肾功能受损患者卒中复发风险增加:来自MICON国际合作的个体患者数据汇总分析结果

IF 7.5 1区 医学 Q1 CLINICAL NEUROLOGY
Jeremy Molad, Kaori Miwa, Philip S Nash, Gareth Ambler, Jonathan Best, Duncan Wilson, Hen Hallevi, Simon Fandler-Höfler, Sebastian Eppinger, Houwei Du, Rustam Al-Shahi Salman, Hans R Jäger, Gregory Y H Lip, Martina B Goeldlin, Morin Beyeler, Philipp Bücke, Marwan El-Koussy, Heinrich Paul Mattle, Leonidas D Panos, Dianne H K van Dam-Nolen, Florian Dubost, Jeroen Hendrikse, M Eline Kooi, Werner Mess, Paul J Nederkoorn, Masayuki Shiozawa, Nicolas Christ, Maximilian Bellut, Sarah Gunkel, Christopher Karayiannis, John Van Ly, Shaloo Singhal, Lee-Anne Slater, Young Dae Kim, Tae-Jin Song, Keon-Joo Lee, Jae-Sung Lim, Hideo Hara, Masashi Nishihara, Jun Tanaka, Masaaki Yoshikawa, Derya Selcuk Demirelli, Zeynep Tanriverdi, Ender Uysal, Shelagh B Coutts, Francesca M Chappell, Stephen Makin, Henry Ka-Fung Mak, Kay Cheong Teo, Debbie Y K Wong, Lisa Hert, Marta Kubacka, Philippe Lyrer, Alexandros A Polymeris, Benjamin Wagner, Annaelle Zietz, Jill M Abrigo, Cyrus Cheng, Winnie C W Chu, Thomas W H Leung, Suk Fung Tsang, Brian Yiu, David J Seiffge, Urs Fischer, Simon Jung, Christian Enzinger, Thomas Gattringer, Daniel Bos, Kazunori Toyoda, Felix Fluri, Thanh G Phan, Velandai Srikanth, Ji Hoe Heo, Hee-Joon Bae, Yusuke Yakushiji, Dilek Necioglu Orken, Eric E Smith, Joanna M Wardlaw, Kui Kai Lau, Stefan T Engelter, Nils Peters, Yannie Soo, David C Wheeler, Robert J Simister, Natan M Bornstein, David J Werring, Einor Ben Assayag, Masatoshi Koga
{"title":"肾功能受损患者卒中复发风险增加:来自MICON国际合作的个体患者数据汇总分析结果","authors":"Jeremy Molad, Kaori Miwa, Philip S Nash, Gareth Ambler, Jonathan Best, Duncan Wilson, Hen Hallevi, Simon Fandler-Höfler, Sebastian Eppinger, Houwei Du, Rustam Al-Shahi Salman, Hans R Jäger, Gregory Y H Lip, Martina B Goeldlin, Morin Beyeler, Philipp Bücke, Marwan El-Koussy, Heinrich Paul Mattle, Leonidas D Panos, Dianne H K van Dam-Nolen, Florian Dubost, Jeroen Hendrikse, M Eline Kooi, Werner Mess, Paul J Nederkoorn, Masayuki Shiozawa, Nicolas Christ, Maximilian Bellut, Sarah Gunkel, Christopher Karayiannis, John Van Ly, Shaloo Singhal, Lee-Anne Slater, Young Dae Kim, Tae-Jin Song, Keon-Joo Lee, Jae-Sung Lim, Hideo Hara, Masashi Nishihara, Jun Tanaka, Masaaki Yoshikawa, Derya Selcuk Demirelli, Zeynep Tanriverdi, Ender Uysal, Shelagh B Coutts, Francesca M Chappell, Stephen Makin, Henry Ka-Fung Mak, Kay Cheong Teo, Debbie Y K Wong, Lisa Hert, Marta Kubacka, Philippe Lyrer, Alexandros A Polymeris, Benjamin Wagner, Annaelle Zietz, Jill M Abrigo, Cyrus Cheng, Winnie C W Chu, Thomas W H Leung, Suk Fung Tsang, Brian Yiu, David J Seiffge, Urs Fischer, Simon Jung, Christian Enzinger, Thomas Gattringer, Daniel Bos, Kazunori Toyoda, Felix Fluri, Thanh G Phan, Velandai Srikanth, Ji Hoe Heo, Hee-Joon Bae, Yusuke Yakushiji, Dilek Necioglu Orken, Eric E Smith, Joanna M Wardlaw, Kui Kai Lau, Stefan T Engelter, Nils Peters, Yannie Soo, David C Wheeler, Robert J Simister, Natan M Bornstein, David J Werring, Einor Ben Assayag, Masatoshi Koga","doi":"10.1136/jnnp-2024-335110","DOIUrl":null,"url":null,"abstract":"<p><strong>Background: </strong>Patients with chronic kidney disease are at increased risk of stroke and frequently have cerebral microbleeds. Whether such patients also encounter an increased risk of recurrent stroke has not been firmly established. We aimed to determine whether impaired kidney function is associated with the risk of recurrent stroke, and microbleed presence, distribution and severity.</p><p><strong>Methods: </strong>We used pooled data from the Microbleeds International Collaborate Network to investigate associations of impaired kidney function, defined as estimated glomerular filtration rate (eGFR) <60 mL/min/1.73 m<sup>2</sup>. Our primary outcome was a composite of recurrent ischaemic stroke (IS) and intracranial haemorrhage (ICrH). Secondary outcomes included: (1) individual components of the primary outcome; (2) modification of the primary outcome by microbleed presence or anticoagulant use and (3) microbleed presence, distribution and severity.</p><p><strong>Results: </strong>11 175 patients (mean age 70.7±12.6, 42% female) were included, of which 2815 (25.2%) had impaired kidney function. Compared with eGFR ≥60, eGFR <60 was associated with a higher risk of the primary outcome (adjusted HR, aHR 1.33 (95% CI 1.14 to 1.56), p<0.001) and higher rates of the recurrent IS (aHR 1.33 (95% CI 1.12 to 1.58)). Reduced eGFR was not associated with ICrH risk (aHR 1.07 (95% CI 0.70 to 1.60)). eGFR was also associated with microbleed presence (adjusted OR, aOR 1.14 (95% CI 1.03 to 1.26)) and severity (aOR 1.17 (95% CI 1.06 to 1.29)). Compared with having no microbleeds, eGFR was lower in those with strictly lobar microbleeds (adjusted mean difference (aMD) -2.10 mL/min/1.73 cm<sup>2</sup> (95% CI -3.39 to -0.81)) and mixed microbleeds (aMD -2.42 (95% CI -3.70 to -1.15)), but not strictly deep microbleeds (aMD -0.67 (95% CI -1.85 to 0.51)).</p><p><strong>Conclusions: </strong>In patients with IS or transient ischaemic attack, impaired kidney function was associated with a higher risk of recurrent stroke and higher microbleeds burden, compared with those with normal kidney function. Further research is needed to investigate potential additional measures for secondary prevention in this high-risk group.</p>","PeriodicalId":16418,"journal":{"name":"Journal of Neurology, Neurosurgery, and Psychiatry","volume":" ","pages":"842-851"},"PeriodicalIF":7.5000,"publicationDate":"2025-08-14","publicationTypes":"Journal Article","fieldsOfStudy":null,"isOpenAccess":false,"openAccessPdf":"https://www.ncbi.nlm.nih.gov/pmc/articles/PMC12418584/pdf/","citationCount":"0","resultStr":"{\"title\":\"Increased risk of recurrent stroke in patients with impaired kidney function: results of a pooled analysis of individual patient data from the MICON international collaboration.\",\"authors\":\"Jeremy Molad, Kaori Miwa, Philip S Nash, Gareth Ambler, Jonathan Best, Duncan Wilson, Hen Hallevi, Simon Fandler-Höfler, Sebastian Eppinger, Houwei Du, Rustam Al-Shahi Salman, Hans R Jäger, Gregory Y H Lip, Martina B Goeldlin, Morin Beyeler, Philipp Bücke, Marwan El-Koussy, Heinrich Paul Mattle, Leonidas D Panos, Dianne H K van Dam-Nolen, Florian Dubost, Jeroen Hendrikse, M Eline Kooi, Werner Mess, Paul J Nederkoorn, Masayuki Shiozawa, Nicolas Christ, Maximilian Bellut, Sarah Gunkel, Christopher Karayiannis, John Van Ly, Shaloo Singhal, Lee-Anne Slater, Young Dae Kim, Tae-Jin Song, Keon-Joo Lee, Jae-Sung Lim, Hideo Hara, Masashi Nishihara, Jun Tanaka, Masaaki Yoshikawa, Derya Selcuk Demirelli, Zeynep Tanriverdi, Ender Uysal, Shelagh B Coutts, Francesca M Chappell, Stephen Makin, Henry Ka-Fung Mak, Kay Cheong Teo, Debbie Y K Wong, Lisa Hert, Marta Kubacka, Philippe Lyrer, Alexandros A Polymeris, Benjamin Wagner, Annaelle Zietz, Jill M Abrigo, Cyrus Cheng, Winnie C W Chu, Thomas W H Leung, Suk Fung Tsang, Brian Yiu, David J Seiffge, Urs Fischer, Simon Jung, Christian Enzinger, Thomas Gattringer, Daniel Bos, Kazunori Toyoda, Felix Fluri, Thanh G Phan, Velandai Srikanth, Ji Hoe Heo, Hee-Joon Bae, Yusuke Yakushiji, Dilek Necioglu Orken, Eric E Smith, Joanna M Wardlaw, Kui Kai Lau, Stefan T Engelter, Nils Peters, Yannie Soo, David C Wheeler, Robert J Simister, Natan M Bornstein, David J Werring, Einor Ben Assayag, Masatoshi Koga\",\"doi\":\"10.1136/jnnp-2024-335110\",\"DOIUrl\":null,\"url\":null,\"abstract\":\"<p><strong>Background: </strong>Patients with chronic kidney disease are at increased risk of stroke and frequently have cerebral microbleeds. Whether such patients also encounter an increased risk of recurrent stroke has not been firmly established. We aimed to determine whether impaired kidney function is associated with the risk of recurrent stroke, and microbleed presence, distribution and severity.</p><p><strong>Methods: </strong>We used pooled data from the Microbleeds International Collaborate Network to investigate associations of impaired kidney function, defined as estimated glomerular filtration rate (eGFR) <60 mL/min/1.73 m<sup>2</sup>. Our primary outcome was a composite of recurrent ischaemic stroke (IS) and intracranial haemorrhage (ICrH). Secondary outcomes included: (1) individual components of the primary outcome; (2) modification of the primary outcome by microbleed presence or anticoagulant use and (3) microbleed presence, distribution and severity.</p><p><strong>Results: </strong>11 175 patients (mean age 70.7±12.6, 42% female) were included, of which 2815 (25.2%) had impaired kidney function. Compared with eGFR ≥60, eGFR <60 was associated with a higher risk of the primary outcome (adjusted HR, aHR 1.33 (95% CI 1.14 to 1.56), p<0.001) and higher rates of the recurrent IS (aHR 1.33 (95% CI 1.12 to 1.58)). Reduced eGFR was not associated with ICrH risk (aHR 1.07 (95% CI 0.70 to 1.60)). eGFR was also associated with microbleed presence (adjusted OR, aOR 1.14 (95% CI 1.03 to 1.26)) and severity (aOR 1.17 (95% CI 1.06 to 1.29)). Compared with having no microbleeds, eGFR was lower in those with strictly lobar microbleeds (adjusted mean difference (aMD) -2.10 mL/min/1.73 cm<sup>2</sup> (95% CI -3.39 to -0.81)) and mixed microbleeds (aMD -2.42 (95% CI -3.70 to -1.15)), but not strictly deep microbleeds (aMD -0.67 (95% CI -1.85 to 0.51)).</p><p><strong>Conclusions: </strong>In patients with IS or transient ischaemic attack, impaired kidney function was associated with a higher risk of recurrent stroke and higher microbleeds burden, compared with those with normal kidney function. Further research is needed to investigate potential additional measures for secondary prevention in this high-risk group.</p>\",\"PeriodicalId\":16418,\"journal\":{\"name\":\"Journal of Neurology, Neurosurgery, and Psychiatry\",\"volume\":\" \",\"pages\":\"842-851\"},\"PeriodicalIF\":7.5000,\"publicationDate\":\"2025-08-14\",\"publicationTypes\":\"Journal Article\",\"fieldsOfStudy\":null,\"isOpenAccess\":false,\"openAccessPdf\":\"https://www.ncbi.nlm.nih.gov/pmc/articles/PMC12418584/pdf/\",\"citationCount\":\"0\",\"resultStr\":null,\"platform\":\"Semanticscholar\",\"paperid\":null,\"PeriodicalName\":\"Journal of Neurology, Neurosurgery, and Psychiatry\",\"FirstCategoryId\":\"3\",\"ListUrlMain\":\"https://doi.org/10.1136/jnnp-2024-335110\",\"RegionNum\":1,\"RegionCategory\":\"医学\",\"ArticlePicture\":[],\"TitleCN\":null,\"AbstractTextCN\":null,\"PMCID\":null,\"EPubDate\":\"\",\"PubModel\":\"\",\"JCR\":\"Q1\",\"JCRName\":\"CLINICAL NEUROLOGY\",\"Score\":null,\"Total\":0}","platform":"Semanticscholar","paperid":null,"PeriodicalName":"Journal of Neurology, Neurosurgery, and Psychiatry","FirstCategoryId":"3","ListUrlMain":"https://doi.org/10.1136/jnnp-2024-335110","RegionNum":1,"RegionCategory":"医学","ArticlePicture":[],"TitleCN":null,"AbstractTextCN":null,"PMCID":null,"EPubDate":"","PubModel":"","JCR":"Q1","JCRName":"CLINICAL NEUROLOGY","Score":null,"Total":0}
引用次数: 0

摘要

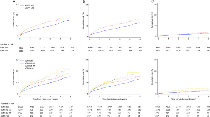
背景:慢性肾脏疾病患者卒中风险增加,且经常发生脑微出血。这类患者是否也会增加中风复发的风险,目前还没有明确的结论。我们的目的是确定肾功能受损是否与卒中复发风险、微出血的存在、分布和严重程度有关。方法:我们使用来自micro出血国际合作网络的汇总数据来研究肾功能受损的相关性,定义为肾小球滤过率(eGFR) 2。我们的主要结局是复发性缺血性卒中(IS)和颅内出血(ICrH)的综合结果。次要结局包括:(1)主要结局的各个组成部分;(2)微出血的存在或抗凝剂的使用改变了主要结局;(3)微出血的存在、分布和严重程度。结果:共纳入11 175例患者(平均年龄70.7±12.6岁,女性占42%),其中肾功能受损2815例(25.2%)。与eGFR≥60相比,eGFR 2 (95% CI -3.39至-0.81)和混合性微出血(aMD -2.42 (95% CI -3.70至-1.15)),但不是严格意义上的深度微出血(aMD -0.67 (95% CI -1.85至0.51))。结论:与肾功能正常的患者相比,在IS或短暂性缺血发作患者中,肾功能受损与卒中复发风险和微出血负担增加相关。需要进一步的研究来调查在这一高危人群中潜在的其他二级预防措施。
本文章由计算机程序翻译,如有差异,请以英文原文为准。

Increased risk of recurrent stroke in patients with impaired kidney function: results of a pooled analysis of individual patient data from the MICON international collaboration.

Increased risk of recurrent stroke in patients with impaired kidney function: results of a pooled analysis of individual patient data from the MICON international collaboration.

Increased risk of recurrent stroke in patients with impaired kidney function: results of a pooled analysis of individual patient data from the MICON international collaboration.

Increased risk of recurrent stroke in patients with impaired kidney function: results of a pooled analysis of individual patient data from the MICON international collaboration.

Background: Patients with chronic kidney disease are at increased risk of stroke and frequently have cerebral microbleeds. Whether such patients also encounter an increased risk of recurrent stroke has not been firmly established. We aimed to determine whether impaired kidney function is associated with the risk of recurrent stroke, and microbleed presence, distribution and severity.

Methods: We used pooled data from the Microbleeds International Collaborate Network to investigate associations of impaired kidney function, defined as estimated glomerular filtration rate (eGFR) <60 mL/min/1.73 m2. Our primary outcome was a composite of recurrent ischaemic stroke (IS) and intracranial haemorrhage (ICrH). Secondary outcomes included: (1) individual components of the primary outcome; (2) modification of the primary outcome by microbleed presence or anticoagulant use and (3) microbleed presence, distribution and severity.

Results: 11 175 patients (mean age 70.7±12.6, 42% female) were included, of which 2815 (25.2%) had impaired kidney function. Compared with eGFR ≥60, eGFR <60 was associated with a higher risk of the primary outcome (adjusted HR, aHR 1.33 (95% CI 1.14 to 1.56), p<0.001) and higher rates of the recurrent IS (aHR 1.33 (95% CI 1.12 to 1.58)). Reduced eGFR was not associated with ICrH risk (aHR 1.07 (95% CI 0.70 to 1.60)). eGFR was also associated with microbleed presence (adjusted OR, aOR 1.14 (95% CI 1.03 to 1.26)) and severity (aOR 1.17 (95% CI 1.06 to 1.29)). Compared with having no microbleeds, eGFR was lower in those with strictly lobar microbleeds (adjusted mean difference (aMD) -2.10 mL/min/1.73 cm2 (95% CI -3.39 to -0.81)) and mixed microbleeds (aMD -2.42 (95% CI -3.70 to -1.15)), but not strictly deep microbleeds (aMD -0.67 (95% CI -1.85 to 0.51)).

Conclusions: In patients with IS or transient ischaemic attack, impaired kidney function was associated with a higher risk of recurrent stroke and higher microbleeds burden, compared with those with normal kidney function. Further research is needed to investigate potential additional measures for secondary prevention in this high-risk group.

求助全文
通过发布文献求助,成功后即可免费获取论文全文。 去求助
来源期刊
CiteScore
15.70
自引率
1.80%
发文量
888
审稿时长
6 months
期刊介绍: The Journal of Neurology, Neurosurgery & Psychiatry (JNNP) aspires to publish groundbreaking and cutting-edge research worldwide. Covering the entire spectrum of neurological sciences, the journal focuses on common disorders like stroke, multiple sclerosis, Parkinson’s disease, epilepsy, peripheral neuropathy, subarachnoid haemorrhage, and neuropsychiatry, while also addressing complex challenges such as ALS. With early online publication, regular podcasts, and an extensive archive collection boasting the longest half-life in clinical neuroscience journals, JNNP aims to be a trailblazer in the field.
×
引用
GB/T 7714-2015
复制
MLA
复制
APA
复制
导出至
BibTeX EndNote RefMan NoteFirst NoteExpress
×
提示
您的信息不完整,为了账户安全,请先补充。
现在去补充
×
提示
您因"违规操作"
具体请查看互助需知
我知道了
×
提示
确定
请完成安全验证×
copy
已复制链接
快去分享给好友吧!
我知道了
右上角分享
点击右上角分享
0
联系我们:info@booksci.cn Book学术提供免费学术资源搜索服务,方便国内外学者检索中英文文献。致力于提供最便捷和优质的服务体验。 Copyright © 2023 布克学术 All rights reserved.
京ICP备2023020795号-1
ghs 京公网安备 11010802042870号
Book学术文献互助
Book学术文献互助群
群 号:604180095
Book学术官方微信