中国恶性黑色素瘤和其他原发性肿瘤患者的临床特征、预后和基因突变的差异

IF 4.3
Annals of medicine Pub Date : 2025-12-01 Epub Date: 2025-05-03 DOI:10.1080/07853890.2025.2493769
Jing Lin, Zhongqiao Lin, Yanping Chen, Xuefeng Wang, Yufang Huang, Huishan Zhang, Li Zhu, Zelong Xu, Xuan Gao, Yingqian Zhang, Bin Lan, Yu Chen
{"title":"中国恶性黑色素瘤和其他原发性肿瘤患者的临床特征、预后和基因突变的差异","authors":"Jing Lin, Zhongqiao Lin, Yanping Chen, Xuefeng Wang, Yufang Huang, Huishan Zhang, Li Zhu, Zelong Xu, Xuan Gao, Yingqian Zhang, Bin Lan, Yu Chen","doi":"10.1080/07853890.2025.2493769","DOIUrl":null,"url":null,"abstract":"<p><strong>Background: </strong>The differences in the clinical features, prognosis and genetic mutations in Chinese patients with malignant melanoma (MM) and additional primary tumours remain unclear.</p><p><strong>Methods: </strong>A retrospective analysis was conducted on patients with malignancies in Fujian Cancer Hospital from January 2007 to September 2022, end follow-up in September 2023. Clinical data were gathered, survival analysis was performed, and genetic mutations were detected.</p><p><strong>Results: </strong>There were 58 of 1223 melanoma patients with melanoma and additional primary tumours, an incidence of 4.74%. Acral MM was the most common subtype (26/58), 23 (39.66%) patients had concomitant digestive tumours. Patients who had MM as their first primary tumour (MMFP) had shorter tumour occurrence intervals (9.93 vs. 57.78 months, <i>p</i> = .008) but longer melanoma survival (MM-OS) than the non-MMFP group (100.43 vs. 18.93 months, <i>p</i> = .015). Patients with cancer family histories were more likely to have pathogenic and likely pathogenic (P/LP) mutations (2/5 vs. 4/25). The somatic BRAF gene mutation was frequently observed in MM tissue (8/19, 42.11%). Three patients had whole-genome doubling and microsatellite instability-high (MSI-H). The COSMIC2 signature 3 was significantly higher in the P/LP group.</p><p><strong>Conclusions: </strong>The frequency of MM and additional primary tumours is about 5% in Chinese populations. Patients with melanoma diagnosed first have longer melanoma survival. Digestive system tumours were the most concomitant; a digestive examination is advisable, especially for those with an expected overall survival (OS) greater than 10 months. Meanwhile, patient's family cancer history should be followed up in detail, along with completion of germline P/LP mutation and somatic mutation testing, all of which may provide valuable support for further treatment.</p>","PeriodicalId":93874,"journal":{"name":"Annals of medicine","volume":"57 1","pages":"2493769"},"PeriodicalIF":4.3000,"publicationDate":"2025-12-01","publicationTypes":"Journal Article","fieldsOfStudy":null,"isOpenAccess":false,"openAccessPdf":"https://www.ncbi.nlm.nih.gov/pmc/articles/PMC12051608/pdf/","citationCount":"0","resultStr":"{\"title\":\"Differences of clinical features, prognosis and genetic mutations in Chinese patients with malignant melanoma and additional primary tumours.\",\"authors\":\"Jing Lin, Zhongqiao Lin, Yanping Chen, Xuefeng Wang, Yufang Huang, Huishan Zhang, Li Zhu, Zelong Xu, Xuan Gao, Yingqian Zhang, Bin Lan, Yu Chen\",\"doi\":\"10.1080/07853890.2025.2493769\",\"DOIUrl\":null,\"url\":null,\"abstract\":\"<p><strong>Background: </strong>The differences in the clinical features, prognosis and genetic mutations in Chinese patients with malignant melanoma (MM) and additional primary tumours remain unclear.</p><p><strong>Methods: </strong>A retrospective analysis was conducted on patients with malignancies in Fujian Cancer Hospital from January 2007 to September 2022, end follow-up in September 2023. Clinical data were gathered, survival analysis was performed, and genetic mutations were detected.</p><p><strong>Results: </strong>There were 58 of 1223 melanoma patients with melanoma and additional primary tumours, an incidence of 4.74%. Acral MM was the most common subtype (26/58), 23 (39.66%) patients had concomitant digestive tumours. Patients who had MM as their first primary tumour (MMFP) had shorter tumour occurrence intervals (9.93 vs. 57.78 months, <i>p</i> = .008) but longer melanoma survival (MM-OS) than the non-MMFP group (100.43 vs. 18.93 months, <i>p</i> = .015). Patients with cancer family histories were more likely to have pathogenic and likely pathogenic (P/LP) mutations (2/5 vs. 4/25). The somatic BRAF gene mutation was frequently observed in MM tissue (8/19, 42.11%). Three patients had whole-genome doubling and microsatellite instability-high (MSI-H). The COSMIC2 signature 3 was significantly higher in the P/LP group.</p><p><strong>Conclusions: </strong>The frequency of MM and additional primary tumours is about 5% in Chinese populations. Patients with melanoma diagnosed first have longer melanoma survival. Digestive system tumours were the most concomitant; a digestive examination is advisable, especially for those with an expected overall survival (OS) greater than 10 months. Meanwhile, patient's family cancer history should be followed up in detail, along with completion of germline P/LP mutation and somatic mutation testing, all of which may provide valuable support for further treatment.</p>\",\"PeriodicalId\":93874,\"journal\":{\"name\":\"Annals of medicine\",\"volume\":\"57 1\",\"pages\":\"2493769\"},\"PeriodicalIF\":4.3000,\"publicationDate\":\"2025-12-01\",\"publicationTypes\":\"Journal Article\",\"fieldsOfStudy\":null,\"isOpenAccess\":false,\"openAccessPdf\":\"https://www.ncbi.nlm.nih.gov/pmc/articles/PMC12051608/pdf/\",\"citationCount\":\"0\",\"resultStr\":null,\"platform\":\"Semanticscholar\",\"paperid\":null,\"PeriodicalName\":\"Annals of medicine\",\"FirstCategoryId\":\"1085\",\"ListUrlMain\":\"https://doi.org/10.1080/07853890.2025.2493769\",\"RegionNum\":0,\"RegionCategory\":null,\"ArticlePicture\":[],\"TitleCN\":null,\"AbstractTextCN\":null,\"PMCID\":null,\"EPubDate\":\"2025/5/3 0:00:00\",\"PubModel\":\"Epub\",\"JCR\":\"\",\"JCRName\":\"\",\"Score\":null,\"Total\":0}","platform":"Semanticscholar","paperid":null,"PeriodicalName":"Annals of medicine","FirstCategoryId":"1085","ListUrlMain":"https://doi.org/10.1080/07853890.2025.2493769","RegionNum":0,"RegionCategory":null,"ArticlePicture":[],"TitleCN":null,"AbstractTextCN":null,"PMCID":null,"EPubDate":"2025/5/3 0:00:00","PubModel":"Epub","JCR":"","JCRName":"","Score":null,"Total":0}
引用次数: 0

摘要

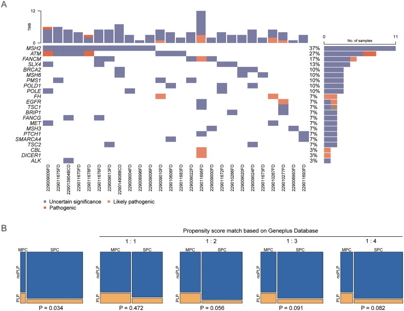
背景:中国恶性黑色素瘤(MM)患者与其他原发肿瘤患者的临床特征、预后和基因突变差异尚不清楚。方法:回顾性分析福建省肿瘤医院2007年1月至2022年9月恶性肿瘤患者,于2023年9月结束随访。收集临床资料,进行生存分析,并检测基因突变。结果:1223例黑色素瘤患者中有58例合并黑色素瘤及其他原发肿瘤,发病率为4.74%。肢端MM是最常见的亚型(26/58),23例(39.66%)患者伴有消化道肿瘤。与非MMFP组相比,以MM为第一原发肿瘤(MMFP)的患者肿瘤发生间隔(9.93 vs. 57.78个月,p = 0.008)较短,但黑色素瘤生存期(MM- os)较长(100.43 vs. 18.93个月,p = 0.015)。有癌症家族史的患者更容易发生致病性和可能致病性(P/LP)突变(2/5 vs 4/25)。体细胞BRAF基因突变在MM组织中较为常见(8/19,42.11%)。3例患者全基因组加倍,微卫星不稳定性高(MSI-H)。P/LP组COSMIC2特征3显著升高。结论:中国人群中MM和其他原发肿瘤的发生率约为5%。首次确诊的黑色素瘤患者存活时间更长。消化系统肿瘤伴发性最强;建议进行消化检查,特别是那些预期总生存期(OS)大于10个月的患者。同时对患者家族史进行详细随访,完成种系P/LP突变和体细胞突变检测,为进一步治疗提供有价值的支持。
本文章由计算机程序翻译,如有差异,请以英文原文为准。

Differences of clinical features, prognosis and genetic mutations in Chinese patients with malignant melanoma and additional primary tumours.

Differences of clinical features, prognosis and genetic mutations in Chinese patients with malignant melanoma and additional primary tumours.

Differences of clinical features, prognosis and genetic mutations in Chinese patients with malignant melanoma and additional primary tumours.

Differences of clinical features, prognosis and genetic mutations in Chinese patients with malignant melanoma and additional primary tumours.

Background: The differences in the clinical features, prognosis and genetic mutations in Chinese patients with malignant melanoma (MM) and additional primary tumours remain unclear.

Methods: A retrospective analysis was conducted on patients with malignancies in Fujian Cancer Hospital from January 2007 to September 2022, end follow-up in September 2023. Clinical data were gathered, survival analysis was performed, and genetic mutations were detected.

Results: There were 58 of 1223 melanoma patients with melanoma and additional primary tumours, an incidence of 4.74%. Acral MM was the most common subtype (26/58), 23 (39.66%) patients had concomitant digestive tumours. Patients who had MM as their first primary tumour (MMFP) had shorter tumour occurrence intervals (9.93 vs. 57.78 months, p = .008) but longer melanoma survival (MM-OS) than the non-MMFP group (100.43 vs. 18.93 months, p = .015). Patients with cancer family histories were more likely to have pathogenic and likely pathogenic (P/LP) mutations (2/5 vs. 4/25). The somatic BRAF gene mutation was frequently observed in MM tissue (8/19, 42.11%). Three patients had whole-genome doubling and microsatellite instability-high (MSI-H). The COSMIC2 signature 3 was significantly higher in the P/LP group.

Conclusions: The frequency of MM and additional primary tumours is about 5% in Chinese populations. Patients with melanoma diagnosed first have longer melanoma survival. Digestive system tumours were the most concomitant; a digestive examination is advisable, especially for those with an expected overall survival (OS) greater than 10 months. Meanwhile, patient's family cancer history should be followed up in detail, along with completion of germline P/LP mutation and somatic mutation testing, all of which may provide valuable support for further treatment.

求助全文
通过发布文献求助,成功后即可免费获取论文全文。 去求助
来源期刊
自引率
0.00%
发文量
0
×
引用
GB/T 7714-2015
复制
MLA
复制
APA
复制
导出至
BibTeX EndNote RefMan NoteFirst NoteExpress
×
提示
您的信息不完整,为了账户安全,请先补充。
现在去补充
×
提示
您因"违规操作"
具体请查看互助需知
我知道了
×
提示
确定
请完成安全验证×
copy
已复制链接
快去分享给好友吧!
我知道了
右上角分享
点击右上角分享
0
联系我们:info@booksci.cn Book学术提供免费学术资源搜索服务,方便国内外学者检索中英文文献。致力于提供最便捷和优质的服务体验。 Copyright © 2023 布克学术 All rights reserved.
京ICP备2023020795号-1
ghs 京公网安备 11010802042870号
Book学术文献互助
Book学术文献互助群
群 号:604180095
Book学术官方微信