在南非样本中探索颅面波动不对称。

IF 1.9 3区 医学 Q2 ANATOMY & MORPHOLOGY
Miksha Harripershad, Leandi Liebenberg, Alison F. Ridel, Charlotte E. G. Theye
{"title":"在南非样本中探索颅面波动不对称。","authors":"Miksha Harripershad,&nbsp;Leandi Liebenberg,&nbsp;Alison F. Ridel,&nbsp;Charlotte E. G. Theye","doi":"10.1111/joa.14256","DOIUrl":null,"url":null,"abstract":"<p>Biological anthropologists have extensively investigated the relationship between fluctuating asymmetry (FA) and its association with population history and health. However, in South Africa, few studies have been done on skeletal asymmetry and its potential impact on anthropological analyses. The study aimed to examine craniofacial asymmetry within a contemporary South African population, specifically focusing on the association between FA, sex, and population affinity. The sample consisted of cranial micro-focus X-ray computed tomography scans (micro-XCT) from 115 adult individuals. Craniometric landmarks were placed and used to calculate inter-landmark distances (ILDs) to assess size variation, and geometric morphometric methods (GMMs) were performed to assess asymmetrical shape variation. Additionally, two indices assessing FA (FA8 and FA17) were calculated from the left and right ILDs to further explore patterns of asymmetry for various regions of the cranium. Asymmetry was particularly apparent in females and black South Africans, which is consistent with reports in the literature. Significant levels of FA were noted in the nasal and temporal regions, more so for shape than size. While asymmetry potentially may have a minimal influence on biological profile estimations based on craniometry, biological anthropologists should have an understanding of the consequences asymmetry may have on skeletal elements or traits being employed on an individual basis.</p>","PeriodicalId":14971,"journal":{"name":"Journal of Anatomy","volume":"247 2","pages":"314-334"},"PeriodicalIF":1.9000,"publicationDate":"2025-04-23","publicationTypes":"Journal Article","fieldsOfStudy":null,"isOpenAccess":false,"openAccessPdf":"https://onlinelibrary.wiley.com/doi/epdf/10.1111/joa.14256","citationCount":"0","resultStr":"{\"title\":\"Exploring craniofacial fluctuating asymmetry in a South African sample\",\"authors\":\"Miksha Harripershad,&nbsp;Leandi Liebenberg,&nbsp;Alison F. Ridel,&nbsp;Charlotte E. G. Theye\",\"doi\":\"10.1111/joa.14256\",\"DOIUrl\":null,\"url\":null,\"abstract\":\"<p>Biological anthropologists have extensively investigated the relationship between fluctuating asymmetry (FA) and its association with population history and health. However, in South Africa, few studies have been done on skeletal asymmetry and its potential impact on anthropological analyses. The study aimed to examine craniofacial asymmetry within a contemporary South African population, specifically focusing on the association between FA, sex, and population affinity. The sample consisted of cranial micro-focus X-ray computed tomography scans (micro-XCT) from 115 adult individuals. Craniometric landmarks were placed and used to calculate inter-landmark distances (ILDs) to assess size variation, and geometric morphometric methods (GMMs) were performed to assess asymmetrical shape variation. Additionally, two indices assessing FA (FA8 and FA17) were calculated from the left and right ILDs to further explore patterns of asymmetry for various regions of the cranium. Asymmetry was particularly apparent in females and black South Africans, which is consistent with reports in the literature. Significant levels of FA were noted in the nasal and temporal regions, more so for shape than size. While asymmetry potentially may have a minimal influence on biological profile estimations based on craniometry, biological anthropologists should have an understanding of the consequences asymmetry may have on skeletal elements or traits being employed on an individual basis.</p>\",\"PeriodicalId\":14971,\"journal\":{\"name\":\"Journal of Anatomy\",\"volume\":\"247 2\",\"pages\":\"314-334\"},\"PeriodicalIF\":1.9000,\"publicationDate\":\"2025-04-23\",\"publicationTypes\":\"Journal Article\",\"fieldsOfStudy\":null,\"isOpenAccess\":false,\"openAccessPdf\":\"https://onlinelibrary.wiley.com/doi/epdf/10.1111/joa.14256\",\"citationCount\":\"0\",\"resultStr\":null,\"platform\":\"Semanticscholar\",\"paperid\":null,\"PeriodicalName\":\"Journal of Anatomy\",\"FirstCategoryId\":\"3\",\"ListUrlMain\":\"https://onlinelibrary.wiley.com/doi/10.1111/joa.14256\",\"RegionNum\":3,\"RegionCategory\":\"医学\",\"ArticlePicture\":[],\"TitleCN\":null,\"AbstractTextCN\":null,\"PMCID\":null,\"EPubDate\":\"\",\"PubModel\":\"\",\"JCR\":\"Q2\",\"JCRName\":\"ANATOMY & MORPHOLOGY\",\"Score\":null,\"Total\":0}","platform":"Semanticscholar","paperid":null,"PeriodicalName":"Journal of Anatomy","FirstCategoryId":"3","ListUrlMain":"https://onlinelibrary.wiley.com/doi/10.1111/joa.14256","RegionNum":3,"RegionCategory":"医学","ArticlePicture":[],"TitleCN":null,"AbstractTextCN":null,"PMCID":null,"EPubDate":"","PubModel":"","JCR":"Q2","JCRName":"ANATOMY & MORPHOLOGY","Score":null,"Total":0}
引用次数: 0

摘要

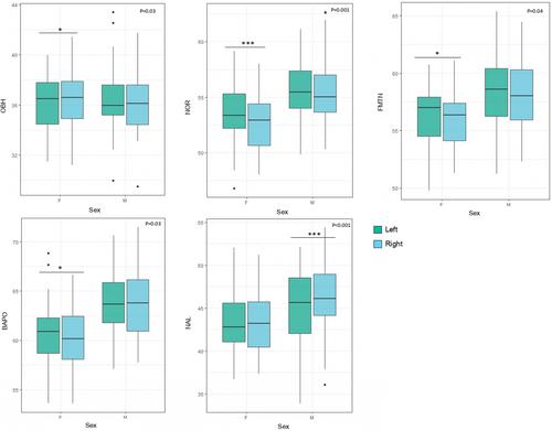
生物人类学家广泛研究了波动不对称(FA)及其与人口历史和健康之间的关系。然而,在南非,很少有关于骨骼不对称及其对人类学分析的潜在影响的研究。该研究旨在检查当代南非人群的颅面不对称,特别关注FA、性别和人群亲和力之间的关系。样本包括115名成年人的头颅微聚焦x射线计算机断层扫描(micro-XCT)。放置颅骨测量标记并使用计算标记间距离(ILDs)来评估大小变化,并使用几何形态测量方法(GMMs)来评估不对称形状变化。此外,从左、右ILDs计算两个评估FA的指标(FA8和FA17),以进一步探索颅骨各区域的不对称模式。这种不对称在女性和南非黑人中尤为明显,这与文献报道一致。显著水平的FA被注意到在鼻和颞区,更重要的是形状比大小。虽然不对称可能对基于颅骨测量的生物轮廓估计影响很小,但生物人类学家应该了解不对称对个体基础上使用的骨骼元素或特征可能产生的后果。
本文章由计算机程序翻译,如有差异,请以英文原文为准。

Exploring craniofacial fluctuating asymmetry in a South African sample

Exploring craniofacial fluctuating asymmetry in a South African sample

Biological anthropologists have extensively investigated the relationship between fluctuating asymmetry (FA) and its association with population history and health. However, in South Africa, few studies have been done on skeletal asymmetry and its potential impact on anthropological analyses. The study aimed to examine craniofacial asymmetry within a contemporary South African population, specifically focusing on the association between FA, sex, and population affinity. The sample consisted of cranial micro-focus X-ray computed tomography scans (micro-XCT) from 115 adult individuals. Craniometric landmarks were placed and used to calculate inter-landmark distances (ILDs) to assess size variation, and geometric morphometric methods (GMMs) were performed to assess asymmetrical shape variation. Additionally, two indices assessing FA (FA8 and FA17) were calculated from the left and right ILDs to further explore patterns of asymmetry for various regions of the cranium. Asymmetry was particularly apparent in females and black South Africans, which is consistent with reports in the literature. Significant levels of FA were noted in the nasal and temporal regions, more so for shape than size. While asymmetry potentially may have a minimal influence on biological profile estimations based on craniometry, biological anthropologists should have an understanding of the consequences asymmetry may have on skeletal elements or traits being employed on an individual basis.

求助全文
通过发布文献求助,成功后即可免费获取论文全文。 去求助
来源期刊
Journal of Anatomy
Journal of Anatomy 医学-解剖学与形态学
CiteScore
4.80
自引率
8.30%
发文量
183
审稿时长
4-8 weeks
期刊介绍: Journal of Anatomy is an international peer-reviewed journal sponsored by the Anatomical Society. The journal publishes original papers, invited review articles and book reviews. Its main focus is to understand anatomy through an analysis of structure, function, development and evolution. Priority will be given to studies of that clearly articulate their relevance to the anatomical community. Focal areas include: experimental studies, contributions based on molecular and cell biology and on the application of modern imaging techniques and papers with novel methods or synthetic perspective on an anatomical system. Studies that are essentially descriptive anatomy are appropriate only if they communicate clearly a broader functional or evolutionary significance. You must clearly state the broader implications of your work in the abstract. We particularly welcome submissions in the following areas: Cell biology and tissue architecture Comparative functional morphology Developmental biology Evolutionary developmental biology Evolutionary morphology Functional human anatomy Integrative vertebrate paleontology Methodological innovations in anatomical research Musculoskeletal system Neuroanatomy and neurodegeneration Significant advances in anatomical education.
×
引用
GB/T 7714-2015
复制
MLA
复制
APA
复制
导出至
BibTeX EndNote RefMan NoteFirst NoteExpress
×
提示
您的信息不完整,为了账户安全,请先补充。
现在去补充
×
提示
您因"违规操作"
具体请查看互助需知
我知道了
×
提示
确定
请完成安全验证×
copy
已复制链接
快去分享给好友吧!
我知道了
右上角分享
点击右上角分享
0
联系我们:info@booksci.cn Book学术提供免费学术资源搜索服务,方便国内外学者检索中英文文献。致力于提供最便捷和优质的服务体验。 Copyright © 2023 布克学术 All rights reserved.
京ICP备2023020795号-1
ghs 京公网安备 11010802042870号
Book学术文献互助
Book学术文献互助群
群 号:604180095
Book学术官方微信