用家用便携式单通道装置测量睡眠脑电图客观评价重度抑郁症:初步研究。

IF 2 4区 医学 Q3 CLINICAL NEUROLOGY
Aoi Kawamura, Hiroshi Kadotani, Masahiro Suzuki, Makoto Uchiyama, Naoto Yamada, Kenichi Kuriyama
{"title":"用家用便携式单通道装置测量睡眠脑电图客观评价重度抑郁症:初步研究。","authors":"Aoi Kawamura, Hiroshi Kadotani, Masahiro Suzuki, Makoto Uchiyama, Naoto Yamada, Kenichi Kuriyama","doi":"10.1007/s11325-025-03329-9","DOIUrl":null,"url":null,"abstract":"<p><strong>Purpose: </strong>Decreased delta and increased alpha wave activity during sleep may be specific pathophysiological features of major depressive disorder; however, their usefulness as biomarkers remains unclear. We examined the use of mean alpha and delta wave power value indices during sleep to identify major depressive disorder using a portable electroencephalography device.</p><p><strong>Methods: </strong>We compared the mean alpha and delta wave power value indices of six unmedicated patients with major depressive disorder and seven age- and sex-matched healthy controls using a portable electroencephalography device in this case-controlled study.</p><p><strong>Results: </strong>The ratio of the mean alpha power values for the non-rapid and rapid eye movement periods was significantly lower in the major depressive disorder group (1.3 ± 0.2) than in the healthy group (2.3 ± 0.6; P = 0.004). The ratio of the mean delta power values for the non-rapid eye movement and rapid eye movement periods did not differ between groups but negatively correlated significantly with the Hamilton Rating Scale for Depression score (r = -0.784, P = 0.002). The area under the receiver operating characteristic curve (95% confidence interval) of the mean alpha power ratio for non-rapid eye movement and rapid eye movement periods for distinguishing the two groups was 0.93 (0.78-1.00), and both sensitivity and specificity exceeded 85% at a cut-off value ≤ 1.71.</p><p><strong>Conclusion: </strong>The alpha- and delta-related power value indices may capture different aspects of major depressive disorder pathology.</p>","PeriodicalId":21862,"journal":{"name":"Sleep and Breathing","volume":"29 2","pages":"165"},"PeriodicalIF":2.0000,"publicationDate":"2025-04-21","publicationTypes":"Journal Article","fieldsOfStudy":null,"isOpenAccess":false,"openAccessPdf":"https://www.ncbi.nlm.nih.gov/pmc/articles/PMC12011895/pdf/","citationCount":"0","resultStr":"{\"title\":\"Objective evaluation of major depressive disorder using sleep electroencephalography measured by an in-home portable one-channel device: a preliminary study.\",\"authors\":\"Aoi Kawamura, Hiroshi Kadotani, Masahiro Suzuki, Makoto Uchiyama, Naoto Yamada, Kenichi Kuriyama\",\"doi\":\"10.1007/s11325-025-03329-9\",\"DOIUrl\":null,\"url\":null,\"abstract\":\"<p><strong>Purpose: </strong>Decreased delta and increased alpha wave activity during sleep may be specific pathophysiological features of major depressive disorder; however, their usefulness as biomarkers remains unclear. We examined the use of mean alpha and delta wave power value indices during sleep to identify major depressive disorder using a portable electroencephalography device.</p><p><strong>Methods: </strong>We compared the mean alpha and delta wave power value indices of six unmedicated patients with major depressive disorder and seven age- and sex-matched healthy controls using a portable electroencephalography device in this case-controlled study.</p><p><strong>Results: </strong>The ratio of the mean alpha power values for the non-rapid and rapid eye movement periods was significantly lower in the major depressive disorder group (1.3 ± 0.2) than in the healthy group (2.3 ± 0.6; P = 0.004). The ratio of the mean delta power values for the non-rapid eye movement and rapid eye movement periods did not differ between groups but negatively correlated significantly with the Hamilton Rating Scale for Depression score (r = -0.784, P = 0.002). The area under the receiver operating characteristic curve (95% confidence interval) of the mean alpha power ratio for non-rapid eye movement and rapid eye movement periods for distinguishing the two groups was 0.93 (0.78-1.00), and both sensitivity and specificity exceeded 85% at a cut-off value ≤ 1.71.</p><p><strong>Conclusion: </strong>The alpha- and delta-related power value indices may capture different aspects of major depressive disorder pathology.</p>\",\"PeriodicalId\":21862,\"journal\":{\"name\":\"Sleep and Breathing\",\"volume\":\"29 2\",\"pages\":\"165\"},\"PeriodicalIF\":2.0000,\"publicationDate\":\"2025-04-21\",\"publicationTypes\":\"Journal Article\",\"fieldsOfStudy\":null,\"isOpenAccess\":false,\"openAccessPdf\":\"https://www.ncbi.nlm.nih.gov/pmc/articles/PMC12011895/pdf/\",\"citationCount\":\"0\",\"resultStr\":null,\"platform\":\"Semanticscholar\",\"paperid\":null,\"PeriodicalName\":\"Sleep and Breathing\",\"FirstCategoryId\":\"3\",\"ListUrlMain\":\"https://doi.org/10.1007/s11325-025-03329-9\",\"RegionNum\":4,\"RegionCategory\":\"医学\",\"ArticlePicture\":[],\"TitleCN\":null,\"AbstractTextCN\":null,\"PMCID\":null,\"EPubDate\":\"\",\"PubModel\":\"\",\"JCR\":\"Q3\",\"JCRName\":\"CLINICAL NEUROLOGY\",\"Score\":null,\"Total\":0}","platform":"Semanticscholar","paperid":null,"PeriodicalName":"Sleep and Breathing","FirstCategoryId":"3","ListUrlMain":"https://doi.org/10.1007/s11325-025-03329-9","RegionNum":4,"RegionCategory":"医学","ArticlePicture":[],"TitleCN":null,"AbstractTextCN":null,"PMCID":null,"EPubDate":"","PubModel":"","JCR":"Q3","JCRName":"CLINICAL NEUROLOGY","Score":null,"Total":0}
引用次数: 0

摘要

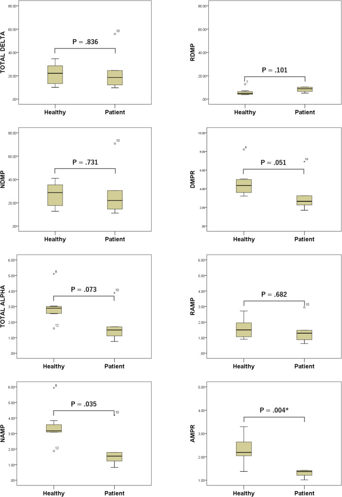
目的:睡眠期间δ波活动减少和α波活动增加可能是重度抑郁症的特定病理生理特征;然而,它们作为生物标志物的用途尚不清楚。我们使用便携式脑电图设备检测睡眠期间平均α波和δ波功率值指数来识别重度抑郁症。方法:在病例对照研究中,我们使用便携式脑电图仪比较了6例未服药的重度抑郁症患者和7例年龄和性别匹配的健康对照者的平均α和δ波能值指数。结果:重度抑郁障碍组非快速眼动期和快速眼动期平均alpha幂值之比(1.3±0.2)显著低于健康组(2.3±0.6);p = 0.004)。非快速眼动期和快速眼动期的平均幂值之比在组间无显著差异,但与汉密尔顿抑郁评定量表得分呈显著负相关(r = -0.784, P = 0.002)。非快速眼动期和快速眼动期区分两组的平均alpha功率比的受试者工作特征曲线下面积(95%置信区间)为0.93(0.78-1.00),灵敏度和特异性均超过85%,临界值≤1.71。结论:与α和δ相关的幂值指标可以反映抑郁症病理的不同方面。
本文章由计算机程序翻译,如有差异,请以英文原文为准。

Objective evaluation of major depressive disorder using sleep electroencephalography measured by an in-home portable one-channel device: a preliminary study.

Objective evaluation of major depressive disorder using sleep electroencephalography measured by an in-home portable one-channel device: a preliminary study.

Objective evaluation of major depressive disorder using sleep electroencephalography measured by an in-home portable one-channel device: a preliminary study.

Purpose: Decreased delta and increased alpha wave activity during sleep may be specific pathophysiological features of major depressive disorder; however, their usefulness as biomarkers remains unclear. We examined the use of mean alpha and delta wave power value indices during sleep to identify major depressive disorder using a portable electroencephalography device.

Methods: We compared the mean alpha and delta wave power value indices of six unmedicated patients with major depressive disorder and seven age- and sex-matched healthy controls using a portable electroencephalography device in this case-controlled study.

Results: The ratio of the mean alpha power values for the non-rapid and rapid eye movement periods was significantly lower in the major depressive disorder group (1.3 ± 0.2) than in the healthy group (2.3 ± 0.6; P = 0.004). The ratio of the mean delta power values for the non-rapid eye movement and rapid eye movement periods did not differ between groups but negatively correlated significantly with the Hamilton Rating Scale for Depression score (r = -0.784, P = 0.002). The area under the receiver operating characteristic curve (95% confidence interval) of the mean alpha power ratio for non-rapid eye movement and rapid eye movement periods for distinguishing the two groups was 0.93 (0.78-1.00), and both sensitivity and specificity exceeded 85% at a cut-off value ≤ 1.71.

Conclusion: The alpha- and delta-related power value indices may capture different aspects of major depressive disorder pathology.

求助全文
通过发布文献求助,成功后即可免费获取论文全文。 去求助
来源期刊
Sleep and Breathing
Sleep and Breathing 医学-呼吸系统
CiteScore
5.20
自引率
4.00%
发文量
222
审稿时长
3-8 weeks
期刊介绍: The journal Sleep and Breathing aims to reflect the state of the art in the international science and practice of sleep medicine. The journal is based on the recognition that management of sleep disorders requires a multi-disciplinary approach and diverse perspectives. The initial focus of Sleep and Breathing is on timely and original studies that collect, intervene, or otherwise inform all clinicians and scientists in medicine, dentistry and oral surgery, otolaryngology, and epidemiology on the management of the upper airway during sleep. Furthermore, Sleep and Breathing endeavors to bring readers cutting edge information about all evolving aspects of common sleep disorders or disruptions, such as insomnia and shift work. The journal includes not only patient studies, but also studies that emphasize the principles of physiology and pathophysiology or illustrate potentially novel approaches to diagnosis and treatment. In addition, the journal features articles that describe patient-oriented and cost-benefit health outcomes research. Thus, with peer review by an international Editorial Board and prompt English-language publication, Sleep and Breathing provides rapid dissemination of clinical and clinically related scientific information. But it also does more: it is dedicated to making the most important developments in sleep disordered breathing easily accessible to clinicians who are treating sleep apnea by presenting well-chosen, well-written, and highly organized information that is useful for patient care.
×
引用
GB/T 7714-2015
复制
MLA
复制
APA
复制
导出至
BibTeX EndNote RefMan NoteFirst NoteExpress
×
提示
您的信息不完整,为了账户安全,请先补充。
现在去补充
×
提示
您因"违规操作"
具体请查看互助需知
我知道了
×
提示
确定
请完成安全验证×
copy
已复制链接
快去分享给好友吧!
我知道了
右上角分享
点击右上角分享
0
联系我们:info@booksci.cn Book学术提供免费学术资源搜索服务,方便国内外学者检索中英文文献。致力于提供最便捷和优质的服务体验。 Copyright © 2023 布克学术 All rights reserved.
京ICP备2023020795号-1
ghs 京公网安备 11010802042870号
Book学术文献互助
Book学术文献互助群
群 号:604180095
Book学术官方微信