采用标准化效应量(SES)的随机对照试验(rct)中患者报告结果(PROs),特别是短表36 (SF-36)的统计分析方法的比较:一项实证分析。

IF 3.4 2区 医学 Q1 HEALTH CARE SCIENCES & SERVICES
Yirui Qian, Stephen J Walters, Richard M Jacques, Laura Flight
{"title":"采用标准化效应量(SES)的随机对照试验(rct)中患者报告结果(PROs),特别是短表36 (SF-36)的统计分析方法的比较:一项实证分析。","authors":"Yirui Qian, Stephen J Walters, Richard M Jacques, Laura Flight","doi":"10.1186/s12955-025-02373-z","DOIUrl":null,"url":null,"abstract":"<p><strong>Background: </strong>The Short-Form 36 (SF-36), a widely used patient-reported outcome (PRO), is a questionnaire completed by patients measuring health outcomes in clinical trials. The PRO scores can be discrete, bounded, and skewed. Various statistical methods have been suggested to analyse PRO data, but their results may not be presented on the same scale as the original score, making it difficult to interpret and compare different approaches. This study aims to unify and compare the estimates from different statistical methods for analysing PROs, particularly the SF-36, in randomised controlled trials (RCTs), using standardised effect size (SES) summary measure.</p><p><strong>Methods: </strong>SF-36 outcomes were analysed using ten statistical methods: multiple linear regression (MLR), median regression (Median), Tobit regression (Tobit), censored absolute least deviation regression (CLAD), beta-binomial regression (BB), binomial-logit-normal regression (BLN), ordered logit model (OL), ordered probit model (OP), fractional logistic regression (Frac), and beta regression (BR). Each SF-36 domain score at a specific follow-up in three clinical trials was analysed. The estimated treatment coefficients and SESs were generated, compared, and interpreted. Model fit was evaluated using the Akaike information criterion.</p><p><strong>Results: </strong>Estimated treatment coefficients from the untransformed scale-based methods (Tobit, Median, & CLAD) deviated from MLR, whereas the SESs from Tobit produced almost identical values. Transformed scale-based methods (OL, OP, BB, BLN, Frac, and BR) shared a similar pattern, except that OL generated higher absolute coefficients and BLN produced higher SESs than other methods. The SESs from Tobit, BB, OP, and Frac had better agreement against MLR than other included methods.</p><p><strong>Conclusions: </strong>The SES is a simple method to unify and compare estimates produced from various statistical methods on different scales. As these methods did not produce identical SES values, it is crucial to comprehensively understand and carefully select appropriate statistical methods, especially for analysing PROs like SF-36, to avoid drawing wrong estimates and conclusions using clinical trial data. Future research will focus on simulation analysis to compare the estimation accuracy and robustness of these methods.</p>","PeriodicalId":12980,"journal":{"name":"Health and Quality of Life Outcomes","volume":"23 1","pages":"45"},"PeriodicalIF":3.4000,"publicationDate":"2025-04-29","publicationTypes":"Journal Article","fieldsOfStudy":null,"isOpenAccess":false,"openAccessPdf":"https://www.ncbi.nlm.nih.gov/pmc/articles/PMC12042522/pdf/","citationCount":"0","resultStr":"{\"title\":\"Comparison of statistical methods for the analysis of patient-reported outcomes (PROs), particularly the Short-Form 36 (SF-36), in randomised controlled trials (RCTs) using standardised effect size (SES): an empirical analysis.\",\"authors\":\"Yirui Qian, Stephen J Walters, Richard M Jacques, Laura Flight\",\"doi\":\"10.1186/s12955-025-02373-z\",\"DOIUrl\":null,\"url\":null,\"abstract\":\"<p><strong>Background: </strong>The Short-Form 36 (SF-36), a widely used patient-reported outcome (PRO), is a questionnaire completed by patients measuring health outcomes in clinical trials. The PRO scores can be discrete, bounded, and skewed. Various statistical methods have been suggested to analyse PRO data, but their results may not be presented on the same scale as the original score, making it difficult to interpret and compare different approaches. This study aims to unify and compare the estimates from different statistical methods for analysing PROs, particularly the SF-36, in randomised controlled trials (RCTs), using standardised effect size (SES) summary measure.</p><p><strong>Methods: </strong>SF-36 outcomes were analysed using ten statistical methods: multiple linear regression (MLR), median regression (Median), Tobit regression (Tobit), censored absolute least deviation regression (CLAD), beta-binomial regression (BB), binomial-logit-normal regression (BLN), ordered logit model (OL), ordered probit model (OP), fractional logistic regression (Frac), and beta regression (BR). Each SF-36 domain score at a specific follow-up in three clinical trials was analysed. The estimated treatment coefficients and SESs were generated, compared, and interpreted. Model fit was evaluated using the Akaike information criterion.</p><p><strong>Results: </strong>Estimated treatment coefficients from the untransformed scale-based methods (Tobit, Median, & CLAD) deviated from MLR, whereas the SESs from Tobit produced almost identical values. Transformed scale-based methods (OL, OP, BB, BLN, Frac, and BR) shared a similar pattern, except that OL generated higher absolute coefficients and BLN produced higher SESs than other methods. The SESs from Tobit, BB, OP, and Frac had better agreement against MLR than other included methods.</p><p><strong>Conclusions: </strong>The SES is a simple method to unify and compare estimates produced from various statistical methods on different scales. As these methods did not produce identical SES values, it is crucial to comprehensively understand and carefully select appropriate statistical methods, especially for analysing PROs like SF-36, to avoid drawing wrong estimates and conclusions using clinical trial data. Future research will focus on simulation analysis to compare the estimation accuracy and robustness of these methods.</p>\",\"PeriodicalId\":12980,\"journal\":{\"name\":\"Health and Quality of Life Outcomes\",\"volume\":\"23 1\",\"pages\":\"45\"},\"PeriodicalIF\":3.4000,\"publicationDate\":\"2025-04-29\",\"publicationTypes\":\"Journal Article\",\"fieldsOfStudy\":null,\"isOpenAccess\":false,\"openAccessPdf\":\"https://www.ncbi.nlm.nih.gov/pmc/articles/PMC12042522/pdf/\",\"citationCount\":\"0\",\"resultStr\":null,\"platform\":\"Semanticscholar\",\"paperid\":null,\"PeriodicalName\":\"Health and Quality of Life Outcomes\",\"FirstCategoryId\":\"3\",\"ListUrlMain\":\"https://doi.org/10.1186/s12955-025-02373-z\",\"RegionNum\":2,\"RegionCategory\":\"医学\",\"ArticlePicture\":[],\"TitleCN\":null,\"AbstractTextCN\":null,\"PMCID\":null,\"EPubDate\":\"\",\"PubModel\":\"\",\"JCR\":\"Q1\",\"JCRName\":\"HEALTH CARE SCIENCES & SERVICES\",\"Score\":null,\"Total\":0}","platform":"Semanticscholar","paperid":null,"PeriodicalName":"Health and Quality of Life Outcomes","FirstCategoryId":"3","ListUrlMain":"https://doi.org/10.1186/s12955-025-02373-z","RegionNum":2,"RegionCategory":"医学","ArticlePicture":[],"TitleCN":null,"AbstractTextCN":null,"PMCID":null,"EPubDate":"","PubModel":"","JCR":"Q1","JCRName":"HEALTH CARE SCIENCES & SERVICES","Score":null,"Total":0}
引用次数: 0

摘要

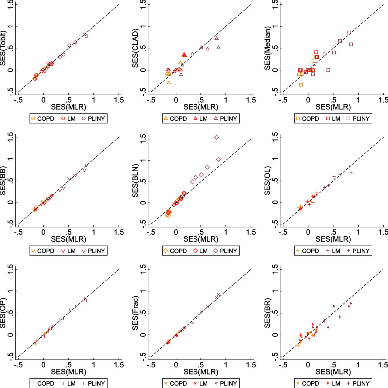
背景:SF-36 (Short-Form 36,简称SF-36)是一种广泛使用的患者报告结局(PRO)量表,是临床试验中由患者填写的健康结局问卷。PRO分数可以是离散的、有界的和倾斜的。人们提出了各种统计方法来分析PRO数据,但其结果可能与原始分数不同,这使得不同方法难以解释和比较。本研究旨在统一和比较随机对照试验(rct)中不同统计方法的估计值,特别是SF-36的估计值,采用标准化效应大小(SES)汇总测量。方法:采用多元线性回归(MLR)、中位数回归(median)、Tobit回归(Tobit)、绝对最小偏差剔除回归(CLAD)、β -二项回归(BB)、二项-对数-正态回归(BLN)、有序logit模型(OL)、有序probit模型(OP)、分数逻辑回归(Frac)和β回归(BR)等10种统计方法对SF-36的结局进行分析。在三个临床试验的特定随访中分析每个SF-36结构域评分。对估计的处理系数和SESs进行生成、比较和解释。采用赤池信息准则评价模型拟合。结果:未转换的基于尺度的方法(Tobit、Median和CLAD)估计的处理系数偏离MLR,而来自Tobit的SESs产生几乎相同的值。转换后的基于尺度的方法(OL、OP、BB、BLN、Frac和BR)具有类似的模式,除了OL产生更高的绝对系数,而BLN产生更高的SESs。与其他方法相比,Tobit、BB、OP和Frac的SESs对MLR的一致性更好。结论:SES是一种简单的方法,可以统一和比较各种统计方法在不同尺度上的估计。由于这些方法得出的SES值并不相同,因此全面了解并仔细选择合适的统计方法至关重要,特别是在分析SF-36等PROs时,避免使用临床试验数据得出错误的估计和结论。未来的研究将集中在仿真分析上,比较这些方法的估计精度和鲁棒性。
本文章由计算机程序翻译,如有差异,请以英文原文为准。

Comparison of statistical methods for the analysis of patient-reported outcomes (PROs), particularly the Short-Form 36 (SF-36), in randomised controlled trials (RCTs) using standardised effect size (SES): an empirical analysis.

Comparison of statistical methods for the analysis of patient-reported outcomes (PROs), particularly the Short-Form 36 (SF-36), in randomised controlled trials (RCTs) using standardised effect size (SES): an empirical analysis.

Comparison of statistical methods for the analysis of patient-reported outcomes (PROs), particularly the Short-Form 36 (SF-36), in randomised controlled trials (RCTs) using standardised effect size (SES): an empirical analysis.

Comparison of statistical methods for the analysis of patient-reported outcomes (PROs), particularly the Short-Form 36 (SF-36), in randomised controlled trials (RCTs) using standardised effect size (SES): an empirical analysis.

Background: The Short-Form 36 (SF-36), a widely used patient-reported outcome (PRO), is a questionnaire completed by patients measuring health outcomes in clinical trials. The PRO scores can be discrete, bounded, and skewed. Various statistical methods have been suggested to analyse PRO data, but their results may not be presented on the same scale as the original score, making it difficult to interpret and compare different approaches. This study aims to unify and compare the estimates from different statistical methods for analysing PROs, particularly the SF-36, in randomised controlled trials (RCTs), using standardised effect size (SES) summary measure.

Methods: SF-36 outcomes were analysed using ten statistical methods: multiple linear regression (MLR), median regression (Median), Tobit regression (Tobit), censored absolute least deviation regression (CLAD), beta-binomial regression (BB), binomial-logit-normal regression (BLN), ordered logit model (OL), ordered probit model (OP), fractional logistic regression (Frac), and beta regression (BR). Each SF-36 domain score at a specific follow-up in three clinical trials was analysed. The estimated treatment coefficients and SESs were generated, compared, and interpreted. Model fit was evaluated using the Akaike information criterion.

Results: Estimated treatment coefficients from the untransformed scale-based methods (Tobit, Median, & CLAD) deviated from MLR, whereas the SESs from Tobit produced almost identical values. Transformed scale-based methods (OL, OP, BB, BLN, Frac, and BR) shared a similar pattern, except that OL generated higher absolute coefficients and BLN produced higher SESs than other methods. The SESs from Tobit, BB, OP, and Frac had better agreement against MLR than other included methods.

Conclusions: The SES is a simple method to unify and compare estimates produced from various statistical methods on different scales. As these methods did not produce identical SES values, it is crucial to comprehensively understand and carefully select appropriate statistical methods, especially for analysing PROs like SF-36, to avoid drawing wrong estimates and conclusions using clinical trial data. Future research will focus on simulation analysis to compare the estimation accuracy and robustness of these methods.

求助全文
通过发布文献求助,成功后即可免费获取论文全文。 去求助
来源期刊
CiteScore
7.30
自引率
2.80%
发文量
154
审稿时长
3-8 weeks
期刊介绍: Health and Quality of Life Outcomes is an open access, peer-reviewed, journal offering high quality articles, rapid publication and wide diffusion in the public domain. Health and Quality of Life Outcomes considers original manuscripts on the Health-Related Quality of Life (HRQOL) assessment for evaluation of medical and psychosocial interventions. It also considers approaches and studies on psychometric properties of HRQOL and patient reported outcome measures, including cultural validation of instruments if they provide information about the impact of interventions. The journal publishes study protocols and reviews summarising the present state of knowledge concerning a particular aspect of HRQOL and patient reported outcome measures. Reviews should generally follow systematic review methodology. Comments on articles and letters to the editor are welcome.
×
引用
GB/T 7714-2015
复制
MLA
复制
APA
复制
导出至
BibTeX EndNote RefMan NoteFirst NoteExpress
×
提示
您的信息不完整,为了账户安全,请先补充。
现在去补充
×
提示
您因"违规操作"
具体请查看互助需知
我知道了
×
提示
确定
请完成安全验证×
copy
已复制链接
快去分享给好友吧!
我知道了
右上角分享
点击右上角分享
0
联系我们:info@booksci.cn Book学术提供免费学术资源搜索服务,方便国内外学者检索中英文文献。致力于提供最便捷和优质的服务体验。 Copyright © 2023 布克学术 All rights reserved.
京ICP备2023020795号-1
ghs 京公网安备 11010802042870号
Book学术文献互助
Book学术文献互助群
群 号:604180095
Book学术官方微信