弹道双层石墨烯约瑟夫森结中依赖费米速度的临界电流。

IF 6.3 Q2 NANOSCIENCE & NANOTECHNOLOGY
ACS Nanoscience Au Pub Date : 2025-03-19 eCollection Date: 2025-04-16 DOI:10.1021/acsnanoscienceau.4c00080
Amis Sharma, Chun-Chia Chen, Jordan McCourt, Mingi Kim, Kenji Watanabe, Takashi Taniguchi, Leonid Rokhinson, Gleb Finkelstein, Ivan Borzenets
{"title":"弹道双层石墨烯约瑟夫森结中依赖费米速度的临界电流。","authors":"Amis Sharma, Chun-Chia Chen, Jordan McCourt, Mingi Kim, Kenji Watanabe, Takashi Taniguchi, Leonid Rokhinson, Gleb Finkelstein, Ivan Borzenets","doi":"10.1021/acsnanoscienceau.4c00080","DOIUrl":null,"url":null,"abstract":"<p><p>We perform transport measurements on proximitized, ballistic, bilayer graphene Josephson junctions (BGJJs) in the intermediate-to-long junction regime (<i>L</i> > ξ). We measure the device's differential resistance as a function of bias current and gate voltage for a range of different temperatures. The extracted critical current <i>I</i> <sub>C</sub> follows an exponential trend with temperature: exp(-<i>k</i> <sub>B</sub> <i>T</i>/<i>δE</i>). Here <i>δE</i> = ℏν <sub><i>F</i></sub> /2<i>πL</i>: an expected trend for intermediate-to-long junctions. From <i>δE</i>, we determine the Fermi velocity of the bilayer graphene, which is found to increase with gate voltage. Simultaneously, we show the carrier density dependence of <i>δE</i>, which is attributed to the quadratic dispersion of bilayer graphene. This is in contrast to single layer graphene Josephson junctions, where <i>δE</i> and the Fermi velocity are independent of the carrier density. The carrier density dependence in BGJJs allows for additional tuning parameters in graphene-based Josephson junction devices.</p>","PeriodicalId":29799,"journal":{"name":"ACS Nanoscience Au","volume":"5 2","pages":"65-69"},"PeriodicalIF":6.3000,"publicationDate":"2025-03-19","publicationTypes":"Journal Article","fieldsOfStudy":null,"isOpenAccess":false,"openAccessPdf":"https://www.ncbi.nlm.nih.gov/pmc/articles/PMC12006853/pdf/","citationCount":"0","resultStr":"{\"title\":\"Fermi Velocity Dependent Critical Current in Ballistic Bilayer Graphene Josephson Junctions.\",\"authors\":\"Amis Sharma, Chun-Chia Chen, Jordan McCourt, Mingi Kim, Kenji Watanabe, Takashi Taniguchi, Leonid Rokhinson, Gleb Finkelstein, Ivan Borzenets\",\"doi\":\"10.1021/acsnanoscienceau.4c00080\",\"DOIUrl\":null,\"url\":null,\"abstract\":\"<p><p>We perform transport measurements on proximitized, ballistic, bilayer graphene Josephson junctions (BGJJs) in the intermediate-to-long junction regime (<i>L</i> > ξ). We measure the device's differential resistance as a function of bias current and gate voltage for a range of different temperatures. The extracted critical current <i>I</i> <sub>C</sub> follows an exponential trend with temperature: exp(-<i>k</i> <sub>B</sub> <i>T</i>/<i>δE</i>). Here <i>δE</i> = ℏν <sub><i>F</i></sub> /2<i>πL</i>: an expected trend for intermediate-to-long junctions. From <i>δE</i>, we determine the Fermi velocity of the bilayer graphene, which is found to increase with gate voltage. Simultaneously, we show the carrier density dependence of <i>δE</i>, which is attributed to the quadratic dispersion of bilayer graphene. This is in contrast to single layer graphene Josephson junctions, where <i>δE</i> and the Fermi velocity are independent of the carrier density. The carrier density dependence in BGJJs allows for additional tuning parameters in graphene-based Josephson junction devices.</p>\",\"PeriodicalId\":29799,\"journal\":{\"name\":\"ACS Nanoscience Au\",\"volume\":\"5 2\",\"pages\":\"65-69\"},\"PeriodicalIF\":6.3000,\"publicationDate\":\"2025-03-19\",\"publicationTypes\":\"Journal Article\",\"fieldsOfStudy\":null,\"isOpenAccess\":false,\"openAccessPdf\":\"https://www.ncbi.nlm.nih.gov/pmc/articles/PMC12006853/pdf/\",\"citationCount\":\"0\",\"resultStr\":null,\"platform\":\"Semanticscholar\",\"paperid\":null,\"PeriodicalName\":\"ACS Nanoscience Au\",\"FirstCategoryId\":\"1085\",\"ListUrlMain\":\"https://doi.org/10.1021/acsnanoscienceau.4c00080\",\"RegionNum\":0,\"RegionCategory\":null,\"ArticlePicture\":[],\"TitleCN\":null,\"AbstractTextCN\":null,\"PMCID\":null,\"EPubDate\":\"2025/4/16 0:00:00\",\"PubModel\":\"eCollection\",\"JCR\":\"Q2\",\"JCRName\":\"NANOSCIENCE & NANOTECHNOLOGY\",\"Score\":null,\"Total\":0}","platform":"Semanticscholar","paperid":null,"PeriodicalName":"ACS Nanoscience Au","FirstCategoryId":"1085","ListUrlMain":"https://doi.org/10.1021/acsnanoscienceau.4c00080","RegionNum":0,"RegionCategory":null,"ArticlePicture":[],"TitleCN":null,"AbstractTextCN":null,"PMCID":null,"EPubDate":"2025/4/16 0:00:00","PubModel":"eCollection","JCR":"Q2","JCRName":"NANOSCIENCE & NANOTECHNOLOGY","Score":null,"Total":0}
引用次数: 0

摘要

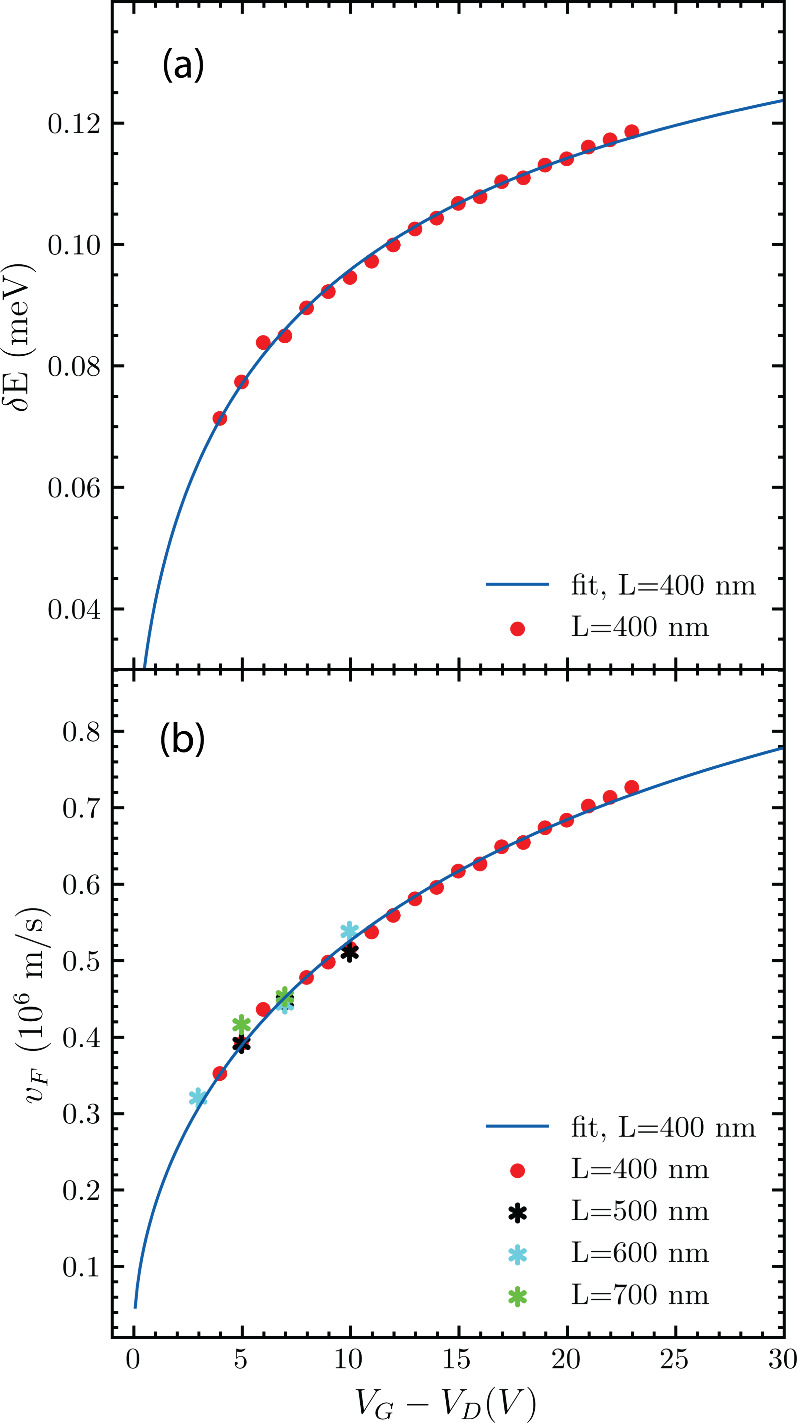
我们在中长结区(L > ξ)中对近似、弹道、双层石墨烯约瑟夫森结(BGJJs)进行了输运测量。我们测量了器件的差分电阻作为偏置电流和栅极电压在不同温度范围内的函数。提取的临界电流I C随温度呈指数趋势:exp(-k B T/δE)。这里δE = ν F /2πL:中至长结的预期趋势。从δE,我们确定了双层石墨烯的费米速度,发现它随着栅极电压的增加而增加。同时,我们显示了δE的载流子密度依赖性,这归因于双层石墨烯的二次色散。这与单层石墨烯约瑟夫森结形成对比,在单层石墨烯约瑟夫森结中,δE和费米速度与载流子密度无关。BGJJs中的载流子密度依赖性允许在基于石墨烯的约瑟夫森结器件中进行额外的调谐参数。
本文章由计算机程序翻译,如有差异,请以英文原文为准。

Fermi Velocity Dependent Critical Current in Ballistic Bilayer Graphene Josephson Junctions.

Fermi Velocity Dependent Critical Current in Ballistic Bilayer Graphene Josephson Junctions.

Fermi Velocity Dependent Critical Current in Ballistic Bilayer Graphene Josephson Junctions.

Fermi Velocity Dependent Critical Current in Ballistic Bilayer Graphene Josephson Junctions.

We perform transport measurements on proximitized, ballistic, bilayer graphene Josephson junctions (BGJJs) in the intermediate-to-long junction regime (L > ξ). We measure the device's differential resistance as a function of bias current and gate voltage for a range of different temperatures. The extracted critical current I C follows an exponential trend with temperature: exp(-k B T/δE). Here δE = ℏν F /2πL: an expected trend for intermediate-to-long junctions. From δE, we determine the Fermi velocity of the bilayer graphene, which is found to increase with gate voltage. Simultaneously, we show the carrier density dependence of δE, which is attributed to the quadratic dispersion of bilayer graphene. This is in contrast to single layer graphene Josephson junctions, where δE and the Fermi velocity are independent of the carrier density. The carrier density dependence in BGJJs allows for additional tuning parameters in graphene-based Josephson junction devices.

求助全文
通过发布文献求助,成功后即可免费获取论文全文。 去求助
来源期刊
ACS Nanoscience Au
ACS Nanoscience Au 材料科学、纳米科学-
CiteScore
4.20
自引率
0.00%
发文量
0
期刊介绍: ACS Nanoscience Au is an open access journal that publishes original fundamental and applied research on nanoscience and nanotechnology research at the interfaces of chemistry biology medicine materials science physics and engineering.The journal publishes short letters comprehensive articles reviews and perspectives on all aspects of nanoscience and nanotechnology:synthesis assembly characterization theory modeling and simulation of nanostructures nanomaterials and nanoscale devicesdesign fabrication and applications of organic inorganic polymer hybrid and biological nanostructuresexperimental and theoretical studies of nanoscale chemical physical and biological phenomenamethods and tools for nanoscience and nanotechnologyself- and directed-assemblyzero- one- and two-dimensional materialsnanostructures and nano-engineered devices with advanced performancenanobiotechnologynanomedicine and nanotoxicologyACS Nanoscience Au also publishes original experimental and theoretical research of an applied nature that integrates knowledge in the areas of materials engineering physics bioscience and chemistry into important applications of nanomaterials.
×
引用
GB/T 7714-2015
复制
MLA
复制
APA
复制
导出至
BibTeX EndNote RefMan NoteFirst NoteExpress
×
提示
您的信息不完整,为了账户安全,请先补充。
现在去补充
×
提示
您因"违规操作"
具体请查看互助需知
我知道了
×
提示
确定
请完成安全验证×
copy
已复制链接
快去分享给好友吧!
我知道了
右上角分享
点击右上角分享
0
联系我们:info@booksci.cn Book学术提供免费学术资源搜索服务,方便国内外学者检索中英文文献。致力于提供最便捷和优质的服务体验。 Copyright © 2023 布克学术 All rights reserved.
京ICP备2023020795号-1
ghs 京公网安备 11010802042870号
Book学术文献互助
Book学术文献互助群
群 号:604180095
Book学术官方微信