日本原发性震颤的临床特征及其对生活质量的影响。

IF 2.1 Q2 CLINICAL NEUROLOGY
Tremor and Other Hyperkinetic Movements Pub Date : 2025-05-07 eCollection Date: 2025-01-01 DOI:10.5334/tohm.1006
Shohei Okusa, Toshiki Tezuka, Yoshihiro Nihei, Jin Nakahara, Morinobu Seki
{"title":"日本原发性震颤的临床特征及其对生活质量的影响。","authors":"Shohei Okusa, Toshiki Tezuka, Yoshihiro Nihei, Jin Nakahara, Morinobu Seki","doi":"10.5334/tohm.1006","DOIUrl":null,"url":null,"abstract":"<p><strong>Background: </strong>Essential tremor (ET) is primarily characterized by action tremor, but is also associated with various non-motor symptoms (NMS). However, the diagnostic relevance of NMS in ET remains unclear. This study aimed to compare NMS and motor symptoms of ET with those of Parkinson's disease-tremor dominant type (PD-TDT) and healthy controls (HCs) and to identify the presence and diagnostic relevance of NMS.</p><p><strong>Methods: </strong>Twenty-three ET patients, 23 PD-TDT patients, and 22 HCs were enrolled. Diagnoses of ET and PD were confirmed using Movement Disorder Society (MDS) criteria and Dopamine transporter single-photon emission computed tomography. Motor symptoms, NMS and quality of life (QOL) were evaluated using validated scales, including the Clinical Rating Scale for Tremor (CRST), MDS-Unified Parkinson's Disease Rating Scale (UPDRS), Non-Motor Symptoms Scale for Parkinson's Disease (NMSS), Odor Stick Identification Test for Japanese (OSIT-J), and Quality of Life in Essential Tremor Questionnaire (QUEST).</p><p><strong>Results: </strong>ET patients had significantly higher NMSS total scores and MDS-UPDRS part IB scores than HCs, with more severe sleep disturbances, fatigue, and urinary problems. CRST scores were significantly correlated with QUEST scores. Logistic regression identified CRST Part B and OSIT-J as key factors distinguishing ET from PD-TDT, with 87% sensitivity and 90% specificity.</p><p><strong>Discussion: </strong>ET patients showed more severe NMS than HCs. Differentiating ET from PD-TDT requires motor and sensory assessments, highlighting the diagnostic relevance of NMS. Comprehensive evaluation is essential for accurate diagnosis and management of ET.</p>","PeriodicalId":23317,"journal":{"name":"Tremor and Other Hyperkinetic Movements","volume":"15 ","pages":"21"},"PeriodicalIF":2.1000,"publicationDate":"2025-05-07","publicationTypes":"Journal Article","fieldsOfStudy":null,"isOpenAccess":false,"openAccessPdf":"https://www.ncbi.nlm.nih.gov/pmc/articles/PMC12063571/pdf/","citationCount":"0","resultStr":"{\"title\":\"Clinical Features of Essential Tremor and its Impact on Quality of Life in Japan.\",\"authors\":\"Shohei Okusa, Toshiki Tezuka, Yoshihiro Nihei, Jin Nakahara, Morinobu Seki\",\"doi\":\"10.5334/tohm.1006\",\"DOIUrl\":null,\"url\":null,\"abstract\":\"<p><strong>Background: </strong>Essential tremor (ET) is primarily characterized by action tremor, but is also associated with various non-motor symptoms (NMS). However, the diagnostic relevance of NMS in ET remains unclear. This study aimed to compare NMS and motor symptoms of ET with those of Parkinson's disease-tremor dominant type (PD-TDT) and healthy controls (HCs) and to identify the presence and diagnostic relevance of NMS.</p><p><strong>Methods: </strong>Twenty-three ET patients, 23 PD-TDT patients, and 22 HCs were enrolled. Diagnoses of ET and PD were confirmed using Movement Disorder Society (MDS) criteria and Dopamine transporter single-photon emission computed tomography. Motor symptoms, NMS and quality of life (QOL) were evaluated using validated scales, including the Clinical Rating Scale for Tremor (CRST), MDS-Unified Parkinson's Disease Rating Scale (UPDRS), Non-Motor Symptoms Scale for Parkinson's Disease (NMSS), Odor Stick Identification Test for Japanese (OSIT-J), and Quality of Life in Essential Tremor Questionnaire (QUEST).</p><p><strong>Results: </strong>ET patients had significantly higher NMSS total scores and MDS-UPDRS part IB scores than HCs, with more severe sleep disturbances, fatigue, and urinary problems. CRST scores were significantly correlated with QUEST scores. Logistic regression identified CRST Part B and OSIT-J as key factors distinguishing ET from PD-TDT, with 87% sensitivity and 90% specificity.</p><p><strong>Discussion: </strong>ET patients showed more severe NMS than HCs. Differentiating ET from PD-TDT requires motor and sensory assessments, highlighting the diagnostic relevance of NMS. Comprehensive evaluation is essential for accurate diagnosis and management of ET.</p>\",\"PeriodicalId\":23317,\"journal\":{\"name\":\"Tremor and Other Hyperkinetic Movements\",\"volume\":\"15 \",\"pages\":\"21\"},\"PeriodicalIF\":2.1000,\"publicationDate\":\"2025-05-07\",\"publicationTypes\":\"Journal Article\",\"fieldsOfStudy\":null,\"isOpenAccess\":false,\"openAccessPdf\":\"https://www.ncbi.nlm.nih.gov/pmc/articles/PMC12063571/pdf/\",\"citationCount\":\"0\",\"resultStr\":null,\"platform\":\"Semanticscholar\",\"paperid\":null,\"PeriodicalName\":\"Tremor and Other Hyperkinetic Movements\",\"FirstCategoryId\":\"1085\",\"ListUrlMain\":\"https://doi.org/10.5334/tohm.1006\",\"RegionNum\":0,\"RegionCategory\":null,\"ArticlePicture\":[],\"TitleCN\":null,\"AbstractTextCN\":null,\"PMCID\":null,\"EPubDate\":\"2025/1/1 0:00:00\",\"PubModel\":\"eCollection\",\"JCR\":\"Q2\",\"JCRName\":\"CLINICAL NEUROLOGY\",\"Score\":null,\"Total\":0}","platform":"Semanticscholar","paperid":null,"PeriodicalName":"Tremor and Other Hyperkinetic Movements","FirstCategoryId":"1085","ListUrlMain":"https://doi.org/10.5334/tohm.1006","RegionNum":0,"RegionCategory":null,"ArticlePicture":[],"TitleCN":null,"AbstractTextCN":null,"PMCID":null,"EPubDate":"2025/1/1 0:00:00","PubModel":"eCollection","JCR":"Q2","JCRName":"CLINICAL NEUROLOGY","Score":null,"Total":0}
引用次数: 0

摘要

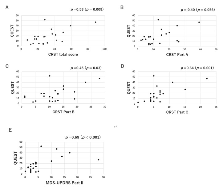
背景:特发性震颤(Essential tremor, ET)主要以行动性震颤为特征,但也与多种非运动症状(NMS)相关。然而,NMS在ET中的诊断意义尚不清楚。本研究旨在将ET的NMS和运动症状与帕金森病震颤显性型(PD-TDT)和健康对照(hc)的NMS和运动症状进行比较,并确定NMS的存在和诊断相关性。方法:入选ET患者23例,PD-TDT患者23例,hc患者22例。采用运动障碍学会(MDS)标准和多巴胺转运蛋白单光子发射计算机断层扫描确诊ET和PD。采用震颤临床评定量表(CRST)、mds -统一帕金森病评定量表(UPDRS)、帕金森病非运动症状量表(NMSS)、日本人气味棒识别测试(OSIT-J)、特质性震颤生活质量问卷(QUEST)等有效量表对运动症状、NMS和生活质量(QOL)进行评估。结果:ET患者的NMSS总分和MDS-UPDRS部分IB评分明显高于hc患者,且有更严重的睡眠障碍、疲劳和泌尿问题。CRST评分与QUEST评分显著相关。Logistic回归发现CRST Part B和OSIT-J是区分ET和PD-TDT的关键因素,敏感性为87%,特异性为90%。讨论:ET患者比hc患者表现出更严重的NMS。区分ET和PD-TDT需要运动和感觉评估,强调NMS的诊断相关性。综合评价是准确诊断和管理ET的必要条件。
本文章由计算机程序翻译,如有差异,请以英文原文为准。

Clinical Features of Essential Tremor and its Impact on Quality of Life in Japan.

Clinical Features of Essential Tremor and its Impact on Quality of Life in Japan.

Clinical Features of Essential Tremor and its Impact on Quality of Life in Japan.

Background: Essential tremor (ET) is primarily characterized by action tremor, but is also associated with various non-motor symptoms (NMS). However, the diagnostic relevance of NMS in ET remains unclear. This study aimed to compare NMS and motor symptoms of ET with those of Parkinson's disease-tremor dominant type (PD-TDT) and healthy controls (HCs) and to identify the presence and diagnostic relevance of NMS.

Methods: Twenty-three ET patients, 23 PD-TDT patients, and 22 HCs were enrolled. Diagnoses of ET and PD were confirmed using Movement Disorder Society (MDS) criteria and Dopamine transporter single-photon emission computed tomography. Motor symptoms, NMS and quality of life (QOL) were evaluated using validated scales, including the Clinical Rating Scale for Tremor (CRST), MDS-Unified Parkinson's Disease Rating Scale (UPDRS), Non-Motor Symptoms Scale for Parkinson's Disease (NMSS), Odor Stick Identification Test for Japanese (OSIT-J), and Quality of Life in Essential Tremor Questionnaire (QUEST).

Results: ET patients had significantly higher NMSS total scores and MDS-UPDRS part IB scores than HCs, with more severe sleep disturbances, fatigue, and urinary problems. CRST scores were significantly correlated with QUEST scores. Logistic regression identified CRST Part B and OSIT-J as key factors distinguishing ET from PD-TDT, with 87% sensitivity and 90% specificity.

Discussion: ET patients showed more severe NMS than HCs. Differentiating ET from PD-TDT requires motor and sensory assessments, highlighting the diagnostic relevance of NMS. Comprehensive evaluation is essential for accurate diagnosis and management of ET.

求助全文
通过发布文献求助,成功后即可免费获取论文全文。 去求助
来源期刊
CiteScore
4.00
自引率
4.50%
发文量
31
审稿时长
6 weeks
×
引用
GB/T 7714-2015
复制
MLA
复制
APA
复制
导出至
BibTeX EndNote RefMan NoteFirst NoteExpress
×
提示
您的信息不完整,为了账户安全,请先补充。
现在去补充
×
提示
您因"违规操作"
具体请查看互助需知
我知道了
×
提示
确定
请完成安全验证×
copy
已复制链接
快去分享给好友吧!
我知道了
右上角分享
点击右上角分享
0
联系我们:info@booksci.cn Book学术提供免费学术资源搜索服务,方便国内外学者检索中英文文献。致力于提供最便捷和优质的服务体验。 Copyright © 2023 布克学术 All rights reserved.
京ICP备2023020795号-1
ghs 京公网安备 11010802042870号
Book学术文献互助
Book学术文献互助群
群 号:604180095
Book学术官方微信