肝硬化患者最小肝性脑病:一种新的简单快速的数字筛查方法。

IF 6.7 2区 医学 Q1 GASTROENTEROLOGY & HEPATOLOGY
United European Gastroenterology Journal Pub Date : 2025-09-01 Epub Date: 2025-04-15 DOI:10.1002/ueg2.70004
Henrike Dobbermann, Raffael Schlüter, Yevgeniy Lyubchenko, Johanna Beder, Sven Danneberg, Katharina Mitzlaff, Iris Engelbart, Jakob Jessberger, Felix Braun, Thomas Becker, Christian Labenz, Monique Janneck, Denys Matthies, Friedhelm Sayk, Jens U Marquardt
{"title":"肝硬化患者最小肝性脑病:一种新的简单快速的数字筛查方法。","authors":"Henrike Dobbermann, Raffael Schlüter, Yevgeniy Lyubchenko, Johanna Beder, Sven Danneberg, Katharina Mitzlaff, Iris Engelbart, Jakob Jessberger, Felix Braun, Thomas Becker, Christian Labenz, Monique Janneck, Denys Matthies, Friedhelm Sayk, Jens U Marquardt","doi":"10.1002/ueg2.70004","DOIUrl":null,"url":null,"abstract":"<p><strong>Backround: </strong>Minimal hepatic encephalopathy is a common and prognostically severe complication of cirrhosis with a significant impact on the quality of life. Detailed diagnostic work-up of minimal hepatic encephalopathy is time-consuming and difficult to integrate into daily clinical routine.</p><p><strong>Objective: </strong>We aimed to develop a new, simple, and easy-applicable smartphone-based self-assessment method for screening of minimal hepatic encephalopathy.</p><p><strong>Methods: </strong>92 patients with cirrhosis and 20 healthy controls were recruited to perform 3 different short digital tests on smartphones (Tip test (TT), number connection test (dNCT) and modified Stroop test (ST)). Results were correlated with the Psychometric Hepatic Encephalopathy Score (PHES) as the presumed gold standard for minimal hepatic encephalopathy. The impact of age, gender, education, CHILD and MELD scores was further investigated.</p><p><strong>Results: </strong>All 3 digital tests showed good correlation with PHES (TT r = -0.76, dNCT r = -0.58, and ST r = -0.65; all p < 0.001). Digital tests were performed significantly faster (TT median 41s (IQR 36-51s); dNCT median 21s (IQR 8-16s); ST median 76s (IQR 55-99s) than PHES (median 322s; IQR 261-434s); There were significant differences between age groups and different levels of education (p < 0.05). AUC for TT was 0.835 (95% confidence interval 0.747-0.922, p < 0.001) and highest among all digital tests.</p><p><strong>Conclusion: </strong>All 3 digital tests proved to be suitable for screening of minimal hepatic encephalopathy. TT showed the highest correlation with reference PHES and was not affected by language skills or color blindness, and, thus, might represent a new and fast method for minimal hepatic encephalopathy detection. Intra-individually adjusted smartphone-based thresholds might further eliminate the influence of age, gender, educational level or training, to refine early app-based alerts in case of cognitive deterioration in cirrhotic patients.</p>","PeriodicalId":23444,"journal":{"name":"United European Gastroenterology Journal","volume":" ","pages":"1194-1204"},"PeriodicalIF":6.7000,"publicationDate":"2025-09-01","publicationTypes":"Journal Article","fieldsOfStudy":null,"isOpenAccess":false,"openAccessPdf":"https://www.ncbi.nlm.nih.gov/pmc/articles/PMC12463687/pdf/","citationCount":"0","resultStr":"{\"title\":\"Minimal Hepatic Encephalopathy in Cirrhotic Patients: A New Simple and Fast Digital Screening Method.\",\"authors\":\"Henrike Dobbermann, Raffael Schlüter, Yevgeniy Lyubchenko, Johanna Beder, Sven Danneberg, Katharina Mitzlaff, Iris Engelbart, Jakob Jessberger, Felix Braun, Thomas Becker, Christian Labenz, Monique Janneck, Denys Matthies, Friedhelm Sayk, Jens U Marquardt\",\"doi\":\"10.1002/ueg2.70004\",\"DOIUrl\":null,\"url\":null,\"abstract\":\"<p><strong>Backround: </strong>Minimal hepatic encephalopathy is a common and prognostically severe complication of cirrhosis with a significant impact on the quality of life. Detailed diagnostic work-up of minimal hepatic encephalopathy is time-consuming and difficult to integrate into daily clinical routine.</p><p><strong>Objective: </strong>We aimed to develop a new, simple, and easy-applicable smartphone-based self-assessment method for screening of minimal hepatic encephalopathy.</p><p><strong>Methods: </strong>92 patients with cirrhosis and 20 healthy controls were recruited to perform 3 different short digital tests on smartphones (Tip test (TT), number connection test (dNCT) and modified Stroop test (ST)). Results were correlated with the Psychometric Hepatic Encephalopathy Score (PHES) as the presumed gold standard for minimal hepatic encephalopathy. The impact of age, gender, education, CHILD and MELD scores was further investigated.</p><p><strong>Results: </strong>All 3 digital tests showed good correlation with PHES (TT r = -0.76, dNCT r = -0.58, and ST r = -0.65; all p < 0.001). Digital tests were performed significantly faster (TT median 41s (IQR 36-51s); dNCT median 21s (IQR 8-16s); ST median 76s (IQR 55-99s) than PHES (median 322s; IQR 261-434s); There were significant differences between age groups and different levels of education (p < 0.05). AUC for TT was 0.835 (95% confidence interval 0.747-0.922, p < 0.001) and highest among all digital tests.</p><p><strong>Conclusion: </strong>All 3 digital tests proved to be suitable for screening of minimal hepatic encephalopathy. TT showed the highest correlation with reference PHES and was not affected by language skills or color blindness, and, thus, might represent a new and fast method for minimal hepatic encephalopathy detection. Intra-individually adjusted smartphone-based thresholds might further eliminate the influence of age, gender, educational level or training, to refine early app-based alerts in case of cognitive deterioration in cirrhotic patients.</p>\",\"PeriodicalId\":23444,\"journal\":{\"name\":\"United European Gastroenterology Journal\",\"volume\":\" \",\"pages\":\"1194-1204\"},\"PeriodicalIF\":6.7000,\"publicationDate\":\"2025-09-01\",\"publicationTypes\":\"Journal Article\",\"fieldsOfStudy\":null,\"isOpenAccess\":false,\"openAccessPdf\":\"https://www.ncbi.nlm.nih.gov/pmc/articles/PMC12463687/pdf/\",\"citationCount\":\"0\",\"resultStr\":null,\"platform\":\"Semanticscholar\",\"paperid\":null,\"PeriodicalName\":\"United European Gastroenterology Journal\",\"FirstCategoryId\":\"3\",\"ListUrlMain\":\"https://doi.org/10.1002/ueg2.70004\",\"RegionNum\":2,\"RegionCategory\":\"医学\",\"ArticlePicture\":[],\"TitleCN\":null,\"AbstractTextCN\":null,\"PMCID\":null,\"EPubDate\":\"2025/4/15 0:00:00\",\"PubModel\":\"Epub\",\"JCR\":\"Q1\",\"JCRName\":\"GASTROENTEROLOGY & HEPATOLOGY\",\"Score\":null,\"Total\":0}","platform":"Semanticscholar","paperid":null,"PeriodicalName":"United European Gastroenterology Journal","FirstCategoryId":"3","ListUrlMain":"https://doi.org/10.1002/ueg2.70004","RegionNum":2,"RegionCategory":"医学","ArticlePicture":[],"TitleCN":null,"AbstractTextCN":null,"PMCID":null,"EPubDate":"2025/4/15 0:00:00","PubModel":"Epub","JCR":"Q1","JCRName":"GASTROENTEROLOGY & HEPATOLOGY","Score":null,"Total":0}
引用次数: 0

摘要

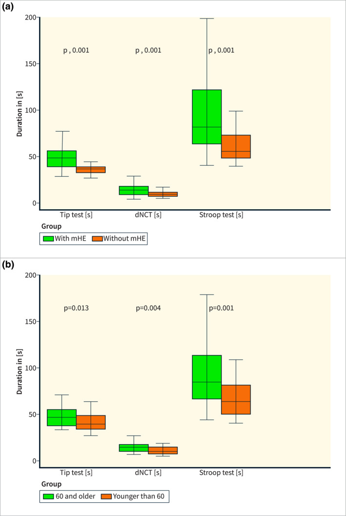
背景:轻度肝性脑病是肝硬化的一种常见且预后严重的并发症,对生活质量有显著影响。对轻度肝性脑病的详细诊断工作耗时且难以纳入日常临床常规。目的:我们旨在开发一种新的、简单的、易于应用的基于智能手机的自我评估方法来筛查轻度肝性脑病。方法:选取92例肝硬化患者和20例健康对照者,在智能手机上进行3种不同的短数字测试(Tip测试(TT)、数字连接测试(dNCT)和改良Stroop测试(ST))。结果与心理测量肝性脑病评分(PHES)相关,PHES被认为是最小肝性脑病的金标准。进一步研究年龄、性别、教育程度、CHILD和MELD评分的影响。结果:3项数字检查与PHES均有良好的相关性(TT r = -0.76, dNCT r = -0.58, ST r = -0.65;结论:3种数字检查均适用于轻度肝性脑病的筛查。TT与参考phe的相关性最高,且不受语言技能或色盲的影响,因此可能是一种新的、快速的肝性脑病检测方法。个体调整的基于智能手机的阈值可能会进一步消除年龄、性别、教育水平或培训的影响,从而在肝硬化患者认知恶化的情况下完善基于应用程序的早期警报。
本文章由计算机程序翻译,如有差异,请以英文原文为准。

Minimal Hepatic Encephalopathy in Cirrhotic Patients: A New Simple and Fast Digital Screening Method.

Minimal Hepatic Encephalopathy in Cirrhotic Patients: A New Simple and Fast Digital Screening Method.

Minimal Hepatic Encephalopathy in Cirrhotic Patients: A New Simple and Fast Digital Screening Method.

Minimal Hepatic Encephalopathy in Cirrhotic Patients: A New Simple and Fast Digital Screening Method.

Backround: Minimal hepatic encephalopathy is a common and prognostically severe complication of cirrhosis with a significant impact on the quality of life. Detailed diagnostic work-up of minimal hepatic encephalopathy is time-consuming and difficult to integrate into daily clinical routine.

Objective: We aimed to develop a new, simple, and easy-applicable smartphone-based self-assessment method for screening of minimal hepatic encephalopathy.

Methods: 92 patients with cirrhosis and 20 healthy controls were recruited to perform 3 different short digital tests on smartphones (Tip test (TT), number connection test (dNCT) and modified Stroop test (ST)). Results were correlated with the Psychometric Hepatic Encephalopathy Score (PHES) as the presumed gold standard for minimal hepatic encephalopathy. The impact of age, gender, education, CHILD and MELD scores was further investigated.

Results: All 3 digital tests showed good correlation with PHES (TT r = -0.76, dNCT r = -0.58, and ST r = -0.65; all p < 0.001). Digital tests were performed significantly faster (TT median 41s (IQR 36-51s); dNCT median 21s (IQR 8-16s); ST median 76s (IQR 55-99s) than PHES (median 322s; IQR 261-434s); There were significant differences between age groups and different levels of education (p < 0.05). AUC for TT was 0.835 (95% confidence interval 0.747-0.922, p < 0.001) and highest among all digital tests.

Conclusion: All 3 digital tests proved to be suitable for screening of minimal hepatic encephalopathy. TT showed the highest correlation with reference PHES and was not affected by language skills or color blindness, and, thus, might represent a new and fast method for minimal hepatic encephalopathy detection. Intra-individually adjusted smartphone-based thresholds might further eliminate the influence of age, gender, educational level or training, to refine early app-based alerts in case of cognitive deterioration in cirrhotic patients.

求助全文
通过发布文献求助,成功后即可免费获取论文全文。 去求助
来源期刊
United European Gastroenterology Journal
United European Gastroenterology Journal GASTROENTEROLOGY & HEPATOLOGY-
CiteScore
10.50
自引率
13.30%
发文量
147
期刊介绍: United European Gastroenterology Journal (UEG Journal) is the official Journal of the United European Gastroenterology (UEG), a professional non-profit organisation combining all the leading European societies concerned with digestive disease. UEG’s member societies represent over 22,000 specialists working across medicine, surgery, paediatrics, GI oncology and endoscopy, which makes UEG a unique platform for collaboration and the exchange of knowledge.
×
引用
GB/T 7714-2015
复制
MLA
复制
APA
复制
导出至
BibTeX EndNote RefMan NoteFirst NoteExpress
×
提示
您的信息不完整,为了账户安全,请先补充。
现在去补充
×
提示
您因"违规操作"
具体请查看互助需知
我知道了
×
提示
确定
请完成安全验证×
copy
已复制链接
快去分享给好友吧!
我知道了
右上角分享
点击右上角分享
0
联系我们:info@booksci.cn Book学术提供免费学术资源搜索服务,方便国内外学者检索中英文文献。致力于提供最便捷和优质的服务体验。 Copyright © 2023 布克学术 All rights reserved.
京ICP备2023020795号-1
ghs 京公网安备 11010802042870号
Book学术文献互助
Book学术文献互助群
群 号:604180095
Book学术官方微信