急性有氧运动与急性唑吡坦摄入对慢性失眠症患者睡眠的影响

IF 1.8 Q4 CLINICAL NEUROLOGY
Sleep Science Pub Date : 2024-06-05 eCollection Date: 2025-03-01 DOI:10.1055/s-0044-1787530
Ariella Rodrigues Cordeiro Rozales, Marcos Gonçalves Santana, Shawn D Youngstedt, SeungYong Han, Daniela Elias de Assis, Bernardo Pessoa de Assis, Giselle Soares Passos
{"title":"急性有氧运动与急性唑吡坦摄入对慢性失眠症患者睡眠的影响","authors":"Ariella Rodrigues Cordeiro Rozales, Marcos Gonçalves Santana, Shawn D Youngstedt, SeungYong Han, Daniela Elias de Assis, Bernardo Pessoa de Assis, Giselle Soares Passos","doi":"10.1055/s-0044-1787530","DOIUrl":null,"url":null,"abstract":"<p><p><b>Introduction</b>  Sleeping pills are assumed to be the most efficacious means of treating acute insomnia, but their use has associated risks. Exercise could provide a healthy alternative treatment for insomnia, particularly if it could be shown to have comparable efficacy to sleeping pills. <b>Objective</b>  The purpose of this study was to compare the effects of acute exercise <i>versus</i> zolpidem on chronic insomnia. <b>Methods</b>  Seventeen participants with chronic insomnia (recruited from advertisements) participated in a parallel randomized controlled trial (exercise, <i>n</i>  = 9; zolpidem, <i>n</i>  = 8). Participants in the exercise treatment performed treadmill exercise for 50 minutes, at 50% of heart rate reserve, between 11 am and 2 pm . Participants in the zolpidem treatment received a 10 mg dose of zolpidem immediately before bedtime. Following baseline and following the treatment, sleep measures included sleep diary, polysomnography, and actigraphy. Treatments were compared with non-inferiority analysis, ANOVA, and effect sizes. <b>Results</b>  Non-inferiority of exercise relative to zolpidem was observed for polysomnographic measurement of sleep latency. For all other comparisons, the non-inferiority was inconclusive. Significant treatment-by-time interactions were observed for N3 sleep ( <i>p</i>  = 0.04) and REM sleep ( <i>p</i>  = 0.03). No other significant treatment-by-time effects were observed. Subjective sleep duration and sleep efficiency, and polysomnographic measurement of sleep efficiency were significantly increased after zolpidem and exercise. The effect size between groups was small for these variables. <b>Conclusion</b>  Exercise impacted sleep in a similar way to zolpidem in participants with chronic insomnia. Considering the far superior health benefits of exercise, further research addressing this question is warranted.</p>","PeriodicalId":21848,"journal":{"name":"Sleep Science","volume":"18 1","pages":"e64-e73"},"PeriodicalIF":1.8000,"publicationDate":"2024-06-05","publicationTypes":"Journal Article","fieldsOfStudy":null,"isOpenAccess":false,"openAccessPdf":"https://www.ncbi.nlm.nih.gov/pmc/articles/PMC12020570/pdf/","citationCount":"0","resultStr":"{\"title\":\"Effects of Acute Aerobic Exercise <i>Versus</i> Acute Zolpidem Intake on Sleep in Individuals with Chronic Insomnia.\",\"authors\":\"Ariella Rodrigues Cordeiro Rozales, Marcos Gonçalves Santana, Shawn D Youngstedt, SeungYong Han, Daniela Elias de Assis, Bernardo Pessoa de Assis, Giselle Soares Passos\",\"doi\":\"10.1055/s-0044-1787530\",\"DOIUrl\":null,\"url\":null,\"abstract\":\"<p><p><b>Introduction</b>  Sleeping pills are assumed to be the most efficacious means of treating acute insomnia, but their use has associated risks. Exercise could provide a healthy alternative treatment for insomnia, particularly if it could be shown to have comparable efficacy to sleeping pills. <b>Objective</b>  The purpose of this study was to compare the effects of acute exercise <i>versus</i> zolpidem on chronic insomnia. <b>Methods</b>  Seventeen participants with chronic insomnia (recruited from advertisements) participated in a parallel randomized controlled trial (exercise, <i>n</i>  = 9; zolpidem, <i>n</i>  = 8). Participants in the exercise treatment performed treadmill exercise for 50 minutes, at 50% of heart rate reserve, between 11 am and 2 pm . Participants in the zolpidem treatment received a 10 mg dose of zolpidem immediately before bedtime. Following baseline and following the treatment, sleep measures included sleep diary, polysomnography, and actigraphy. Treatments were compared with non-inferiority analysis, ANOVA, and effect sizes. <b>Results</b>  Non-inferiority of exercise relative to zolpidem was observed for polysomnographic measurement of sleep latency. For all other comparisons, the non-inferiority was inconclusive. Significant treatment-by-time interactions were observed for N3 sleep ( <i>p</i>  = 0.04) and REM sleep ( <i>p</i>  = 0.03). No other significant treatment-by-time effects were observed. Subjective sleep duration and sleep efficiency, and polysomnographic measurement of sleep efficiency were significantly increased after zolpidem and exercise. The effect size between groups was small for these variables. <b>Conclusion</b>  Exercise impacted sleep in a similar way to zolpidem in participants with chronic insomnia. Considering the far superior health benefits of exercise, further research addressing this question is warranted.</p>\",\"PeriodicalId\":21848,\"journal\":{\"name\":\"Sleep Science\",\"volume\":\"18 1\",\"pages\":\"e64-e73\"},\"PeriodicalIF\":1.8000,\"publicationDate\":\"2024-06-05\",\"publicationTypes\":\"Journal Article\",\"fieldsOfStudy\":null,\"isOpenAccess\":false,\"openAccessPdf\":\"https://www.ncbi.nlm.nih.gov/pmc/articles/PMC12020570/pdf/\",\"citationCount\":\"0\",\"resultStr\":null,\"platform\":\"Semanticscholar\",\"paperid\":null,\"PeriodicalName\":\"Sleep Science\",\"FirstCategoryId\":\"1085\",\"ListUrlMain\":\"https://doi.org/10.1055/s-0044-1787530\",\"RegionNum\":0,\"RegionCategory\":null,\"ArticlePicture\":[],\"TitleCN\":null,\"AbstractTextCN\":null,\"PMCID\":null,\"EPubDate\":\"2025/3/1 0:00:00\",\"PubModel\":\"eCollection\",\"JCR\":\"Q4\",\"JCRName\":\"CLINICAL NEUROLOGY\",\"Score\":null,\"Total\":0}","platform":"Semanticscholar","paperid":null,"PeriodicalName":"Sleep Science","FirstCategoryId":"1085","ListUrlMain":"https://doi.org/10.1055/s-0044-1787530","RegionNum":0,"RegionCategory":null,"ArticlePicture":[],"TitleCN":null,"AbstractTextCN":null,"PMCID":null,"EPubDate":"2025/3/1 0:00:00","PubModel":"eCollection","JCR":"Q4","JCRName":"CLINICAL NEUROLOGY","Score":null,"Total":0}
引用次数: 0

摘要

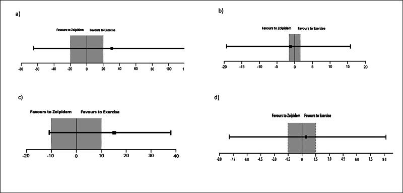
安眠药被认为是治疗急性失眠症最有效的方法,但服用安眠药也有相关的风险。运动可以为失眠提供一种健康的替代治疗方法,特别是如果它能被证明具有与安眠药相当的功效。目的比较急性运动与唑吡坦对慢性失眠症的影响。方法17例慢性失眠症患者(从广告中招募)参加平行随机对照试验(运动,n = 9;唑吡坦,n = 8)。运动组的参与者在上午11点至下午2点之间以50%的心率储备进行50分钟的跑步机运动。唑吡坦治疗组的参与者在睡前立即服用10mg的唑吡坦。在基线和治疗之后,睡眠测量包括睡眠日记、多导睡眠描记和活动描记。对治疗进行非劣效性分析、方差分析和效应量的比较。结果在睡眠潜伏期的多导睡眠图测量中观察到运动与唑吡坦的非劣效性。对于所有其他比较,非劣效性是不确定的。N3期睡眠(p = 0.04)和REM期睡眠(p = 0.03)的治疗时间相互作用显著。未观察到其他显著的治疗时间效应。服用唑吡坦和运动后,主观睡眠时间和睡眠效率以及睡眠效率的多导睡眠图测量均显著增加。对于这些变量,组间的效应量很小。结论:运动对慢性失眠症患者睡眠的影响与唑吡坦相似。考虑到运动对健康的好处,进一步的研究解决这个问题是必要的。
本文章由计算机程序翻译,如有差异,请以英文原文为准。

Effects of Acute Aerobic Exercise <i>Versus</i> Acute Zolpidem Intake on Sleep in Individuals with Chronic Insomnia.

Effects of Acute Aerobic Exercise <i>Versus</i> Acute Zolpidem Intake on Sleep in Individuals with Chronic Insomnia.

Effects of Acute Aerobic Exercise <i>Versus</i> Acute Zolpidem Intake on Sleep in Individuals with Chronic Insomnia.

Effects of Acute Aerobic Exercise Versus Acute Zolpidem Intake on Sleep in Individuals with Chronic Insomnia.

Introduction  Sleeping pills are assumed to be the most efficacious means of treating acute insomnia, but their use has associated risks. Exercise could provide a healthy alternative treatment for insomnia, particularly if it could be shown to have comparable efficacy to sleeping pills. Objective  The purpose of this study was to compare the effects of acute exercise versus zolpidem on chronic insomnia. Methods  Seventeen participants with chronic insomnia (recruited from advertisements) participated in a parallel randomized controlled trial (exercise, n  = 9; zolpidem, n  = 8). Participants in the exercise treatment performed treadmill exercise for 50 minutes, at 50% of heart rate reserve, between 11 am and 2 pm . Participants in the zolpidem treatment received a 10 mg dose of zolpidem immediately before bedtime. Following baseline and following the treatment, sleep measures included sleep diary, polysomnography, and actigraphy. Treatments were compared with non-inferiority analysis, ANOVA, and effect sizes. Results  Non-inferiority of exercise relative to zolpidem was observed for polysomnographic measurement of sleep latency. For all other comparisons, the non-inferiority was inconclusive. Significant treatment-by-time interactions were observed for N3 sleep ( p  = 0.04) and REM sleep ( p  = 0.03). No other significant treatment-by-time effects were observed. Subjective sleep duration and sleep efficiency, and polysomnographic measurement of sleep efficiency were significantly increased after zolpidem and exercise. The effect size between groups was small for these variables. Conclusion  Exercise impacted sleep in a similar way to zolpidem in participants with chronic insomnia. Considering the far superior health benefits of exercise, further research addressing this question is warranted.

求助全文
通过发布文献求助,成功后即可免费获取论文全文。 去求助
来源期刊
Sleep Science
Sleep Science CLINICAL NEUROLOGY-
CiteScore
2.50
自引率
12.50%
发文量
124
审稿时长
10 weeks
×
引用
GB/T 7714-2015
复制
MLA
复制
APA
复制
导出至
BibTeX EndNote RefMan NoteFirst NoteExpress
×
提示
您的信息不完整,为了账户安全,请先补充。
现在去补充
×
提示
您因"违规操作"
具体请查看互助需知
我知道了
×
提示
确定
请完成安全验证×
copy
已复制链接
快去分享给好友吧!
我知道了
右上角分享
点击右上角分享
0
联系我们:info@booksci.cn Book学术提供免费学术资源搜索服务,方便国内外学者检索中英文文献。致力于提供最便捷和优质的服务体验。 Copyright © 2023 布克学术 All rights reserved.
京ICP备2023020795号-1
ghs 京公网安备 11010802042870号
Book学术文献互助
Book学术文献互助群
群 号:604180095
Book学术官方微信