大蒜种子丁香AsNAC基因对高汞浓度的响应。

IF 3.1 Q3 BIOTECHNOLOGY & APPLIED MICROBIOLOGY
BioTech Pub Date : 2025-04-08 DOI:10.3390/biotech14020027
Brenda Mendoza-Almanza, María de la Luz Guerrero-González, Marcos Loredo-Tovias, María Elena García-Arreola, Catarina Loredo-Osti, Erika Padilla-Ortega, Pablo Delgado-Sánchez
{"title":"大蒜种子丁香AsNAC基因对高汞浓度的响应。","authors":"Brenda Mendoza-Almanza, María de la Luz Guerrero-González, Marcos Loredo-Tovias, María Elena García-Arreola, Catarina Loredo-Osti, Erika Padilla-Ortega, Pablo Delgado-Sánchez","doi":"10.3390/biotech14020027","DOIUrl":null,"url":null,"abstract":"<p><p>Heavy metal contamination in soils is a growing concern due to anthropogenic activities, and <i>Allium sativum</i> (garlic) has shown tolerance to mercury pollution. We analyzed the physiological and molecular responses of garlic cloves exposed to HgCl<sub>2</sub> at 0, 5000, 23,000, and 46,000 mg/kg for 2, 3, and 4 h. The germination percentage was lower than 46,000 mg/kg Hg for 4 h. We also analyzed the expression levels of <i>NAC</i> transcription factors and found that <i>AsNAC11</i> had higher expression at 46,000 mg/kg at 2 h; <i>AsNAC17</i> was underexpressed and the maximum was at 2 h at 23,000 mg/kg. <i>AsNAC20</i> had the highest expression (30 times more than the control) at 3 and 4 h with 23,000 mg/Kg. <i>AsNAC27</i> showed the highest expression at 3 h with 23,000 mg/kg. The tissues exhibited a maximum Hg bioconcentration factor of 0.037 at 23,000 mg/kg, indicating moderate mercury absorption. However, at a concentration of 46,000 mg/kg, the BCF decreased to 0.023. Our in-silico analysis revealed that the analyzed <i>AsNACs</i> are associated with various abiotic stress responses. This study provides valuable insights into genes that could be utilized for genetic improvement to enhance crop resistance to mercury soil contamination.</p>","PeriodicalId":34490,"journal":{"name":"BioTech","volume":"14 2","pages":""},"PeriodicalIF":3.1000,"publicationDate":"2025-04-08","publicationTypes":"Journal Article","fieldsOfStudy":null,"isOpenAccess":false,"openAccessPdf":"https://www.ncbi.nlm.nih.gov/pmc/articles/PMC12015881/pdf/","citationCount":"0","resultStr":"{\"title\":\"<i>AsNAC</i> Genes: Response to High Mercury Concentrations in <i>Allium sativum</i> Seed Clove.\",\"authors\":\"Brenda Mendoza-Almanza, María de la Luz Guerrero-González, Marcos Loredo-Tovias, María Elena García-Arreola, Catarina Loredo-Osti, Erika Padilla-Ortega, Pablo Delgado-Sánchez\",\"doi\":\"10.3390/biotech14020027\",\"DOIUrl\":null,\"url\":null,\"abstract\":\"<p><p>Heavy metal contamination in soils is a growing concern due to anthropogenic activities, and <i>Allium sativum</i> (garlic) has shown tolerance to mercury pollution. We analyzed the physiological and molecular responses of garlic cloves exposed to HgCl<sub>2</sub> at 0, 5000, 23,000, and 46,000 mg/kg for 2, 3, and 4 h. The germination percentage was lower than 46,000 mg/kg Hg for 4 h. We also analyzed the expression levels of <i>NAC</i> transcription factors and found that <i>AsNAC11</i> had higher expression at 46,000 mg/kg at 2 h; <i>AsNAC17</i> was underexpressed and the maximum was at 2 h at 23,000 mg/kg. <i>AsNAC20</i> had the highest expression (30 times more than the control) at 3 and 4 h with 23,000 mg/Kg. <i>AsNAC27</i> showed the highest expression at 3 h with 23,000 mg/kg. The tissues exhibited a maximum Hg bioconcentration factor of 0.037 at 23,000 mg/kg, indicating moderate mercury absorption. However, at a concentration of 46,000 mg/kg, the BCF decreased to 0.023. Our in-silico analysis revealed that the analyzed <i>AsNACs</i> are associated with various abiotic stress responses. This study provides valuable insights into genes that could be utilized for genetic improvement to enhance crop resistance to mercury soil contamination.</p>\",\"PeriodicalId\":34490,\"journal\":{\"name\":\"BioTech\",\"volume\":\"14 2\",\"pages\":\"\"},\"PeriodicalIF\":3.1000,\"publicationDate\":\"2025-04-08\",\"publicationTypes\":\"Journal Article\",\"fieldsOfStudy\":null,\"isOpenAccess\":false,\"openAccessPdf\":\"https://www.ncbi.nlm.nih.gov/pmc/articles/PMC12015881/pdf/\",\"citationCount\":\"0\",\"resultStr\":null,\"platform\":\"Semanticscholar\",\"paperid\":null,\"PeriodicalName\":\"BioTech\",\"FirstCategoryId\":\"1085\",\"ListUrlMain\":\"https://doi.org/10.3390/biotech14020027\",\"RegionNum\":0,\"RegionCategory\":null,\"ArticlePicture\":[],\"TitleCN\":null,\"AbstractTextCN\":null,\"PMCID\":null,\"EPubDate\":\"\",\"PubModel\":\"\",\"JCR\":\"Q3\",\"JCRName\":\"BIOTECHNOLOGY & APPLIED MICROBIOLOGY\",\"Score\":null,\"Total\":0}","platform":"Semanticscholar","paperid":null,"PeriodicalName":"BioTech","FirstCategoryId":"1085","ListUrlMain":"https://doi.org/10.3390/biotech14020027","RegionNum":0,"RegionCategory":null,"ArticlePicture":[],"TitleCN":null,"AbstractTextCN":null,"PMCID":null,"EPubDate":"","PubModel":"","JCR":"Q3","JCRName":"BIOTECHNOLOGY & APPLIED MICROBIOLOGY","Score":null,"Total":0}
引用次数: 0

摘要

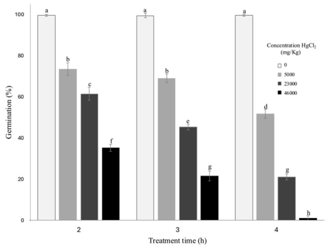
由于人为活动,土壤中的重金属污染日益受到关注,而大蒜对汞污染表现出耐受性。我们分析了0、5000、23,000和46,000 mg/kg HgCl2对大蒜2、3和4 h的生理和分子反应,结果表明,4 h的发芽率低于46,000 mg/kg Hg。我们还分析了NAC转录因子的表达水平,发现AsNAC11在46,000 mg/kg HgCl2 h的表达较高;AsNAC17表达过低,在23000 mg/kg浓度下2 h表达量最大。AsNAC20以23000 mg/Kg的浓度在第3和4 h表达量最高,是对照的30倍。AsNAC27在3 h表达量最高,为23000 mg/kg。在23,000 mg/kg浓度下,组织汞的最大生物富集系数为0.037,表明汞吸收适中。而在浓度为46,000 mg/kg时,BCF降至0.023。我们的芯片分析显示,分析的asnac与各种非生物应激反应有关。该研究为基因改良提供了有价值的见解,可用于提高作物对土壤汞污染的抗性。
本文章由计算机程序翻译,如有差异,请以英文原文为准。

<i>AsNAC</i> Genes: Response to High Mercury Concentrations in <i>Allium sativum</i> Seed Clove.

<i>AsNAC</i> Genes: Response to High Mercury Concentrations in <i>Allium sativum</i> Seed Clove.

<i>AsNAC</i> Genes: Response to High Mercury Concentrations in <i>Allium sativum</i> Seed Clove.

AsNAC Genes: Response to High Mercury Concentrations in Allium sativum Seed Clove.

Heavy metal contamination in soils is a growing concern due to anthropogenic activities, and Allium sativum (garlic) has shown tolerance to mercury pollution. We analyzed the physiological and molecular responses of garlic cloves exposed to HgCl2 at 0, 5000, 23,000, and 46,000 mg/kg for 2, 3, and 4 h. The germination percentage was lower than 46,000 mg/kg Hg for 4 h. We also analyzed the expression levels of NAC transcription factors and found that AsNAC11 had higher expression at 46,000 mg/kg at 2 h; AsNAC17 was underexpressed and the maximum was at 2 h at 23,000 mg/kg. AsNAC20 had the highest expression (30 times more than the control) at 3 and 4 h with 23,000 mg/Kg. AsNAC27 showed the highest expression at 3 h with 23,000 mg/kg. The tissues exhibited a maximum Hg bioconcentration factor of 0.037 at 23,000 mg/kg, indicating moderate mercury absorption. However, at a concentration of 46,000 mg/kg, the BCF decreased to 0.023. Our in-silico analysis revealed that the analyzed AsNACs are associated with various abiotic stress responses. This study provides valuable insights into genes that could be utilized for genetic improvement to enhance crop resistance to mercury soil contamination.

求助全文
通过发布文献求助,成功后即可免费获取论文全文。 去求助
来源期刊
BioTech
BioTech Immunology and Microbiology-Applied Microbiology and Biotechnology
CiteScore
3.70
自引率
0.00%
发文量
51
审稿时长
11 weeks
×
引用
GB/T 7714-2015
复制
MLA
复制
APA
复制
导出至
BibTeX EndNote RefMan NoteFirst NoteExpress
×
提示
您的信息不完整,为了账户安全,请先补充。
现在去补充
×
提示
您因"违规操作"
具体请查看互助需知
我知道了
×
提示
确定
请完成安全验证×
copy
已复制链接
快去分享给好友吧!
我知道了
右上角分享
点击右上角分享
0
联系我们:info@booksci.cn Book学术提供免费学术资源搜索服务,方便国内外学者检索中英文文献。致力于提供最便捷和优质的服务体验。 Copyright © 2023 布克学术 All rights reserved.
京ICP备2023020795号-1
ghs 京公网安备 11010802042870号
Book学术文献互助
Book学术文献互助群
群 号:604180095
Book学术官方微信