手动轮椅的牵引功能附件:脊髓损伤患者的可用性和肩部疼痛的病例报告。

IF 0.9 Q4 CLINICAL NEUROLOGY
Mikkel Krogshede, Christoffer Holgaard, Joachim Alexander Valkær, Pascal Madeleine, Rasmus Kopp Hansen
{"title":"手动轮椅的牵引功能附件:脊髓损伤患者的可用性和肩部疼痛的病例报告。","authors":"Mikkel Krogshede, Christoffer Holgaard, Joachim Alexander Valkær, Pascal Madeleine, Rasmus Kopp Hansen","doi":"10.1038/s41394-025-00704-2","DOIUrl":null,"url":null,"abstract":"<p><strong>Introduction: </strong>Shoulder pain mostly due to high biomechanical load of the anterior-shoulder musculature is prevalent among manual wheelchair users with spinal cord injury or disorder (SCI/D). This case study showcases a novel pull-function attachment to the wheelchair that reverses the propulsion motion by pulling rather than pushing the wheelchair. Additionally, the study reports its preliminary usability and impact on shoulder pain.</p><p><strong>Case presentation: </strong>Four individuals with SCI/D (median age: 33; 1 female) used the novel pull-function attachment to the manual wheelchair for six weeks. Usability (System Usability Scale; ranging from 1 = 'strongly disagree' to 5 = 'strongly agree') and daily usage time were assessed. Shoulder pain intensity was explored before and after the six weeks using the Wheelchair User's Shoulder Pain Index. Median usability scores were ≥3.0 for 5/6 items, indicating high usability of the assistive technology. Shoulder pain intensity was reduced in all participants at the post-test (median change: -6.3), with the change in shoulder pain exceeding the minimal detectable change for 2/3 participants.</p><p><strong>Discussion: </strong>The results of this case study suggest high usability of the pull-function attachment to the wheelchair. The decreases in shoulder pain intensity reported following six weeks of use were noticeable and may have clinical relevance. This novel assistive technology that enables forward propulsion by pulling rather than pushing the wheelchair may therefore have the potential to reduce shoulder pain in manual wheelchair users with SCI/D.</p>","PeriodicalId":22079,"journal":{"name":"Spinal Cord Series and Cases","volume":"11 1","pages":"12"},"PeriodicalIF":0.9000,"publicationDate":"2025-04-28","publicationTypes":"Journal Article","fieldsOfStudy":null,"isOpenAccess":false,"openAccessPdf":"https://www.ncbi.nlm.nih.gov/pmc/articles/PMC12037711/pdf/","citationCount":"0","resultStr":"{\"title\":\"A pull function attachment to manual wheelchairs: a case report on usability and shoulder pain in people with spinal cord injury.\",\"authors\":\"Mikkel Krogshede, Christoffer Holgaard, Joachim Alexander Valkær, Pascal Madeleine, Rasmus Kopp Hansen\",\"doi\":\"10.1038/s41394-025-00704-2\",\"DOIUrl\":null,\"url\":null,\"abstract\":\"<p><strong>Introduction: </strong>Shoulder pain mostly due to high biomechanical load of the anterior-shoulder musculature is prevalent among manual wheelchair users with spinal cord injury or disorder (SCI/D). This case study showcases a novel pull-function attachment to the wheelchair that reverses the propulsion motion by pulling rather than pushing the wheelchair. Additionally, the study reports its preliminary usability and impact on shoulder pain.</p><p><strong>Case presentation: </strong>Four individuals with SCI/D (median age: 33; 1 female) used the novel pull-function attachment to the manual wheelchair for six weeks. Usability (System Usability Scale; ranging from 1 = 'strongly disagree' to 5 = 'strongly agree') and daily usage time were assessed. Shoulder pain intensity was explored before and after the six weeks using the Wheelchair User's Shoulder Pain Index. Median usability scores were ≥3.0 for 5/6 items, indicating high usability of the assistive technology. Shoulder pain intensity was reduced in all participants at the post-test (median change: -6.3), with the change in shoulder pain exceeding the minimal detectable change for 2/3 participants.</p><p><strong>Discussion: </strong>The results of this case study suggest high usability of the pull-function attachment to the wheelchair. The decreases in shoulder pain intensity reported following six weeks of use were noticeable and may have clinical relevance. This novel assistive technology that enables forward propulsion by pulling rather than pushing the wheelchair may therefore have the potential to reduce shoulder pain in manual wheelchair users with SCI/D.</p>\",\"PeriodicalId\":22079,\"journal\":{\"name\":\"Spinal Cord Series and Cases\",\"volume\":\"11 1\",\"pages\":\"12\"},\"PeriodicalIF\":0.9000,\"publicationDate\":\"2025-04-28\",\"publicationTypes\":\"Journal Article\",\"fieldsOfStudy\":null,\"isOpenAccess\":false,\"openAccessPdf\":\"https://www.ncbi.nlm.nih.gov/pmc/articles/PMC12037711/pdf/\",\"citationCount\":\"0\",\"resultStr\":null,\"platform\":\"Semanticscholar\",\"paperid\":null,\"PeriodicalName\":\"Spinal Cord Series and Cases\",\"FirstCategoryId\":\"1085\",\"ListUrlMain\":\"https://doi.org/10.1038/s41394-025-00704-2\",\"RegionNum\":0,\"RegionCategory\":null,\"ArticlePicture\":[],\"TitleCN\":null,\"AbstractTextCN\":null,\"PMCID\":null,\"EPubDate\":\"\",\"PubModel\":\"\",\"JCR\":\"Q4\",\"JCRName\":\"CLINICAL NEUROLOGY\",\"Score\":null,\"Total\":0}","platform":"Semanticscholar","paperid":null,"PeriodicalName":"Spinal Cord Series and Cases","FirstCategoryId":"1085","ListUrlMain":"https://doi.org/10.1038/s41394-025-00704-2","RegionNum":0,"RegionCategory":null,"ArticlePicture":[],"TitleCN":null,"AbstractTextCN":null,"PMCID":null,"EPubDate":"","PubModel":"","JCR":"Q4","JCRName":"CLINICAL NEUROLOGY","Score":null,"Total":0}
引用次数: 0

摘要

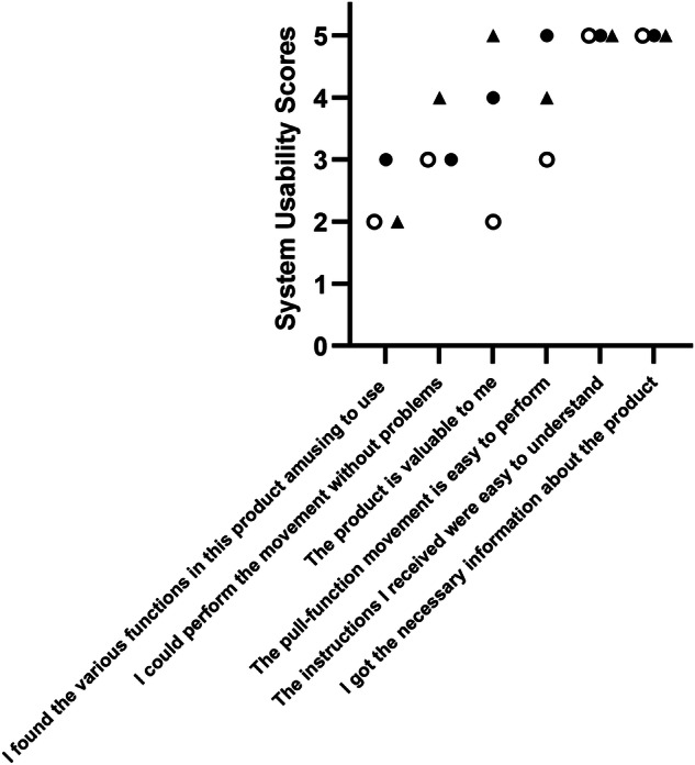
肩痛主要是由于肩前肌肉组织的高生物力学负荷引起的,在脊髓损伤或障碍(SCI/D)的手动轮椅使用者中很普遍。本案例研究展示了一种新颖的轮椅牵引功能附件,通过牵引而不是推动轮椅来逆转推进运动。此外,该研究报告了其初步可用性和对肩痛的影响。病例介绍:4例SCI/D患者(中位年龄:33岁;(1名女性)使用这种新型的牵引功能附件连接到手动轮椅上6周。可用性(系统可用性量表;从1 =“非常不同意”到5 =“非常同意”)和每日使用时间进行评估。使用轮椅使用者肩部疼痛指数,在六周前后探讨肩部疼痛强度。5/6项的可用性中位数得分≥3.0,表明辅助技术的可用性较高。在测试后,所有参与者的肩痛强度都有所降低(中位数变化:-6.3),2/3参与者的肩痛变化超过了最小可检测变化。讨论:本案例研究的结果表明轮椅的牵引功能附件具有很高的可用性。使用六周后报告的肩部疼痛强度的降低是明显的,可能具有临床相关性。这种新颖的辅助技术通过拉动轮椅而不是推动轮椅来实现向前推进,因此可能有可能减轻患有SCI/D的手动轮椅使用者的肩部疼痛。
本文章由计算机程序翻译,如有差异,请以英文原文为准。

A pull function attachment to manual wheelchairs: a case report on usability and shoulder pain in people with spinal cord injury.

A pull function attachment to manual wheelchairs: a case report on usability and shoulder pain in people with spinal cord injury.

A pull function attachment to manual wheelchairs: a case report on usability and shoulder pain in people with spinal cord injury.

A pull function attachment to manual wheelchairs: a case report on usability and shoulder pain in people with spinal cord injury.

Introduction: Shoulder pain mostly due to high biomechanical load of the anterior-shoulder musculature is prevalent among manual wheelchair users with spinal cord injury or disorder (SCI/D). This case study showcases a novel pull-function attachment to the wheelchair that reverses the propulsion motion by pulling rather than pushing the wheelchair. Additionally, the study reports its preliminary usability and impact on shoulder pain.

Case presentation: Four individuals with SCI/D (median age: 33; 1 female) used the novel pull-function attachment to the manual wheelchair for six weeks. Usability (System Usability Scale; ranging from 1 = 'strongly disagree' to 5 = 'strongly agree') and daily usage time were assessed. Shoulder pain intensity was explored before and after the six weeks using the Wheelchair User's Shoulder Pain Index. Median usability scores were ≥3.0 for 5/6 items, indicating high usability of the assistive technology. Shoulder pain intensity was reduced in all participants at the post-test (median change: -6.3), with the change in shoulder pain exceeding the minimal detectable change for 2/3 participants.

Discussion: The results of this case study suggest high usability of the pull-function attachment to the wheelchair. The decreases in shoulder pain intensity reported following six weeks of use were noticeable and may have clinical relevance. This novel assistive technology that enables forward propulsion by pulling rather than pushing the wheelchair may therefore have the potential to reduce shoulder pain in manual wheelchair users with SCI/D.

求助全文
通过发布文献求助,成功后即可免费获取论文全文。 去求助
来源期刊
Spinal Cord Series and Cases
Spinal Cord Series and Cases Medicine-Neurology (clinical)
CiteScore
2.20
自引率
8.30%
发文量
92
×
引用
GB/T 7714-2015
复制
MLA
复制
APA
复制
导出至
BibTeX EndNote RefMan NoteFirst NoteExpress
×
提示
您的信息不完整,为了账户安全,请先补充。
现在去补充
×
提示
您因"违规操作"
具体请查看互助需知
我知道了
×
提示
确定
请完成安全验证×
copy
已复制链接
快去分享给好友吧!
我知道了
右上角分享
点击右上角分享
0
联系我们:info@booksci.cn Book学术提供免费学术资源搜索服务,方便国内外学者检索中英文文献。致力于提供最便捷和优质的服务体验。 Copyright © 2023 布克学术 All rights reserved.
京ICP备2023020795号-1
ghs 京公网安备 11010802042870号
Book学术文献互助
Book学术文献互助群
群 号:604180095
Book学术官方微信