克罗地亚儿童急性淋巴细胞白血病患者的疾病特征和结局:治疗第15天高骨髓微小残留病的预处理免疫表型预测因子

IF 2.3 4区 医学 Q2 MEDICINE, GENERAL & INTERNAL
Croatian Medical Journal Pub Date : 2025-05-07
Klara Dubravčić, Ružica Lasan Trčić, Ernest Bilić, Josip Konja, Ljubica Rajić, Ranka Femenić, Maja Pavlović, Koraljka Gjadrov Kuveždić, Sunčica Ries, Mirna Sučić, Ivana Franić Šimić, Renata Zadro, Margareta Radić Antolic, Ivana Horvat, Gordana Jakovljević, Jelena Roganović, Srđana Čulić, Dubravka Kuljiš, Višnja Armanda, Karolina Malić Tudor, Senada Šerifi, Bernarda Lozić, Drago Batinić
{"title":"克罗地亚儿童急性淋巴细胞白血病患者的疾病特征和结局:治疗第15天高骨髓微小残留病的预处理免疫表型预测因子","authors":"Klara Dubravčić, Ružica Lasan Trčić, Ernest Bilić, Josip Konja, Ljubica Rajić, Ranka Femenić, Maja Pavlović, Koraljka Gjadrov Kuveždić, Sunčica Ries, Mirna Sučić, Ivana Franić Šimić, Renata Zadro, Margareta Radić Antolic, Ivana Horvat, Gordana Jakovljević, Jelena Roganović, Srđana Čulić, Dubravka Kuljiš, Višnja Armanda, Karolina Malić Tudor, Senada Šerifi, Bernarda Lozić, Drago Batinić","doi":"","DOIUrl":null,"url":null,"abstract":"<p><strong>Aim: </strong>To assess the clinical-biological characteristics and outcomes of Croatian pediatric patients with acute lymphoblastic leukemia (ALL). A secondary aim was to evaluate the predictive value of pretreatment leukemia-associated immunophenotypes (LAIPs) for poor early response to induction therapy defined as ≥10% day 15 bone marrow flow cytometry minimal residual disease (FCM-MRD).</p><p><strong>Methods: </strong>This retrospective cohort study reviewed the medical data of 393 consecutive pediatric ALL patients diagnosed and treated from February 2003 to April 2017 at four Croatian pediatric hemato-oncology centers. FCM data of 379 non-infant patients enrolled in two consecutive intercontinental trials, ALL IC-BFM 2002 (NCT00764907) and ALL IC-BFM 2009 (EudraCT 2010-019722-13), were analyzed to evaluate the association between LAIPs at diagnosis and day 15 FCM-MRD≥10% using univariate and multivariate logistic regression.</p><p><strong>Results: </strong>The median age at diagnosis was 5.2 years, with a predominance (83%) of B-cell precursor (BCP) ALL, and high hyperdiploidy (25.1%) and ETV6::RUNX1 (18.7%) as the most common genetic abnormalities. The protocols did not significantly differ in 5-year event-free survival (82.1% vs 81.7%), overall survival (88% vs 85%), and cumulative incidence of relapse (12.3% vs 10%). FCM-MRD≥10% on day 15 was identified in 22.1% of patients and was predicted by white blood cell (WBC) count ≥20×109/L (P=0.011) and strong expression of CD34 (P=0.032) and CD13 (P=0.001) at diagnosis.</p><p><strong>Conclusion: </strong>The characteristics and survival rates of Croatian pediatric ALL patients aligned with ALL IC-BFM data. WBC≥20×109/L, CD34strong, and CD13strong independently predicted poor early response in BCP-ALL, suggesting a potential prognostic value of LAIPs at diagnosis.</p>","PeriodicalId":10796,"journal":{"name":"Croatian Medical Journal","volume":"66 2","pages":"100-114"},"PeriodicalIF":2.3000,"publicationDate":"2025-05-07","publicationTypes":"Journal Article","fieldsOfStudy":null,"isOpenAccess":false,"openAccessPdf":"https://www.ncbi.nlm.nih.gov/pmc/articles/PMC12093125/pdf/","citationCount":"0","resultStr":"{\"title\":\"Disease characteristics and outcomes of Croatian pediatric patients with acute lymphoblastic leukemia: pretreatment immunophenotypic predictors of high bone marrow minimal residual disease on day 15 of treatment.\",\"authors\":\"Klara Dubravčić, Ružica Lasan Trčić, Ernest Bilić, Josip Konja, Ljubica Rajić, Ranka Femenić, Maja Pavlović, Koraljka Gjadrov Kuveždić, Sunčica Ries, Mirna Sučić, Ivana Franić Šimić, Renata Zadro, Margareta Radić Antolic, Ivana Horvat, Gordana Jakovljević, Jelena Roganović, Srđana Čulić, Dubravka Kuljiš, Višnja Armanda, Karolina Malić Tudor, Senada Šerifi, Bernarda Lozić, Drago Batinić\",\"doi\":\"\",\"DOIUrl\":null,\"url\":null,\"abstract\":\"<p><strong>Aim: </strong>To assess the clinical-biological characteristics and outcomes of Croatian pediatric patients with acute lymphoblastic leukemia (ALL). A secondary aim was to evaluate the predictive value of pretreatment leukemia-associated immunophenotypes (LAIPs) for poor early response to induction therapy defined as ≥10% day 15 bone marrow flow cytometry minimal residual disease (FCM-MRD).</p><p><strong>Methods: </strong>This retrospective cohort study reviewed the medical data of 393 consecutive pediatric ALL patients diagnosed and treated from February 2003 to April 2017 at four Croatian pediatric hemato-oncology centers. FCM data of 379 non-infant patients enrolled in two consecutive intercontinental trials, ALL IC-BFM 2002 (NCT00764907) and ALL IC-BFM 2009 (EudraCT 2010-019722-13), were analyzed to evaluate the association between LAIPs at diagnosis and day 15 FCM-MRD≥10% using univariate and multivariate logistic regression.</p><p><strong>Results: </strong>The median age at diagnosis was 5.2 years, with a predominance (83%) of B-cell precursor (BCP) ALL, and high hyperdiploidy (25.1%) and ETV6::RUNX1 (18.7%) as the most common genetic abnormalities. The protocols did not significantly differ in 5-year event-free survival (82.1% vs 81.7%), overall survival (88% vs 85%), and cumulative incidence of relapse (12.3% vs 10%). FCM-MRD≥10% on day 15 was identified in 22.1% of patients and was predicted by white blood cell (WBC) count ≥20×109/L (P=0.011) and strong expression of CD34 (P=0.032) and CD13 (P=0.001) at diagnosis.</p><p><strong>Conclusion: </strong>The characteristics and survival rates of Croatian pediatric ALL patients aligned with ALL IC-BFM data. WBC≥20×109/L, CD34strong, and CD13strong independently predicted poor early response in BCP-ALL, suggesting a potential prognostic value of LAIPs at diagnosis.</p>\",\"PeriodicalId\":10796,\"journal\":{\"name\":\"Croatian Medical Journal\",\"volume\":\"66 2\",\"pages\":\"100-114\"},\"PeriodicalIF\":2.3000,\"publicationDate\":\"2025-05-07\",\"publicationTypes\":\"Journal Article\",\"fieldsOfStudy\":null,\"isOpenAccess\":false,\"openAccessPdf\":\"https://www.ncbi.nlm.nih.gov/pmc/articles/PMC12093125/pdf/\",\"citationCount\":\"0\",\"resultStr\":null,\"platform\":\"Semanticscholar\",\"paperid\":null,\"PeriodicalName\":\"Croatian Medical Journal\",\"FirstCategoryId\":\"3\",\"ListUrlMain\":\"\",\"RegionNum\":4,\"RegionCategory\":\"医学\",\"ArticlePicture\":[],\"TitleCN\":null,\"AbstractTextCN\":null,\"PMCID\":null,\"EPubDate\":\"\",\"PubModel\":\"\",\"JCR\":\"Q2\",\"JCRName\":\"MEDICINE, GENERAL & INTERNAL\",\"Score\":null,\"Total\":0}","platform":"Semanticscholar","paperid":null,"PeriodicalName":"Croatian Medical Journal","FirstCategoryId":"3","ListUrlMain":"","RegionNum":4,"RegionCategory":"医学","ArticlePicture":[],"TitleCN":null,"AbstractTextCN":null,"PMCID":null,"EPubDate":"","PubModel":"","JCR":"Q2","JCRName":"MEDICINE, GENERAL & INTERNAL","Score":null,"Total":0}
引用次数: 0

摘要

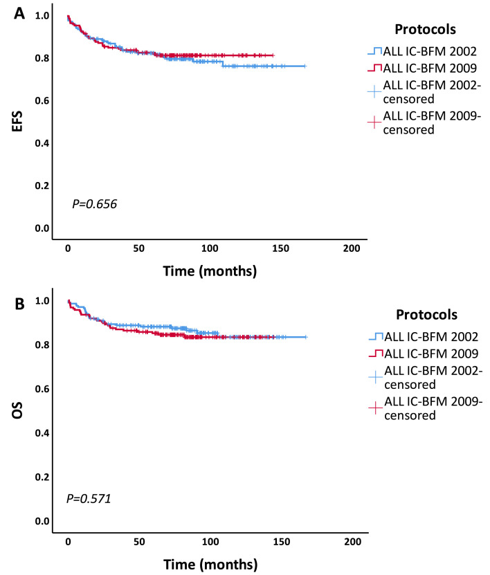
目的:评价克罗地亚儿童急性淋巴细胞白血病(ALL)的临床生物学特征和预后。第二个目的是评估预处理白血病相关免疫表型(LAIPs)对诱导治疗早期不良反应的预测价值,诱导治疗定义为≥10%的第15天骨髓流式细胞术最小残留病(FCM-MRD)。方法:本回顾性队列研究回顾了2003年2月至2017年4月在克罗地亚四家儿童血液肿瘤中心诊断和治疗的393例连续儿科ALL患者的医疗数据。采用单因素和多因素logistic回归分析了379名非婴儿患者的FCM数据,这些患者参加了两项连续的洲际试验,ALL IC-BFM 2002 (NCT00764907)和ALL IC-BFM 2009 (EudraCT 2010-019722-13),以评估诊断时LAIPs与第15天FCM- mrd≥10%之间的关系。结果:诊断时的中位年龄为5.2岁,以b细胞前体(BCP) ALL为主(83%),高高二倍体(25.1%)和ETV6::RUNX1(18.7%)是最常见的遗传异常。两种方案在5年无事件生存率(82.1% vs 81.7%)、总生存率(88% vs 85%)和累积复发率(12.3% vs 10%)方面没有显著差异。22.1%的患者在第15天FCM-MRD≥10%,并通过诊断时白细胞(WBC)计数≥20×109/L (P=0.011)和CD34 (P=0.032)和CD13 (P=0.001)的强表达来预测。结论:克罗地亚儿童ALL患者的特点和生存率与ALL IC-BFM数据一致。WBC≥20×109/L、CD34strong和CD13strong独立预测BCP-ALL早期不良反应,提示LAIPs在诊断时具有潜在的预后价值。
本文章由计算机程序翻译,如有差异,请以英文原文为准。

Disease characteristics and outcomes of Croatian pediatric patients with acute lymphoblastic leukemia: pretreatment immunophenotypic predictors of high bone marrow minimal residual disease on day 15 of treatment.

Disease characteristics and outcomes of Croatian pediatric patients with acute lymphoblastic leukemia: pretreatment immunophenotypic predictors of high bone marrow minimal residual disease on day 15 of treatment.

Disease characteristics and outcomes of Croatian pediatric patients with acute lymphoblastic leukemia: pretreatment immunophenotypic predictors of high bone marrow minimal residual disease on day 15 of treatment.

Disease characteristics and outcomes of Croatian pediatric patients with acute lymphoblastic leukemia: pretreatment immunophenotypic predictors of high bone marrow minimal residual disease on day 15 of treatment.

Aim: To assess the clinical-biological characteristics and outcomes of Croatian pediatric patients with acute lymphoblastic leukemia (ALL). A secondary aim was to evaluate the predictive value of pretreatment leukemia-associated immunophenotypes (LAIPs) for poor early response to induction therapy defined as ≥10% day 15 bone marrow flow cytometry minimal residual disease (FCM-MRD).

Methods: This retrospective cohort study reviewed the medical data of 393 consecutive pediatric ALL patients diagnosed and treated from February 2003 to April 2017 at four Croatian pediatric hemato-oncology centers. FCM data of 379 non-infant patients enrolled in two consecutive intercontinental trials, ALL IC-BFM 2002 (NCT00764907) and ALL IC-BFM 2009 (EudraCT 2010-019722-13), were analyzed to evaluate the association between LAIPs at diagnosis and day 15 FCM-MRD≥10% using univariate and multivariate logistic regression.

Results: The median age at diagnosis was 5.2 years, with a predominance (83%) of B-cell precursor (BCP) ALL, and high hyperdiploidy (25.1%) and ETV6::RUNX1 (18.7%) as the most common genetic abnormalities. The protocols did not significantly differ in 5-year event-free survival (82.1% vs 81.7%), overall survival (88% vs 85%), and cumulative incidence of relapse (12.3% vs 10%). FCM-MRD≥10% on day 15 was identified in 22.1% of patients and was predicted by white blood cell (WBC) count ≥20×109/L (P=0.011) and strong expression of CD34 (P=0.032) and CD13 (P=0.001) at diagnosis.

Conclusion: The characteristics and survival rates of Croatian pediatric ALL patients aligned with ALL IC-BFM data. WBC≥20×109/L, CD34strong, and CD13strong independently predicted poor early response in BCP-ALL, suggesting a potential prognostic value of LAIPs at diagnosis.

求助全文
通过发布文献求助,成功后即可免费获取论文全文。 去求助
来源期刊
Croatian Medical Journal
Croatian Medical Journal 医学-医学:内科
CiteScore
3.00
自引率
5.30%
发文量
105
审稿时长
6-12 weeks
期刊介绍: Croatian Medical Journal (CMJ) is an international peer reviewed journal open to scientists from all fields of biomedicine and health related research. Although CMJ welcomes all contributions that increase and expand on medical knowledge, the two areas are of the special interest: topics globally relevant for biomedicine and health and medicine in developing and emerging countries.
×
引用
GB/T 7714-2015
复制
MLA
复制
APA
复制
导出至
BibTeX EndNote RefMan NoteFirst NoteExpress
×
提示
您的信息不完整,为了账户安全,请先补充。
现在去补充
×
提示
您因"违规操作"
具体请查看互助需知
我知道了
×
提示
确定
请完成安全验证×
copy
已复制链接
快去分享给好友吧!
我知道了
右上角分享
点击右上角分享
0
联系我们:info@booksci.cn Book学术提供免费学术资源搜索服务,方便国内外学者检索中英文文献。致力于提供最便捷和优质的服务体验。 Copyright © 2023 布克学术 All rights reserved.
京ICP备2023020795号-1
ghs 京公网安备 11010802042870号
Book学术文献互助
Book学术文献互助群
群 号:604180095
Book学术官方微信