基于血浆代谢物的乳腺癌幸存者聚类和饮食和健康相关特征的识别:无监督机器学习的应用

IF 1.5 4区 医学 Q3 NUTRITION & DIETETICS
Nutrition Research and Practice Pub Date : 2025-04-01 Epub Date: 2025-03-19 DOI:10.4162/nrp.2025.19.2.273
Ga-Eun Yie, Woojin Kyeong, Sihan Song, Zisun Kim, Hyun Jo Youn, Jihyoung Cho, Jun Won Min, Yoo Seok Kim, Jung Eun Lee
{"title":"基于血浆代谢物的乳腺癌幸存者聚类和饮食和健康相关特征的识别:无监督机器学习的应用","authors":"Ga-Eun Yie, Woojin Kyeong, Sihan Song, Zisun Kim, Hyun Jo Youn, Jihyoung Cho, Jun Won Min, Yoo Seok Kim, Jung Eun Lee","doi":"10.4162/nrp.2025.19.2.273","DOIUrl":null,"url":null,"abstract":"<p><strong>Background/objectives: </strong>This study aimed to use plasma metabolites to identify clusters of breast cancer survivors and to compare their dietary characteristics and health-related factors across the clusters using unsupervised machine learning.</p><p><strong>Subjects/methods: </strong>A total of 419 breast cancer survivors were included in this cross-sectional study. We considered 30 plasma metabolites, quantified by high-throughput nuclear magnetic resonance metabolomics. Clusters were obtained based on metabolites using 4 different unsupervised clustering methods: k-means (KM), partitioning around medoids (PAM), self-organizing maps (SOM), and hierarchical agglomerative clustering (HAC). The <i>t</i>-test, χ<sup>2</sup> test, and Fisher's exact test were used to compare sociodemographic, lifestyle, clinical, and dietary characteristics across the clusters. <i>P</i>-values were adjusted through a false discovery rate (FDR).</p><p><strong>Results: </strong>Two clusters were identified using the 4 methods. Participants in cluster 2 had lower concentrations of apolipoprotein A1 and large high-density lipoprotein (HDL) particles and smaller HDL particle sizes, but higher concentrations of chylomicrons and extremely large very-low-density-lipoprotein (VLDL) particles and glycoprotein acetyls, a higher ratio of monounsaturated fatty acids to total fatty acids, and larger VLDL particle sizes compared with cluster 1. Body mass index was significantly higher in cluster 2 compared with cluster 1 (FDR adjusted-<i>P</i> <sub>KM</sub> < 0.001; <i>P</i> <sub>PAM</sub> = 0.001; <i>P</i> <sub>SOM</sub> < 0.001; and <i>P</i> <sub>HAC</sub> = 0.043).</p><p><strong>Conclusion: </strong>The breast cancer survivors clustered on the basis of plasma metabolites had distinct characteristics. Further prospective studies are needed to investigate the associations between metabolites, obesity, dietary factors, and breast cancer prognosis.</p>","PeriodicalId":19232,"journal":{"name":"Nutrition Research and Practice","volume":"19 2","pages":"273-291"},"PeriodicalIF":1.5000,"publicationDate":"2025-04-01","publicationTypes":"Journal Article","fieldsOfStudy":null,"isOpenAccess":false,"openAccessPdf":"https://www.ncbi.nlm.nih.gov/pmc/articles/PMC11982688/pdf/","citationCount":"0","resultStr":"{\"title\":\"Plasma metabolite based clustering of breast cancer survivors and identification of dietary and health related characteristics: an application of unsupervised machine learning.\",\"authors\":\"Ga-Eun Yie, Woojin Kyeong, Sihan Song, Zisun Kim, Hyun Jo Youn, Jihyoung Cho, Jun Won Min, Yoo Seok Kim, Jung Eun Lee\",\"doi\":\"10.4162/nrp.2025.19.2.273\",\"DOIUrl\":null,\"url\":null,\"abstract\":\"<p><strong>Background/objectives: </strong>This study aimed to use plasma metabolites to identify clusters of breast cancer survivors and to compare their dietary characteristics and health-related factors across the clusters using unsupervised machine learning.</p><p><strong>Subjects/methods: </strong>A total of 419 breast cancer survivors were included in this cross-sectional study. We considered 30 plasma metabolites, quantified by high-throughput nuclear magnetic resonance metabolomics. Clusters were obtained based on metabolites using 4 different unsupervised clustering methods: k-means (KM), partitioning around medoids (PAM), self-organizing maps (SOM), and hierarchical agglomerative clustering (HAC). The <i>t</i>-test, χ<sup>2</sup> test, and Fisher's exact test were used to compare sociodemographic, lifestyle, clinical, and dietary characteristics across the clusters. <i>P</i>-values were adjusted through a false discovery rate (FDR).</p><p><strong>Results: </strong>Two clusters were identified using the 4 methods. Participants in cluster 2 had lower concentrations of apolipoprotein A1 and large high-density lipoprotein (HDL) particles and smaller HDL particle sizes, but higher concentrations of chylomicrons and extremely large very-low-density-lipoprotein (VLDL) particles and glycoprotein acetyls, a higher ratio of monounsaturated fatty acids to total fatty acids, and larger VLDL particle sizes compared with cluster 1. Body mass index was significantly higher in cluster 2 compared with cluster 1 (FDR adjusted-<i>P</i> <sub>KM</sub> < 0.001; <i>P</i> <sub>PAM</sub> = 0.001; <i>P</i> <sub>SOM</sub> < 0.001; and <i>P</i> <sub>HAC</sub> = 0.043).</p><p><strong>Conclusion: </strong>The breast cancer survivors clustered on the basis of plasma metabolites had distinct characteristics. Further prospective studies are needed to investigate the associations between metabolites, obesity, dietary factors, and breast cancer prognosis.</p>\",\"PeriodicalId\":19232,\"journal\":{\"name\":\"Nutrition Research and Practice\",\"volume\":\"19 2\",\"pages\":\"273-291\"},\"PeriodicalIF\":1.5000,\"publicationDate\":\"2025-04-01\",\"publicationTypes\":\"Journal Article\",\"fieldsOfStudy\":null,\"isOpenAccess\":false,\"openAccessPdf\":\"https://www.ncbi.nlm.nih.gov/pmc/articles/PMC11982688/pdf/\",\"citationCount\":\"0\",\"resultStr\":null,\"platform\":\"Semanticscholar\",\"paperid\":null,\"PeriodicalName\":\"Nutrition Research and Practice\",\"FirstCategoryId\":\"3\",\"ListUrlMain\":\"https://doi.org/10.4162/nrp.2025.19.2.273\",\"RegionNum\":4,\"RegionCategory\":\"医学\",\"ArticlePicture\":[],\"TitleCN\":null,\"AbstractTextCN\":null,\"PMCID\":null,\"EPubDate\":\"2025/3/19 0:00:00\",\"PubModel\":\"Epub\",\"JCR\":\"Q3\",\"JCRName\":\"NUTRITION & DIETETICS\",\"Score\":null,\"Total\":0}","platform":"Semanticscholar","paperid":null,"PeriodicalName":"Nutrition Research and Practice","FirstCategoryId":"3","ListUrlMain":"https://doi.org/10.4162/nrp.2025.19.2.273","RegionNum":4,"RegionCategory":"医学","ArticlePicture":[],"TitleCN":null,"AbstractTextCN":null,"PMCID":null,"EPubDate":"2025/3/19 0:00:00","PubModel":"Epub","JCR":"Q3","JCRName":"NUTRITION & DIETETICS","Score":null,"Total":0}
引用次数: 0

摘要

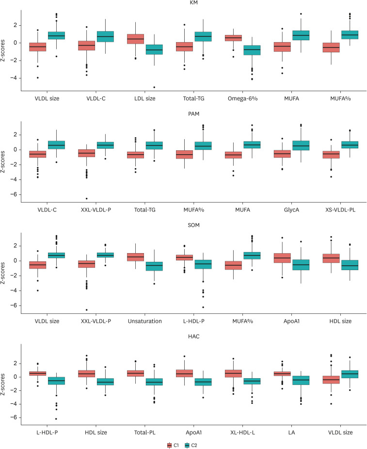
背景/目的:本研究旨在使用血浆代谢物来识别乳腺癌幸存者群体,并使用无监督机器学习比较他们的饮食特征和与健康相关的因素。对象/方法:这项横断面研究共纳入了419名乳腺癌幸存者。我们考虑了30种血浆代谢物,通过高通量核磁共振代谢组学进行量化。使用4种不同的无监督聚类方法获得基于代谢物的聚类:k-means (KM)、围绕介质的划分(PAM)、自组织图(SOM)和分层聚集聚类(HAC)。采用t检验、χ2检验和Fisher精确检验比较各组的社会人口学、生活方式、临床和饮食特征。通过错误发现率(FDR)调整p值。结果:4种方法共鉴定出2个聚类。与集群1相比,集群2参与者的载脂蛋白A1浓度较低,高密度脂蛋白(HDL)颗粒较大,HDL颗粒尺寸较小,但乳糜微粒浓度较高,极低密度脂蛋白(VLDL)颗粒和糖蛋白乙酰基极大,单不饱和脂肪酸与总脂肪酸的比例较高,VLDL颗粒尺寸较大。聚类2的体重指数明显高于聚类1 (FDR校正- p KM < 0.001;P PAM = 0.001;P < 0.001;P = 0.043)。结论:基于血浆代谢物聚类的乳腺癌幸存者具有明显的特点。需要进一步的前瞻性研究来调查代谢物、肥胖、饮食因素和乳腺癌预后之间的关系。
本文章由计算机程序翻译,如有差异,请以英文原文为准。

Plasma metabolite based clustering of breast cancer survivors and identification of dietary and health related characteristics: an application of unsupervised machine learning.

Plasma metabolite based clustering of breast cancer survivors and identification of dietary and health related characteristics: an application of unsupervised machine learning.

Plasma metabolite based clustering of breast cancer survivors and identification of dietary and health related characteristics: an application of unsupervised machine learning.

Plasma metabolite based clustering of breast cancer survivors and identification of dietary and health related characteristics: an application of unsupervised machine learning.

Background/objectives: This study aimed to use plasma metabolites to identify clusters of breast cancer survivors and to compare their dietary characteristics and health-related factors across the clusters using unsupervised machine learning.

Subjects/methods: A total of 419 breast cancer survivors were included in this cross-sectional study. We considered 30 plasma metabolites, quantified by high-throughput nuclear magnetic resonance metabolomics. Clusters were obtained based on metabolites using 4 different unsupervised clustering methods: k-means (KM), partitioning around medoids (PAM), self-organizing maps (SOM), and hierarchical agglomerative clustering (HAC). The t-test, χ2 test, and Fisher's exact test were used to compare sociodemographic, lifestyle, clinical, and dietary characteristics across the clusters. P-values were adjusted through a false discovery rate (FDR).

Results: Two clusters were identified using the 4 methods. Participants in cluster 2 had lower concentrations of apolipoprotein A1 and large high-density lipoprotein (HDL) particles and smaller HDL particle sizes, but higher concentrations of chylomicrons and extremely large very-low-density-lipoprotein (VLDL) particles and glycoprotein acetyls, a higher ratio of monounsaturated fatty acids to total fatty acids, and larger VLDL particle sizes compared with cluster 1. Body mass index was significantly higher in cluster 2 compared with cluster 1 (FDR adjusted-P KM < 0.001; P PAM = 0.001; P SOM < 0.001; and P HAC = 0.043).

Conclusion: The breast cancer survivors clustered on the basis of plasma metabolites had distinct characteristics. Further prospective studies are needed to investigate the associations between metabolites, obesity, dietary factors, and breast cancer prognosis.

求助全文
通过发布文献求助,成功后即可免费获取论文全文。 去求助
来源期刊
Nutrition Research and Practice
Nutrition Research and Practice NUTRITION & DIETETICS-
CiteScore
3.50
自引率
4.20%
发文量
62
审稿时长
6-12 weeks
期刊介绍: Nutrition Research and Practice (NRP) is an official journal, jointly published by the Korean Nutrition Society and the Korean Society of Community Nutrition since 2007. The journal had been published quarterly at the initial stage and has been published bimonthly since 2010. NRP aims to stimulate research and practice across diverse areas of human nutrition. The Journal publishes peer-reviewed original manuscripts on nutrition biochemistry and metabolism, community nutrition, nutrition and disease management, nutritional epidemiology, nutrition education, foodservice management in the following categories: Original Research Articles, Notes, Communications, and Reviews. Reviews will be received by the invitation of the editors only. Statements made and opinions expressed in the manuscripts published in this Journal represent the views of authors and do not necessarily reflect the opinion of the Societies.
×
引用
GB/T 7714-2015
复制
MLA
复制
APA
复制
导出至
BibTeX EndNote RefMan NoteFirst NoteExpress
×
提示
您的信息不完整,为了账户安全,请先补充。
现在去补充
×
提示
您因"违规操作"
具体请查看互助需知
我知道了
×
提示
确定
请完成安全验证×
copy
已复制链接
快去分享给好友吧!
我知道了
右上角分享
点击右上角分享
0
联系我们:info@booksci.cn Book学术提供免费学术资源搜索服务,方便国内外学者检索中英文文献。致力于提供最便捷和优质的服务体验。 Copyright © 2023 布克学术 All rights reserved.
京ICP备2023020795号-1
ghs 京公网安备 11010802042870号
Book学术文献互助
Book学术文献互助群
群 号:604180095
Book学术官方微信