使用质子密度脂肪分数-R2*幻影同时基于mri的质子密度脂肪分数和R2*映射的多中心,多供应商验证。

IF 3.5 2区 医学 Q1 RADIOLOGY, NUCLEAR MEDICINE & MEDICAL IMAGING
Journal of Magnetic Resonance Imaging Pub Date : 2025-09-01 Epub Date: 2025-04-18 DOI:10.1002/jmri.29775
Jitka Starekova, David Rutkowski, Won C Bae, Hung Do, Ananth J Madhuranthakam, Vadim Malis, Sheng Qing Lin, Suraj Serai, Takeshi Yokoo, Scott B Reeder, Jean H Brittain, Diego Hernando
{"title":"使用质子密度脂肪分数-R2*幻影同时基于mri的质子密度脂肪分数和R2*映射的多中心,多供应商验证。","authors":"Jitka Starekova, David Rutkowski, Won C Bae, Hung Do, Ananth J Madhuranthakam, Vadim Malis, Sheng Qing Lin, Suraj Serai, Takeshi Yokoo, Scott B Reeder, Jean H Brittain, Diego Hernando","doi":"10.1002/jmri.29775","DOIUrl":null,"url":null,"abstract":"<p><strong>Background: </strong>Fat and iron deposition confound measurements of R2* and proton density fat fraction (PDFF), respectively, yet their combined impact on reproducibility is poorly understood.</p><p><strong>Purpose: </strong>To evaluate the multi-center, multi-vendor reproducibility of PDFF and R2* quantification using a PDFF-R2* phantom.</p><p><strong>Study type: </strong>Prospective multi-center, phantom study.</p><p><strong>Phantom: </strong>Commercial PDFF-R2* phantom with simultaneously controlled combination of PDFF (0%-30%) and R2* (50-600 s<sup>-1</sup>) values.</p><p><strong>Field strength/sequence: </strong>1.5-T and 3-T, three-dimensional (3D) multi-echo, spoiled-gradient-echo sequences, in four different centers, each with a different vendor.</p><p><strong>Assessment: </strong>Two acquisition protocols were used, optimized for moderate R2* (Protocol 1) and high R2* (Protocol 2), respectively. The phantom was imaged multiple times at one of the centers to assess its stability.</p><p><strong>Statistical tests: </strong>Intraclass correlation coefficient (ICC), linear regression analysis, reproducibility coefficient (RDC) and repeatability coefficient (RC).</p><p><strong>Results: </strong>Excellent agreement was observed for PDFF measurements between centers, vendors, field strengths, and protocols (ICC = 0.97). Stratified by protocol, excellent agreement was observed, with ICC = 0.96 (RDC = 6.2%) for Protocol 1 and ICC = 0.99 (RDC = 3.8%) for Protocol 2. Increased variability in PDFF measurements was observed with increasing PDFF and especially with higher R2*. Excellent agreement was observed for R2* between centers, vendors, field strengths, and protocols (ICC = 0.99). Stratified by protocol, strong agreement was observed, with ICC = 0.988 (RDC = 66.7 s<sup>-1</sup>) for Protocol 1 and ICC = 0.99 (RDC = 57.7 s<sup>-1</sup>) for Protocol 2. Higher variability in R2* measurements was observed in vials with higher PDFF or R2*. Stability tests demonstrated an ICC = 1.0 for PDFF and R2*, and RC of 0.4% for PDFF and 12 s<sup>-1</sup> for R2*.</p><p><strong>Data conclusion: </strong>Excellent PDFF and R2* reproducibility was observed across centers, vendors, field strengths, and acquisition protocols. Reproducibility decreased slightly with increasing PDFF and R2*, especially for PDFF measurements in vials with high R2*.</p><p><strong>Evidence level: </strong>N/A.</p><p><strong>Technical efficacy: </strong>Stage 1.</p>","PeriodicalId":16140,"journal":{"name":"Journal of Magnetic Resonance Imaging","volume":" ","pages":"800-811"},"PeriodicalIF":3.5000,"publicationDate":"2025-09-01","publicationTypes":"Journal Article","fieldsOfStudy":null,"isOpenAccess":false,"openAccessPdf":"https://www.ncbi.nlm.nih.gov/pmc/articles/PMC12335339/pdf/","citationCount":"0","resultStr":"{\"title\":\"Multi-Center, Multi-Vendor Validation of Simultaneous MRI-Based Proton Density Fat Fraction and R2* Mapping Using a Combined Proton Density Fat Fraction-R2* Phantom.\",\"authors\":\"Jitka Starekova, David Rutkowski, Won C Bae, Hung Do, Ananth J Madhuranthakam, Vadim Malis, Sheng Qing Lin, Suraj Serai, Takeshi Yokoo, Scott B Reeder, Jean H Brittain, Diego Hernando\",\"doi\":\"10.1002/jmri.29775\",\"DOIUrl\":null,\"url\":null,\"abstract\":\"<p><strong>Background: </strong>Fat and iron deposition confound measurements of R2* and proton density fat fraction (PDFF), respectively, yet their combined impact on reproducibility is poorly understood.</p><p><strong>Purpose: </strong>To evaluate the multi-center, multi-vendor reproducibility of PDFF and R2* quantification using a PDFF-R2* phantom.</p><p><strong>Study type: </strong>Prospective multi-center, phantom study.</p><p><strong>Phantom: </strong>Commercial PDFF-R2* phantom with simultaneously controlled combination of PDFF (0%-30%) and R2* (50-600 s<sup>-1</sup>) values.</p><p><strong>Field strength/sequence: </strong>1.5-T and 3-T, three-dimensional (3D) multi-echo, spoiled-gradient-echo sequences, in four different centers, each with a different vendor.</p><p><strong>Assessment: </strong>Two acquisition protocols were used, optimized for moderate R2* (Protocol 1) and high R2* (Protocol 2), respectively. The phantom was imaged multiple times at one of the centers to assess its stability.</p><p><strong>Statistical tests: </strong>Intraclass correlation coefficient (ICC), linear regression analysis, reproducibility coefficient (RDC) and repeatability coefficient (RC).</p><p><strong>Results: </strong>Excellent agreement was observed for PDFF measurements between centers, vendors, field strengths, and protocols (ICC = 0.97). Stratified by protocol, excellent agreement was observed, with ICC = 0.96 (RDC = 6.2%) for Protocol 1 and ICC = 0.99 (RDC = 3.8%) for Protocol 2. Increased variability in PDFF measurements was observed with increasing PDFF and especially with higher R2*. Excellent agreement was observed for R2* between centers, vendors, field strengths, and protocols (ICC = 0.99). Stratified by protocol, strong agreement was observed, with ICC = 0.988 (RDC = 66.7 s<sup>-1</sup>) for Protocol 1 and ICC = 0.99 (RDC = 57.7 s<sup>-1</sup>) for Protocol 2. Higher variability in R2* measurements was observed in vials with higher PDFF or R2*. Stability tests demonstrated an ICC = 1.0 for PDFF and R2*, and RC of 0.4% for PDFF and 12 s<sup>-1</sup> for R2*.</p><p><strong>Data conclusion: </strong>Excellent PDFF and R2* reproducibility was observed across centers, vendors, field strengths, and acquisition protocols. Reproducibility decreased slightly with increasing PDFF and R2*, especially for PDFF measurements in vials with high R2*.</p><p><strong>Evidence level: </strong>N/A.</p><p><strong>Technical efficacy: </strong>Stage 1.</p>\",\"PeriodicalId\":16140,\"journal\":{\"name\":\"Journal of Magnetic Resonance Imaging\",\"volume\":\" \",\"pages\":\"800-811\"},\"PeriodicalIF\":3.5000,\"publicationDate\":\"2025-09-01\",\"publicationTypes\":\"Journal Article\",\"fieldsOfStudy\":null,\"isOpenAccess\":false,\"openAccessPdf\":\"https://www.ncbi.nlm.nih.gov/pmc/articles/PMC12335339/pdf/\",\"citationCount\":\"0\",\"resultStr\":null,\"platform\":\"Semanticscholar\",\"paperid\":null,\"PeriodicalName\":\"Journal of Magnetic Resonance Imaging\",\"FirstCategoryId\":\"3\",\"ListUrlMain\":\"https://doi.org/10.1002/jmri.29775\",\"RegionNum\":2,\"RegionCategory\":\"医学\",\"ArticlePicture\":[],\"TitleCN\":null,\"AbstractTextCN\":null,\"PMCID\":null,\"EPubDate\":\"2025/4/18 0:00:00\",\"PubModel\":\"Epub\",\"JCR\":\"Q1\",\"JCRName\":\"RADIOLOGY, NUCLEAR MEDICINE & MEDICAL IMAGING\",\"Score\":null,\"Total\":0}","platform":"Semanticscholar","paperid":null,"PeriodicalName":"Journal of Magnetic Resonance Imaging","FirstCategoryId":"3","ListUrlMain":"https://doi.org/10.1002/jmri.29775","RegionNum":2,"RegionCategory":"医学","ArticlePicture":[],"TitleCN":null,"AbstractTextCN":null,"PMCID":null,"EPubDate":"2025/4/18 0:00:00","PubModel":"Epub","JCR":"Q1","JCRName":"RADIOLOGY, NUCLEAR MEDICINE & MEDICAL IMAGING","Score":null,"Total":0}
引用次数: 0

摘要

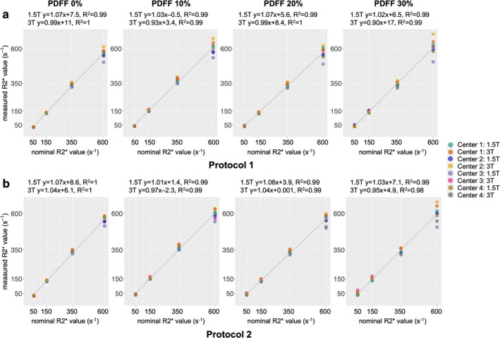
背景:脂肪和铁沉积分别混淆了R2*和质子密度脂肪分数(PDFF)的测量,但它们对可重复性的综合影响尚不清楚。目的:利用PDFF-R2*模型评价PDFF和R2*定量的多中心、多厂商的重复性。研究类型:前瞻性多中心幻像研究。幻影:商用PDFF-R2*幻影,同时控制PDFF(0%-30%)和R2* (50-600 s-1)值的组合。场强/序列:1.5-T和3-T,三维(3D)多回波,干扰梯度回波序列,在四个不同的中心,每个有不同的供应商。评估:采用两种采集方案,分别优化为中等R2*(方案1)和高R2*(方案2)。幻影在其中一个中心多次成像以评估其稳定性。统计检验:类内相关系数(ICC)、线性回归分析、再现性系数(RDC)、可重复性系数(RC)。结果:各中心、供应商、场强和协议之间的PDFF测量结果非常一致(ICC = 0.97)。按方案分层,观察到极好的一致性,方案1的ICC = 0.96 (RDC = 6.2%),方案2的ICC = 0.99 (RDC = 3.8%)。随着PDFF的增加,特别是R2*的增加,PDFF测量的变异性增加。中心、供应商、场强和协议之间的R2*非常一致(ICC = 0.99)。按方案分层,观察到强烈的一致性,方案1的ICC = 0.988 (RDC = 66.7 s-1),方案2的ICC = 0.99 (RDC = 57.7 s-1)。在具有较高PDFF或R2*的小瓶中观察到较高的R2*变异性。稳定性试验表明,PDFF和R2*的ICC = 1.0, PDFF的RC为0.4%,R2*的RC为12 s-1。数据结论:在各个中心、供应商、场强和采集方案中均观察到良好的PDFF和R2*再现性。随着PDFF和R2*的增加,重现性略有下降,特别是在R2*高的小瓶中PDFF的测量。证据级别:无。技术功效:第一阶段。
本文章由计算机程序翻译,如有差异,请以英文原文为准。

Multi-Center, Multi-Vendor Validation of Simultaneous MRI-Based Proton Density Fat Fraction and R2* Mapping Using a Combined Proton Density Fat Fraction-R2* Phantom.

Multi-Center, Multi-Vendor Validation of Simultaneous MRI-Based Proton Density Fat Fraction and R2* Mapping Using a Combined Proton Density Fat Fraction-R2* Phantom.

Multi-Center, Multi-Vendor Validation of Simultaneous MRI-Based Proton Density Fat Fraction and R2* Mapping Using a Combined Proton Density Fat Fraction-R2* Phantom.

Multi-Center, Multi-Vendor Validation of Simultaneous MRI-Based Proton Density Fat Fraction and R2* Mapping Using a Combined Proton Density Fat Fraction-R2* Phantom.

Background: Fat and iron deposition confound measurements of R2* and proton density fat fraction (PDFF), respectively, yet their combined impact on reproducibility is poorly understood.

Purpose: To evaluate the multi-center, multi-vendor reproducibility of PDFF and R2* quantification using a PDFF-R2* phantom.

Study type: Prospective multi-center, phantom study.

Phantom: Commercial PDFF-R2* phantom with simultaneously controlled combination of PDFF (0%-30%) and R2* (50-600 s-1) values.

Field strength/sequence: 1.5-T and 3-T, three-dimensional (3D) multi-echo, spoiled-gradient-echo sequences, in four different centers, each with a different vendor.

Assessment: Two acquisition protocols were used, optimized for moderate R2* (Protocol 1) and high R2* (Protocol 2), respectively. The phantom was imaged multiple times at one of the centers to assess its stability.

Statistical tests: Intraclass correlation coefficient (ICC), linear regression analysis, reproducibility coefficient (RDC) and repeatability coefficient (RC).

Results: Excellent agreement was observed for PDFF measurements between centers, vendors, field strengths, and protocols (ICC = 0.97). Stratified by protocol, excellent agreement was observed, with ICC = 0.96 (RDC = 6.2%) for Protocol 1 and ICC = 0.99 (RDC = 3.8%) for Protocol 2. Increased variability in PDFF measurements was observed with increasing PDFF and especially with higher R2*. Excellent agreement was observed for R2* between centers, vendors, field strengths, and protocols (ICC = 0.99). Stratified by protocol, strong agreement was observed, with ICC = 0.988 (RDC = 66.7 s-1) for Protocol 1 and ICC = 0.99 (RDC = 57.7 s-1) for Protocol 2. Higher variability in R2* measurements was observed in vials with higher PDFF or R2*. Stability tests demonstrated an ICC = 1.0 for PDFF and R2*, and RC of 0.4% for PDFF and 12 s-1 for R2*.

Data conclusion: Excellent PDFF and R2* reproducibility was observed across centers, vendors, field strengths, and acquisition protocols. Reproducibility decreased slightly with increasing PDFF and R2*, especially for PDFF measurements in vials with high R2*.

Evidence level: N/A.

Technical efficacy: Stage 1.

求助全文
通过发布文献求助,成功后即可免费获取论文全文。 去求助
来源期刊
CiteScore
9.70
自引率
6.80%
发文量
494
审稿时长
2 months
期刊介绍: The Journal of Magnetic Resonance Imaging (JMRI) is an international journal devoted to the timely publication of basic and clinical research, educational and review articles, and other information related to the diagnostic applications of magnetic resonance.
×
引用
GB/T 7714-2015
复制
MLA
复制
APA
复制
导出至
BibTeX EndNote RefMan NoteFirst NoteExpress
×
提示
您的信息不完整,为了账户安全,请先补充。
现在去补充
×
提示
您因"违规操作"
具体请查看互助需知
我知道了
×
提示
确定
请完成安全验证×
copy
已复制链接
快去分享给好友吧!
我知道了
右上角分享
点击右上角分享
0
联系我们:info@booksci.cn Book学术提供免费学术资源搜索服务,方便国内外学者检索中英文文献。致力于提供最便捷和优质的服务体验。 Copyright © 2023 布克学术 All rights reserved.
京ICP备2023020795号-1
ghs 京公网安备 11010802042870号
Book学术文献互助
Book学术文献互助群
群 号:604180095
Book学术官方微信