睡眠持续时间和时间的变化:一个客观的睡眠追踪器对7300万个夜晚进行了分析,发现工作日和季节的睡眠变化很常见。

IF 4.9 2区 医学 Q1 Medicine
Sleep Pub Date : 2025-09-09 DOI:10.1093/sleep/zsaf099
Hannah Scott, Bastien Lechat, Kelly Sansom, Lucia Pinilla, Jack Manners, Andrew J K Phillips, Duc Phuc Nguyen, Sebastien Bailly, Jean-Louis Pepin, Pierre Escourrou, Ganesh Naik, Peter Catcheside, Danny J Eckert
{"title":"睡眠持续时间和时间的变化:一个客观的睡眠追踪器对7300万个夜晚进行了分析,发现工作日和季节的睡眠变化很常见。","authors":"Hannah Scott, Bastien Lechat, Kelly Sansom, Lucia Pinilla, Jack Manners, Andrew J K Phillips, Duc Phuc Nguyen, Sebastien Bailly, Jean-Louis Pepin, Pierre Escourrou, Ganesh Naik, Peter Catcheside, Danny J Eckert","doi":"10.1093/sleep/zsaf099","DOIUrl":null,"url":null,"abstract":"<p><strong>Study objectives: </strong>Irregular sleep is a major risk factor for adverse health. In a global sample with technology-enabled long-term objective sleep data spanning 3.5 years, we investigated variability in sleep duration and timing over weekdays, months, seasons, and years.</p><p><strong>Methods: </strong>Registered users of an FDA-cleared under-mattress sleep sensor who had ≥28 nights of sleep recordings and averaged ≥4 nights per/week between January 2020 and September 2023 were included for analyses. Generalized nonlinear fixed effects models were used to assess associations between sleep duration and sleep timing with weekday, month, season, and year. Sub-group analyses were conducted by age, sex, and location.</p><p><strong>Results: </strong>Data from 116 879 adults (90 333 males, 26 546 females) aged 49 ± 14 years were analyzed. Weekday variation was observed, with 20-35 minutes longer sleep duration on weekends versus weekdays. Time to bed and time out of bed were 30-40 minutes and 60-80 minutes later on weekends, respectively. Seasonal variation in sleep duration was also evident; sleep duration was 15-20 minutes longer during winter in the northern hemisphere, 15-20 minutes shorter during summer in the southern hemisphere, and variations reduced closer to the equator. Sleep duration decreased from 2020 to 2023 but the effect was small (2.5 minutes).</p><p><strong>Conclusions: </strong>These novel findings underscore the seasonal nature of human sleep, influenced by demographics and geography.</p>","PeriodicalId":22018,"journal":{"name":"Sleep","volume":" ","pages":""},"PeriodicalIF":4.9000,"publicationDate":"2025-09-09","publicationTypes":"Journal Article","fieldsOfStudy":null,"isOpenAccess":false,"openAccessPdf":"https://www.ncbi.nlm.nih.gov/pmc/articles/PMC12417015/pdf/","citationCount":"0","resultStr":"{\"title\":\"Variations in sleep duration and timing: weekday and seasonal variations in sleep are common in an analysis of 73 million nights from an objective sleep tracker.\",\"authors\":\"Hannah Scott, Bastien Lechat, Kelly Sansom, Lucia Pinilla, Jack Manners, Andrew J K Phillips, Duc Phuc Nguyen, Sebastien Bailly, Jean-Louis Pepin, Pierre Escourrou, Ganesh Naik, Peter Catcheside, Danny J Eckert\",\"doi\":\"10.1093/sleep/zsaf099\",\"DOIUrl\":null,\"url\":null,\"abstract\":\"<p><strong>Study objectives: </strong>Irregular sleep is a major risk factor for adverse health. In a global sample with technology-enabled long-term objective sleep data spanning 3.5 years, we investigated variability in sleep duration and timing over weekdays, months, seasons, and years.</p><p><strong>Methods: </strong>Registered users of an FDA-cleared under-mattress sleep sensor who had ≥28 nights of sleep recordings and averaged ≥4 nights per/week between January 2020 and September 2023 were included for analyses. Generalized nonlinear fixed effects models were used to assess associations between sleep duration and sleep timing with weekday, month, season, and year. Sub-group analyses were conducted by age, sex, and location.</p><p><strong>Results: </strong>Data from 116 879 adults (90 333 males, 26 546 females) aged 49 ± 14 years were analyzed. Weekday variation was observed, with 20-35 minutes longer sleep duration on weekends versus weekdays. Time to bed and time out of bed were 30-40 minutes and 60-80 minutes later on weekends, respectively. Seasonal variation in sleep duration was also evident; sleep duration was 15-20 minutes longer during winter in the northern hemisphere, 15-20 minutes shorter during summer in the southern hemisphere, and variations reduced closer to the equator. Sleep duration decreased from 2020 to 2023 but the effect was small (2.5 minutes).</p><p><strong>Conclusions: </strong>These novel findings underscore the seasonal nature of human sleep, influenced by demographics and geography.</p>\",\"PeriodicalId\":22018,\"journal\":{\"name\":\"Sleep\",\"volume\":\" \",\"pages\":\"\"},\"PeriodicalIF\":4.9000,\"publicationDate\":\"2025-09-09\",\"publicationTypes\":\"Journal Article\",\"fieldsOfStudy\":null,\"isOpenAccess\":false,\"openAccessPdf\":\"https://www.ncbi.nlm.nih.gov/pmc/articles/PMC12417015/pdf/\",\"citationCount\":\"0\",\"resultStr\":null,\"platform\":\"Semanticscholar\",\"paperid\":null,\"PeriodicalName\":\"Sleep\",\"FirstCategoryId\":\"3\",\"ListUrlMain\":\"https://doi.org/10.1093/sleep/zsaf099\",\"RegionNum\":2,\"RegionCategory\":\"医学\",\"ArticlePicture\":[],\"TitleCN\":null,\"AbstractTextCN\":null,\"PMCID\":null,\"EPubDate\":\"\",\"PubModel\":\"\",\"JCR\":\"Q1\",\"JCRName\":\"Medicine\",\"Score\":null,\"Total\":0}","platform":"Semanticscholar","paperid":null,"PeriodicalName":"Sleep","FirstCategoryId":"3","ListUrlMain":"https://doi.org/10.1093/sleep/zsaf099","RegionNum":2,"RegionCategory":"医学","ArticlePicture":[],"TitleCN":null,"AbstractTextCN":null,"PMCID":null,"EPubDate":"","PubModel":"","JCR":"Q1","JCRName":"Medicine","Score":null,"Total":0}
引用次数: 0

摘要

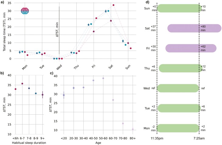
研究目的:不规律的睡眠是对健康不利的主要危险因素。在一个全球样本中,我们使用了3.5年的长期客观睡眠数据,研究了工作日、月份、季节和年份的睡眠持续时间和时间的变化。方法:纳入fda批准的床垫下睡眠传感器的注册用户,这些用户在2020年1月至2023年9月期间有≥28晚的睡眠记录,平均每周≥4晚。广义非线性混合模型用于评估睡眠持续时间和睡眠时间与工作日、月份、季节和年份之间的关系。按年龄、性别和地点进行亚组分析。结果:分析了年龄49±14岁的116,879名成年人(男性90,333名,女性26,546名)的数据。观察到工作日的变化,周末的睡眠时间比工作日长20-35分钟。周末睡觉时间和起床时间分别晚30-40分钟和60-80分钟。睡眠时间的季节性变化也很明显;北半球冬季的睡眠时间长15-20分钟,南半球夏季的睡眠时间短15-20分钟,在靠近赤道的地方变化较小。从2020年到2023年,睡眠时间有所减少,但影响很小(2.5分钟)。结论:这些新发现强调了人类睡眠的季节性,受人口和地理因素的影响。
本文章由计算机程序翻译,如有差异,请以英文原文为准。

Variations in sleep duration and timing: weekday and seasonal variations in sleep are common in an analysis of 73 million nights from an objective sleep tracker.

Variations in sleep duration and timing: weekday and seasonal variations in sleep are common in an analysis of 73 million nights from an objective sleep tracker.

Variations in sleep duration and timing: weekday and seasonal variations in sleep are common in an analysis of 73 million nights from an objective sleep tracker.

Variations in sleep duration and timing: weekday and seasonal variations in sleep are common in an analysis of 73 million nights from an objective sleep tracker.

Study objectives: Irregular sleep is a major risk factor for adverse health. In a global sample with technology-enabled long-term objective sleep data spanning 3.5 years, we investigated variability in sleep duration and timing over weekdays, months, seasons, and years.

Methods: Registered users of an FDA-cleared under-mattress sleep sensor who had ≥28 nights of sleep recordings and averaged ≥4 nights per/week between January 2020 and September 2023 were included for analyses. Generalized nonlinear fixed effects models were used to assess associations between sleep duration and sleep timing with weekday, month, season, and year. Sub-group analyses were conducted by age, sex, and location.

Results: Data from 116 879 adults (90 333 males, 26 546 females) aged 49 ± 14 years were analyzed. Weekday variation was observed, with 20-35 minutes longer sleep duration on weekends versus weekdays. Time to bed and time out of bed were 30-40 minutes and 60-80 minutes later on weekends, respectively. Seasonal variation in sleep duration was also evident; sleep duration was 15-20 minutes longer during winter in the northern hemisphere, 15-20 minutes shorter during summer in the southern hemisphere, and variations reduced closer to the equator. Sleep duration decreased from 2020 to 2023 but the effect was small (2.5 minutes).

Conclusions: These novel findings underscore the seasonal nature of human sleep, influenced by demographics and geography.

求助全文
通过发布文献求助,成功后即可免费获取论文全文。 去求助
来源期刊
Sleep
Sleep Medicine-Neurology (clinical)
CiteScore
8.70
自引率
10.70%
发文量
0
期刊介绍: SLEEP® publishes findings from studies conducted at any level of analysis, including: Genes Molecules Cells Physiology Neural systems and circuits Behavior and cognition Self-report SLEEP® publishes articles that use a wide variety of scientific approaches and address a broad range of topics. These may include, but are not limited to: Basic and neuroscience studies of sleep and circadian mechanisms In vitro and animal models of sleep, circadian rhythms, and human disorders Pre-clinical human investigations, including the measurement and manipulation of sleep and circadian rhythms Studies in clinical or population samples. These may address factors influencing sleep and circadian rhythms (e.g., development and aging, and social and environmental influences) and relationships between sleep, circadian rhythms, health, and disease Clinical trials, epidemiology studies, implementation, and dissemination research.
×
引用
GB/T 7714-2015
复制
MLA
复制
APA
复制
导出至
BibTeX EndNote RefMan NoteFirst NoteExpress
×
提示
您的信息不完整,为了账户安全,请先补充。
现在去补充
×
提示
您因"违规操作"
具体请查看互助需知
我知道了
×
提示
确定
请完成安全验证×
copy
已复制链接
快去分享给好友吧!
我知道了
右上角分享
点击右上角分享
0
联系我们:info@booksci.cn Book学术提供免费学术资源搜索服务,方便国内外学者检索中英文文献。致力于提供最便捷和优质的服务体验。 Copyright © 2023 布克学术 All rights reserved.
京ICP备2023020795号-1
ghs 京公网安备 11010802042870号
Book学术文献互助
Book学术文献互助群
群 号:604180095
Book学术官方微信