到溶栓和组织挽救的时间:评估严重冻伤后的反应。

IF 1.8 4区 医学 Q3 CRITICAL CARE MEDICINE
Rachel M Nygaard, Emily Colonna, Rediat A Tilahun, Charly Vang, Gopal Punjabi, Alexandra Lacey, Kyle Schmitz, Derek C Lumbard
{"title":"到溶栓和组织挽救的时间:评估严重冻伤后的反应。","authors":"Rachel M Nygaard, Emily Colonna, Rediat A Tilahun, Charly Vang, Gopal Punjabi, Alexandra Lacey, Kyle Schmitz, Derek C Lumbard","doi":"10.1093/jbcr/iraf051","DOIUrl":null,"url":null,"abstract":"<p><p>Approximately 30% of severe frostbite injuries result in amputation. Thrombolytic therapy is used to reduce tissue loss following severe frostbite injury. This study evaluates factors impacting the effectiveness of thrombolytics using post-treatment perfusion imaging and amputation level as outcome measures. We hypothesize that categorizing thrombolytic-treated patients into full, partial, and nonresponders enable a nuanced evaluation of treatment effectiveness. A prospectively maintained frostbite database was reviewed for patients with post-rewarming perfusion deficits measured by Tc99 scans who received IV thrombolytics. Of 131 patients, 71% were full responders, 23.7% were partial responders, and 5.3% were nonresponders for surgical outcome. The median time to thrombolytics was 5.5 h (range 1-14.5) for full responders; 7 h (range 3.5-14) for partial responders; and 10 h (range 1.5-11.5) for nonresponders. Full responders exhibited smaller initial perfusion deficits. Psychosocial or comorbid factors were not significantly different across groups. Nonresponse was associated with a longer time to thrombolytics, larger perfusion deficits, and cellulitis/infection. Using imaging outcomes to reduce confounding by infection, 93 patients were evaluated: 28% were full responders, 57% were partial responders, and 15% were nonresponders. Full responders for imaging outcomes corresponded with surgical outcomes and had no amputations, while 37.7% of partial responders and 42.9% of nonresponders on imaging outcomes had amputations. This study is the largest to evaluate thrombolytic outcomes in severe frostbite-injured patients, showing nearly 95% of patients improve after thrombolytic treatment for severe frostbite injury. This provides new insight into thrombolytic responses and a novel assessment of thrombolytic treatment efficacy. These findings underscore the importance of timely thrombolytic administration and demonstrate benefits for patients treated outside the standard thrombolytic treatment windows.</p>","PeriodicalId":15205,"journal":{"name":"Journal of Burn Care & Research","volume":" ","pages":"730-740"},"PeriodicalIF":1.8000,"publicationDate":"2025-08-30","publicationTypes":"Journal Article","fieldsOfStudy":null,"isOpenAccess":false,"openAccessPdf":"https://www.ncbi.nlm.nih.gov/pmc/articles/PMC12397684/pdf/","citationCount":"0","resultStr":"{\"title\":\"Time to Thrombolytics and Tissue Salvage: Assessing Response Following Severe Frostbite Injury.\",\"authors\":\"Rachel M Nygaard, Emily Colonna, Rediat A Tilahun, Charly Vang, Gopal Punjabi, Alexandra Lacey, Kyle Schmitz, Derek C Lumbard\",\"doi\":\"10.1093/jbcr/iraf051\",\"DOIUrl\":null,\"url\":null,\"abstract\":\"<p><p>Approximately 30% of severe frostbite injuries result in amputation. Thrombolytic therapy is used to reduce tissue loss following severe frostbite injury. This study evaluates factors impacting the effectiveness of thrombolytics using post-treatment perfusion imaging and amputation level as outcome measures. We hypothesize that categorizing thrombolytic-treated patients into full, partial, and nonresponders enable a nuanced evaluation of treatment effectiveness. A prospectively maintained frostbite database was reviewed for patients with post-rewarming perfusion deficits measured by Tc99 scans who received IV thrombolytics. Of 131 patients, 71% were full responders, 23.7% were partial responders, and 5.3% were nonresponders for surgical outcome. The median time to thrombolytics was 5.5 h (range 1-14.5) for full responders; 7 h (range 3.5-14) for partial responders; and 10 h (range 1.5-11.5) for nonresponders. Full responders exhibited smaller initial perfusion deficits. Psychosocial or comorbid factors were not significantly different across groups. Nonresponse was associated with a longer time to thrombolytics, larger perfusion deficits, and cellulitis/infection. Using imaging outcomes to reduce confounding by infection, 93 patients were evaluated: 28% were full responders, 57% were partial responders, and 15% were nonresponders. Full responders for imaging outcomes corresponded with surgical outcomes and had no amputations, while 37.7% of partial responders and 42.9% of nonresponders on imaging outcomes had amputations. This study is the largest to evaluate thrombolytic outcomes in severe frostbite-injured patients, showing nearly 95% of patients improve after thrombolytic treatment for severe frostbite injury. This provides new insight into thrombolytic responses and a novel assessment of thrombolytic treatment efficacy. These findings underscore the importance of timely thrombolytic administration and demonstrate benefits for patients treated outside the standard thrombolytic treatment windows.</p>\",\"PeriodicalId\":15205,\"journal\":{\"name\":\"Journal of Burn Care & Research\",\"volume\":\" \",\"pages\":\"730-740\"},\"PeriodicalIF\":1.8000,\"publicationDate\":\"2025-08-30\",\"publicationTypes\":\"Journal Article\",\"fieldsOfStudy\":null,\"isOpenAccess\":false,\"openAccessPdf\":\"https://www.ncbi.nlm.nih.gov/pmc/articles/PMC12397684/pdf/\",\"citationCount\":\"0\",\"resultStr\":null,\"platform\":\"Semanticscholar\",\"paperid\":null,\"PeriodicalName\":\"Journal of Burn Care & Research\",\"FirstCategoryId\":\"3\",\"ListUrlMain\":\"https://doi.org/10.1093/jbcr/iraf051\",\"RegionNum\":4,\"RegionCategory\":\"医学\",\"ArticlePicture\":[],\"TitleCN\":null,\"AbstractTextCN\":null,\"PMCID\":null,\"EPubDate\":\"\",\"PubModel\":\"\",\"JCR\":\"Q3\",\"JCRName\":\"CRITICAL CARE MEDICINE\",\"Score\":null,\"Total\":0}","platform":"Semanticscholar","paperid":null,"PeriodicalName":"Journal of Burn Care & Research","FirstCategoryId":"3","ListUrlMain":"https://doi.org/10.1093/jbcr/iraf051","RegionNum":4,"RegionCategory":"医学","ArticlePicture":[],"TitleCN":null,"AbstractTextCN":null,"PMCID":null,"EPubDate":"","PubModel":"","JCR":"Q3","JCRName":"CRITICAL CARE MEDICINE","Score":null,"Total":0}
引用次数: 0

摘要

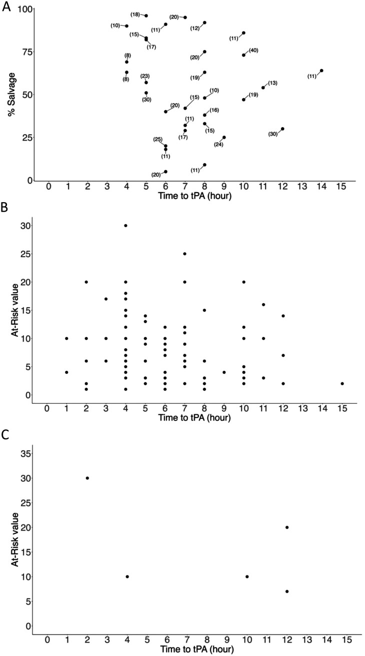
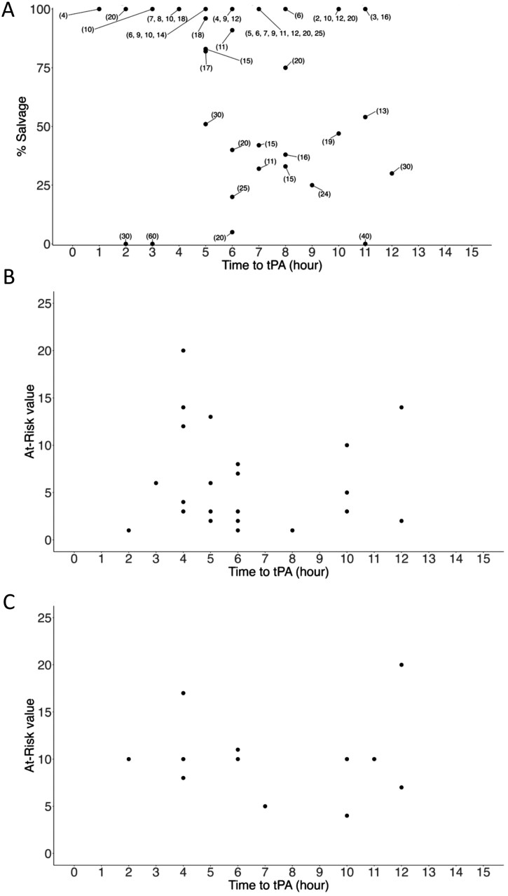
大约30%的严重冻伤导致截肢。溶栓治疗用于减少严重冻伤后的组织损失。本研究以治疗后灌注成像和截肢水平作为结局指标,评估影响溶栓药物疗效的因素。我们假设将溶栓治疗的患者分为完全、部分和无反应,可以对治疗效果进行细致入微的评估。我们回顾了一个前瞻性维持的冻伤数据库,该数据库是由接受静脉溶栓治疗的Tc99扫描测量的复温后灌注缺陷患者。131例患者中,71%对手术结果完全缓解,23.7%部分缓解,5.3%无反应。完全缓解的中位溶栓时间为5.5小时(范围1-14.5);部分反应时间7小时(范围3.5-14小时);无反应10小时(范围1.5-11.5)。完全应答者表现出较小的初始灌注缺陷。社会心理或共病因素在各组间无显著差异。无应答与较长的溶栓时间、较大的灌注缺陷和蜂窝织炎/感染相关。使用影像学结果来减少感染的混淆,对93例患者进行了评估:28%为完全缓解者,57%为部分缓解者,15%为无反应者。成像结果完全应答者与手术结果一致,没有截肢,而成像结果部分应答者的37.7%和无应答者的42.9%有截肢。这项研究是评估严重冻伤患者溶栓结果的最大研究,为溶栓反应提供了新的见解,并对溶栓治疗效果进行了新的评估。这些发现强调了及时溶栓给药的重要性,并证明了在标准溶栓治疗窗口外治疗的患者的益处。
本文章由计算机程序翻译,如有差异,请以英文原文为准。

Time to Thrombolytics and Tissue Salvage: Assessing Response Following Severe Frostbite Injury.

Time to Thrombolytics and Tissue Salvage: Assessing Response Following Severe Frostbite Injury.

Time to Thrombolytics and Tissue Salvage: Assessing Response Following Severe Frostbite Injury.

Time to Thrombolytics and Tissue Salvage: Assessing Response Following Severe Frostbite Injury.

Approximately 30% of severe frostbite injuries result in amputation. Thrombolytic therapy is used to reduce tissue loss following severe frostbite injury. This study evaluates factors impacting the effectiveness of thrombolytics using post-treatment perfusion imaging and amputation level as outcome measures. We hypothesize that categorizing thrombolytic-treated patients into full, partial, and nonresponders enable a nuanced evaluation of treatment effectiveness. A prospectively maintained frostbite database was reviewed for patients with post-rewarming perfusion deficits measured by Tc99 scans who received IV thrombolytics. Of 131 patients, 71% were full responders, 23.7% were partial responders, and 5.3% were nonresponders for surgical outcome. The median time to thrombolytics was 5.5 h (range 1-14.5) for full responders; 7 h (range 3.5-14) for partial responders; and 10 h (range 1.5-11.5) for nonresponders. Full responders exhibited smaller initial perfusion deficits. Psychosocial or comorbid factors were not significantly different across groups. Nonresponse was associated with a longer time to thrombolytics, larger perfusion deficits, and cellulitis/infection. Using imaging outcomes to reduce confounding by infection, 93 patients were evaluated: 28% were full responders, 57% were partial responders, and 15% were nonresponders. Full responders for imaging outcomes corresponded with surgical outcomes and had no amputations, while 37.7% of partial responders and 42.9% of nonresponders on imaging outcomes had amputations. This study is the largest to evaluate thrombolytic outcomes in severe frostbite-injured patients, showing nearly 95% of patients improve after thrombolytic treatment for severe frostbite injury. This provides new insight into thrombolytic responses and a novel assessment of thrombolytic treatment efficacy. These findings underscore the importance of timely thrombolytic administration and demonstrate benefits for patients treated outside the standard thrombolytic treatment windows.

求助全文
通过发布文献求助,成功后即可免费获取论文全文。 去求助
来源期刊
CiteScore
2.60
自引率
21.40%
发文量
535
审稿时长
4-8 weeks
期刊介绍: Journal of Burn Care & Research provides the latest information on advances in burn prevention, research, education, delivery of acute care, and research to all members of the burn care team. As the official publication of the American Burn Association, this is the only U.S. journal devoted exclusively to the treatment and research of patients with burns. Original, peer-reviewed articles present the latest information on surgical procedures, acute care, reconstruction, burn prevention, and research and education. Other topics include physical therapy/occupational therapy, nutrition, current events in the evolving healthcare debate, and reports on the newest computer software for diagnostics and treatment. The Journal serves all burn care specialists, from physicians, nurses, and physical and occupational therapists to psychologists, counselors, and researchers.
×
引用
GB/T 7714-2015
复制
MLA
复制
APA
复制
导出至
BibTeX EndNote RefMan NoteFirst NoteExpress
×
提示
您的信息不完整,为了账户安全,请先补充。
现在去补充
×
提示
您因"违规操作"
具体请查看互助需知
我知道了
×
提示
确定
请完成安全验证×
copy
已复制链接
快去分享给好友吧!
我知道了
右上角分享
点击右上角分享
0
联系我们:info@booksci.cn Book学术提供免费学术资源搜索服务,方便国内外学者检索中英文文献。致力于提供最便捷和优质的服务体验。 Copyright © 2023 布克学术 All rights reserved.
京ICP备2023020795号-1
ghs 京公网安备 11010802042870号
Book学术文献互助
Book学术文献互助群
群 号:604180095
Book学术官方微信