非老年高尿酸血症患者既往体重减轻与全因或心血管死亡率之间相关性的性别差异:一项死亡率随访研究

IF 4.1 2区 医学 Q2 NUTRITION & DIETETICS
Yanshan Li, Xiufang Kong, Wei Wang
{"title":"非老年高尿酸血症患者既往体重减轻与全因或心血管死亡率之间相关性的性别差异:一项死亡率随访研究","authors":"Yanshan Li, Xiufang Kong, Wei Wang","doi":"10.1186/s12986-025-00930-3","DOIUrl":null,"url":null,"abstract":"<p><strong>Background: </strong>Hyperuricemia, a common metabolic condition, is strongly associated with obesity and represents as an independent risk factor for elevated risk of mortality. This observational study aimed to examine the sex-specific associations of prior long-term weight loss (LTWL), defined as a sustained reduction in body weight maintained for at least 12 months, with all-cause and cardiovascular disease (CVD) mortality in non-elderly individuals with hyperuricemia.</p><p><strong>Methods: </strong>Non-elderly individuals with hyperuricemia and a historical maximum body mass index ≥ 25 kg/m<sup>2</sup> from the 1999-2018 US National Health and Nutrition Examination Survey were included. Sex-specific associations between prior LTWL (< 5%, 5-9.9%, 10-14.9%, and ≥ 15%) with all-cause and CVD mortality were investigated by weighted multivariable Cox proportional hazard regression analysis and stratified analysis.</p><p><strong>Results: </strong>Among 5,130 participants included, 505 all-cause (147 from CVD) deaths occurred during a median follow-up of 113 months. Compared with the LTWL < 5% reference group, the hazard ratios and 95% confidence intervals for the LTWL 5-9.9%, 10-14.9% and ≥ 15% groups were 1.11 (0.72-1.71), 1.34 (0.79-2.26) and 1.85 (1.14-2.92), respectively, for all-cause mortality (P for trend = 0.02) and 1.83 (0.76-4.43), 2.15 (0.76-6.10), and 3.76 (1.51-9.36), respectively, for CVD mortality (P for trend = 0.003). Significant associations between LTWL with all-cause and CVD mortality were observed exclusively in female, not male participants.</p><p><strong>Conclusions: </strong>Prior LTWL ≥ 5% was associated with increased all-cause and CVD mortality in US non-elderly female participants with hyperuricemia. Additional prospective and longitudinal randomized clinical trials are necessary to further examine the current findings.</p>","PeriodicalId":19196,"journal":{"name":"Nutrition & Metabolism","volume":"22 1","pages":"43"},"PeriodicalIF":4.1000,"publicationDate":"2025-05-13","publicationTypes":"Journal Article","fieldsOfStudy":null,"isOpenAccess":false,"openAccessPdf":"https://www.ncbi.nlm.nih.gov/pmc/articles/PMC12076895/pdf/","citationCount":"0","resultStr":"{\"title\":\"Sex differences in the associations between prior weight loss and all-cause or cardiovascular mortality in non-elderly individuals with hyperuricemia: a mortality follow-up study.\",\"authors\":\"Yanshan Li, Xiufang Kong, Wei Wang\",\"doi\":\"10.1186/s12986-025-00930-3\",\"DOIUrl\":null,\"url\":null,\"abstract\":\"<p><strong>Background: </strong>Hyperuricemia, a common metabolic condition, is strongly associated with obesity and represents as an independent risk factor for elevated risk of mortality. This observational study aimed to examine the sex-specific associations of prior long-term weight loss (LTWL), defined as a sustained reduction in body weight maintained for at least 12 months, with all-cause and cardiovascular disease (CVD) mortality in non-elderly individuals with hyperuricemia.</p><p><strong>Methods: </strong>Non-elderly individuals with hyperuricemia and a historical maximum body mass index ≥ 25 kg/m<sup>2</sup> from the 1999-2018 US National Health and Nutrition Examination Survey were included. Sex-specific associations between prior LTWL (< 5%, 5-9.9%, 10-14.9%, and ≥ 15%) with all-cause and CVD mortality were investigated by weighted multivariable Cox proportional hazard regression analysis and stratified analysis.</p><p><strong>Results: </strong>Among 5,130 participants included, 505 all-cause (147 from CVD) deaths occurred during a median follow-up of 113 months. Compared with the LTWL < 5% reference group, the hazard ratios and 95% confidence intervals for the LTWL 5-9.9%, 10-14.9% and ≥ 15% groups were 1.11 (0.72-1.71), 1.34 (0.79-2.26) and 1.85 (1.14-2.92), respectively, for all-cause mortality (P for trend = 0.02) and 1.83 (0.76-4.43), 2.15 (0.76-6.10), and 3.76 (1.51-9.36), respectively, for CVD mortality (P for trend = 0.003). Significant associations between LTWL with all-cause and CVD mortality were observed exclusively in female, not male participants.</p><p><strong>Conclusions: </strong>Prior LTWL ≥ 5% was associated with increased all-cause and CVD mortality in US non-elderly female participants with hyperuricemia. Additional prospective and longitudinal randomized clinical trials are necessary to further examine the current findings.</p>\",\"PeriodicalId\":19196,\"journal\":{\"name\":\"Nutrition & Metabolism\",\"volume\":\"22 1\",\"pages\":\"43\"},\"PeriodicalIF\":4.1000,\"publicationDate\":\"2025-05-13\",\"publicationTypes\":\"Journal Article\",\"fieldsOfStudy\":null,\"isOpenAccess\":false,\"openAccessPdf\":\"https://www.ncbi.nlm.nih.gov/pmc/articles/PMC12076895/pdf/\",\"citationCount\":\"0\",\"resultStr\":null,\"platform\":\"Semanticscholar\",\"paperid\":null,\"PeriodicalName\":\"Nutrition & Metabolism\",\"FirstCategoryId\":\"3\",\"ListUrlMain\":\"https://doi.org/10.1186/s12986-025-00930-3\",\"RegionNum\":2,\"RegionCategory\":\"医学\",\"ArticlePicture\":[],\"TitleCN\":null,\"AbstractTextCN\":null,\"PMCID\":null,\"EPubDate\":\"\",\"PubModel\":\"\",\"JCR\":\"Q2\",\"JCRName\":\"NUTRITION & DIETETICS\",\"Score\":null,\"Total\":0}","platform":"Semanticscholar","paperid":null,"PeriodicalName":"Nutrition & Metabolism","FirstCategoryId":"3","ListUrlMain":"https://doi.org/10.1186/s12986-025-00930-3","RegionNum":2,"RegionCategory":"医学","ArticlePicture":[],"TitleCN":null,"AbstractTextCN":null,"PMCID":null,"EPubDate":"","PubModel":"","JCR":"Q2","JCRName":"NUTRITION & DIETETICS","Score":null,"Total":0}
引用次数: 0

摘要

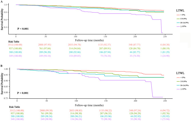
背景:高尿酸血症是一种常见的代谢疾病,与肥胖密切相关,是死亡率升高的独立危险因素。本观察性研究旨在研究先前长期体重减轻(LTWL)与非老年高尿酸血症患者全因和心血管疾病(CVD)死亡率之间的性别特异性关联,LTWL定义为体重持续减轻至少12个月。方法:纳入1999-2018年美国国家健康与营养调查中患有高尿酸血症且历史最大体重指数≥25 kg/m2的非老年个体。先前LTWL之间的性别特异性关联(结果:在纳入的5130名参与者中,505例全因死亡(147例来自心血管疾病)发生在中位随访113个月期间。结论:LTWL≥5%与美国非老年女性高尿酸血症患者全因死亡率和心血管疾病死亡率增加相关。进一步的前瞻性和纵向随机临床试验是必要的,以进一步检验目前的发现。
本文章由计算机程序翻译,如有差异,请以英文原文为准。

Sex differences in the associations between prior weight loss and all-cause or cardiovascular mortality in non-elderly individuals with hyperuricemia: a mortality follow-up study.

Sex differences in the associations between prior weight loss and all-cause or cardiovascular mortality in non-elderly individuals with hyperuricemia: a mortality follow-up study.

Sex differences in the associations between prior weight loss and all-cause or cardiovascular mortality in non-elderly individuals with hyperuricemia: a mortality follow-up study.

Sex differences in the associations between prior weight loss and all-cause or cardiovascular mortality in non-elderly individuals with hyperuricemia: a mortality follow-up study.

Background: Hyperuricemia, a common metabolic condition, is strongly associated with obesity and represents as an independent risk factor for elevated risk of mortality. This observational study aimed to examine the sex-specific associations of prior long-term weight loss (LTWL), defined as a sustained reduction in body weight maintained for at least 12 months, with all-cause and cardiovascular disease (CVD) mortality in non-elderly individuals with hyperuricemia.

Methods: Non-elderly individuals with hyperuricemia and a historical maximum body mass index ≥ 25 kg/m2 from the 1999-2018 US National Health and Nutrition Examination Survey were included. Sex-specific associations between prior LTWL (< 5%, 5-9.9%, 10-14.9%, and ≥ 15%) with all-cause and CVD mortality were investigated by weighted multivariable Cox proportional hazard regression analysis and stratified analysis.

Results: Among 5,130 participants included, 505 all-cause (147 from CVD) deaths occurred during a median follow-up of 113 months. Compared with the LTWL < 5% reference group, the hazard ratios and 95% confidence intervals for the LTWL 5-9.9%, 10-14.9% and ≥ 15% groups were 1.11 (0.72-1.71), 1.34 (0.79-2.26) and 1.85 (1.14-2.92), respectively, for all-cause mortality (P for trend = 0.02) and 1.83 (0.76-4.43), 2.15 (0.76-6.10), and 3.76 (1.51-9.36), respectively, for CVD mortality (P for trend = 0.003). Significant associations between LTWL with all-cause and CVD mortality were observed exclusively in female, not male participants.

Conclusions: Prior LTWL ≥ 5% was associated with increased all-cause and CVD mortality in US non-elderly female participants with hyperuricemia. Additional prospective and longitudinal randomized clinical trials are necessary to further examine the current findings.

求助全文
通过发布文献求助,成功后即可免费获取论文全文。 去求助
来源期刊
Nutrition & Metabolism
Nutrition & Metabolism 医学-营养学
CiteScore
8.40
自引率
0.00%
发文量
78
审稿时长
4-8 weeks
期刊介绍: Nutrition & Metabolism publishes studies with a clear focus on nutrition and metabolism with applications ranging from nutrition needs, exercise physiology, clinical and population studies, as well as the underlying mechanisms in these aspects. The areas of interest for Nutrition & Metabolism encompass studies in molecular nutrition in the context of obesity, diabetes, lipedemias, metabolic syndrome and exercise physiology. Manuscripts related to molecular, cellular and human metabolism, nutrient sensing and nutrient–gene interactions are also in interest, as are submissions that have employed new and innovative strategies like metabolomics/lipidomics or other omic-based biomarkers to predict nutritional status and metabolic diseases. Key areas we wish to encourage submissions from include: -how diet and specific nutrients interact with genes, proteins or metabolites to influence metabolic phenotypes and disease outcomes; -the role of epigenetic factors and the microbiome in the pathogenesis of metabolic diseases and their influence on metabolic responses to diet and food components; -how diet and other environmental factors affect epigenetics and microbiota; the extent to which genetic and nongenetic factors modify personal metabolic responses to diet and food compositions and the mechanisms involved; -how specific biologic networks and nutrient sensing mechanisms attribute to metabolic variability.
×
引用
GB/T 7714-2015
复制
MLA
复制
APA
复制
导出至
BibTeX EndNote RefMan NoteFirst NoteExpress
×
提示
您的信息不完整,为了账户安全,请先补充。
现在去补充
×
提示
您因"违规操作"
具体请查看互助需知
我知道了
×
提示
确定
请完成安全验证×
copy
已复制链接
快去分享给好友吧!
我知道了
右上角分享
点击右上角分享
0
联系我们:info@booksci.cn Book学术提供免费学术资源搜索服务,方便国内外学者检索中英文文献。致力于提供最便捷和优质的服务体验。 Copyright © 2023 布克学术 All rights reserved.
京ICP备2023020795号-1
ghs 京公网安备 11010802042870号
Book学术文献互助
Book学术文献互助群
群 号:604180095
Book学术官方微信