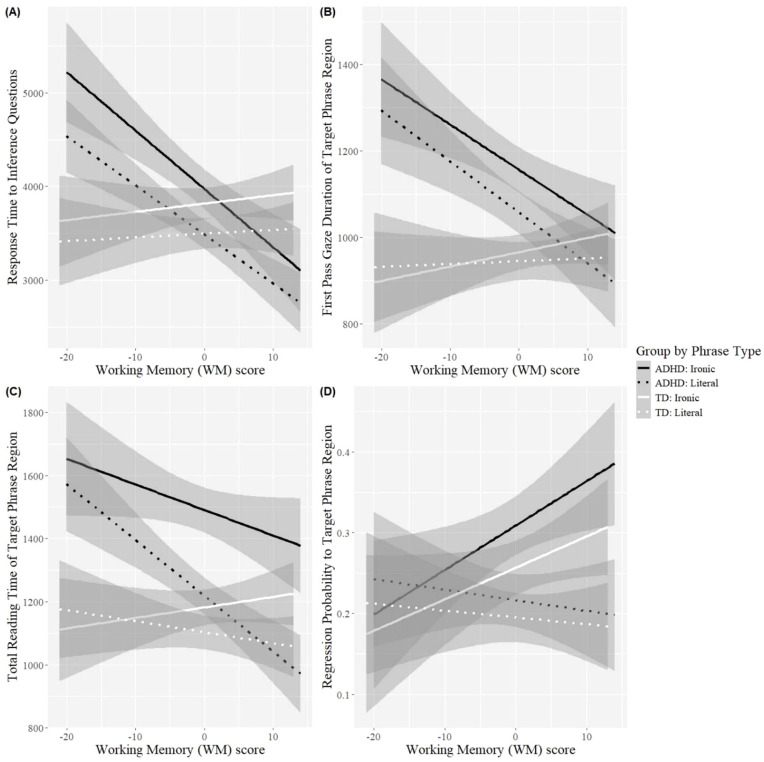
目的:ADHD是一种影响儿童语用交际能力的神经发育障碍,包括对言语反讽的理解。本研究旨在调查患有ADHD的成年人是否在解释讽刺语句时遇到类似的挑战,并检查执行注意力能力在解释任何观察到的差异中的作用。方法:52名成人ADHD患者和55名正常对照组进行眼动追踪实验。他们阅读包含字面或讽刺语句的故事,并回答有针对性的理解问题。我们使用工作记忆和流体智力作为执行注意力的独立指标。结果:ADHD成人对反语的理解准确率与对照组相当。然而,他们经历了额外的处理成本,这表现在讽刺语句的阅读时间增加。虽然流体智力提高了对照组的理解准确性,但对多动症参与者却没有同样的效果。重要的是,患有多动症的成年人的工作记忆容量越大,处理时间越快,这使得他们的反讽处理时间与对照组相当。结论:我们的研究结果强调了ADHD成人在处理讽刺语时面临的微妙挑战,并强调了工作记忆在提高表现中的关键作用。这些见解强调了考虑个体认知能力及其与ADHD症状的相互作用的重要性,以便更好地了解ADHD如何影响成年期的实用能力。
本文章由计算机程序翻译,如有差异,请以英文原文为准。

Irony Processing in Adults with ADHD: Evidence From Eye-Tracking and Executive Attention Tasks.

Irony Processing in Adults with ADHD: Evidence From Eye-Tracking and Executive Attention Tasks.

Irony Processing in Adults with ADHD: Evidence From Eye-Tracking and Executive Attention Tasks.

Irony Processing in Adults with ADHD: Evidence From Eye-Tracking and Executive Attention Tasks.

Objective: ADHD is a neurodevelopmental disorder that impacts pragmatic communication abilities in children, including their understanding of verbal irony. This study aims to investigate whether adults with ADHD experience similar challenges in interpreting ironic statements, and to examine the role of executive attention abilities in accounting for any observed differences.

Methods: 52 adults with ADHD and 55 neurotypical controls participated in an eye-tracking experiment. They read stories that included either literal or ironic statements and answered targeted comprehension questions. We used measures of working memory and fluid intelligence as independent indices of executive attention.

Results: The results showed that adults with ADHD were as accurate as the control group in comprehending irony. However, they experienced an additional processing cost, indicated by increased reading times for ironic statements. While fluid intelligence improved comprehension accuracy in the control group, it did not have the same effect for participants with ADHD. Importantly, higher working memory capacity in adults with ADHD was associated with faster processing times, making their irony processing comparable to that of the control group.

Conclusion: Our findings underscore the subtle challenges adults with ADHD face in processing irony and highlight the crucial role of working memory in enhancing performance. These insights stress the importance of considering individual cognitive capacities and their interaction with ADHD symptoms to better understand how ADHD impacts pragmatic abilities in adulthood.

求助全文
通过发布文献求助,成功后即可免费获取论文全文。 去求助
来源期刊
CiteScore
7.60
自引率
6.70%
发文量
71
审稿时长
6-12 weeks
期刊介绍: Journal of Attention Disorders (JAD) focuses on basic and applied science concerning attention and related functions in children, adolescents, and adults. JAD publishes articles on diagnosis, comorbidity, neuropsychological functioning, psychopharmacology, and psychosocial issues. The journal also addresses practice, policy, and theory, as well as review articles, commentaries, in-depth analyses, empirical research articles, and case presentations or program evaluations.
×
引用
GB/T 7714-2015
复制
MLA
复制
APA
复制
导出至
BibTeX EndNote RefMan NoteFirst NoteExpress
×
提示
您的信息不完整,为了账户安全,请先补充。
现在去补充
×
提示
您因"违规操作"
具体请查看互助需知
我知道了
×
提示
确定
请完成安全验证×
copy
已复制链接
快去分享给好友吧!
我知道了
右上角分享
点击右上角分享
0
联系我们:info@booksci.cn Book学术提供免费学术资源搜索服务,方便国内外学者检索中英文文献。致力于提供最便捷和优质的服务体验。 Copyright © 2023 布克学术 All rights reserved.
京ICP备2023020795号-1
ghs 京公网安备 11010802042870号
Book学术文献互助
Book学术文献互助群
群 号:604180095
Book学术官方微信