第二口房间隔缺损闭合后的经胸超声心动图表现:一项为期六个月的随访研究。

IF 0.7 Q3 CARDIAC & CARDIOVASCULAR SYSTEMS
Journal of Cardiovascular and Thoracic Research Pub Date : 2025-03-18 eCollection Date: 2025-03-01 DOI:10.34172/jcvtr.025.32997
Leila Bigdelu, Naser Nezhad Biglari, Yoones Ghaderi, Ali Azari, Maryam Emadzadeh, Mohsen Moohebati, Nadia Azadi, Vafa Baradaran Rahimi
{"title":"第二口房间隔缺损闭合后的经胸超声心动图表现:一项为期六个月的随访研究。","authors":"Leila Bigdelu, Naser Nezhad Biglari, Yoones Ghaderi, Ali Azari, Maryam Emadzadeh, Mohsen Moohebati, Nadia Azadi, Vafa Baradaran Rahimi","doi":"10.34172/jcvtr.025.32997","DOIUrl":null,"url":null,"abstract":"<p><strong>Introduction: </strong>Adults with an atrial septal defect (ASD) have the third most frequent congenital heart disease. We aimed to determine the echocardiography findings after the defect closure in patients with ostium secundum ASD.</p><p><strong>Methods: </strong>We included patients who underwent the closure of ostium secundum ASD using trans-catheter or surgical procedures. All patients were subjected to transthoracic echocardiography at admission, one month, and six months following successful closure. The remaining shunt were measured using contrast echocardiography and none of our patients had the remaining shunt.</p><p><strong>Results: </strong>We evaluated 28 patients with a mean age of 35.67±11.55 years. Twelve (42.85%) individuals had trans-catheter, and 16 (57.14%) patients had surgical closure of ASD. After ASD closure, the left ventricular (LV) ejection fraction (<i>P</i>=0.02), and LV end-diastolic diameter significantly increased while S'_TAPSE, right atrial (RA) area, RA volume, and pulmonary artery pressure (PAP) markedly diminished (<i>P</i><0.001). During follow-up, RV size changes showed a significant decrease during one (17.93%) and six (25.78%) months (<i>P</i><0.001 for both cases) and become normal following six months after the ASD closure. In addition, the RA/LA area ratio dropped by 24.31% during the first month and 33.17% after six months (<i>P</i><0.001). In addition, the changes in measured echocardiographic parameters were not significantly different over time between the trans-catheter and surgical procedures. The decrease in S'_TAPSE was significantly greater in the surgical group than in trans-catheter closure.</p><p><strong>Conclusion: </strong>Closure of ostium secundum ASD dramatically decreased right cardiac chamber size and PAP while enhancing LV diameter and LV ejection fraction.</p>","PeriodicalId":15207,"journal":{"name":"Journal of Cardiovascular and Thoracic Research","volume":"17 1","pages":"27-34"},"PeriodicalIF":0.7000,"publicationDate":"2025-03-18","publicationTypes":"Journal Article","fieldsOfStudy":null,"isOpenAccess":false,"openAccessPdf":"https://www.ncbi.nlm.nih.gov/pmc/articles/PMC12068796/pdf/","citationCount":"0","resultStr":"{\"title\":\"Trans-thoracic echocardiographic findings after the closure of ostium secundum atrial septal defect: A six-month follow-up study.\",\"authors\":\"Leila Bigdelu, Naser Nezhad Biglari, Yoones Ghaderi, Ali Azari, Maryam Emadzadeh, Mohsen Moohebati, Nadia Azadi, Vafa Baradaran Rahimi\",\"doi\":\"10.34172/jcvtr.025.32997\",\"DOIUrl\":null,\"url\":null,\"abstract\":\"<p><strong>Introduction: </strong>Adults with an atrial septal defect (ASD) have the third most frequent congenital heart disease. We aimed to determine the echocardiography findings after the defect closure in patients with ostium secundum ASD.</p><p><strong>Methods: </strong>We included patients who underwent the closure of ostium secundum ASD using trans-catheter or surgical procedures. All patients were subjected to transthoracic echocardiography at admission, one month, and six months following successful closure. The remaining shunt were measured using contrast echocardiography and none of our patients had the remaining shunt.</p><p><strong>Results: </strong>We evaluated 28 patients with a mean age of 35.67±11.55 years. Twelve (42.85%) individuals had trans-catheter, and 16 (57.14%) patients had surgical closure of ASD. After ASD closure, the left ventricular (LV) ejection fraction (<i>P</i>=0.02), and LV end-diastolic diameter significantly increased while S'_TAPSE, right atrial (RA) area, RA volume, and pulmonary artery pressure (PAP) markedly diminished (<i>P</i><0.001). During follow-up, RV size changes showed a significant decrease during one (17.93%) and six (25.78%) months (<i>P</i><0.001 for both cases) and become normal following six months after the ASD closure. In addition, the RA/LA area ratio dropped by 24.31% during the first month and 33.17% after six months (<i>P</i><0.001). In addition, the changes in measured echocardiographic parameters were not significantly different over time between the trans-catheter and surgical procedures. The decrease in S'_TAPSE was significantly greater in the surgical group than in trans-catheter closure.</p><p><strong>Conclusion: </strong>Closure of ostium secundum ASD dramatically decreased right cardiac chamber size and PAP while enhancing LV diameter and LV ejection fraction.</p>\",\"PeriodicalId\":15207,\"journal\":{\"name\":\"Journal of Cardiovascular and Thoracic Research\",\"volume\":\"17 1\",\"pages\":\"27-34\"},\"PeriodicalIF\":0.7000,\"publicationDate\":\"2025-03-18\",\"publicationTypes\":\"Journal Article\",\"fieldsOfStudy\":null,\"isOpenAccess\":false,\"openAccessPdf\":\"https://www.ncbi.nlm.nih.gov/pmc/articles/PMC12068796/pdf/\",\"citationCount\":\"0\",\"resultStr\":null,\"platform\":\"Semanticscholar\",\"paperid\":null,\"PeriodicalName\":\"Journal of Cardiovascular and Thoracic Research\",\"FirstCategoryId\":\"1085\",\"ListUrlMain\":\"https://doi.org/10.34172/jcvtr.025.32997\",\"RegionNum\":0,\"RegionCategory\":null,\"ArticlePicture\":[],\"TitleCN\":null,\"AbstractTextCN\":null,\"PMCID\":null,\"EPubDate\":\"2025/3/1 0:00:00\",\"PubModel\":\"eCollection\",\"JCR\":\"Q3\",\"JCRName\":\"CARDIAC & CARDIOVASCULAR SYSTEMS\",\"Score\":null,\"Total\":0}","platform":"Semanticscholar","paperid":null,"PeriodicalName":"Journal of Cardiovascular and Thoracic Research","FirstCategoryId":"1085","ListUrlMain":"https://doi.org/10.34172/jcvtr.025.32997","RegionNum":0,"RegionCategory":null,"ArticlePicture":[],"TitleCN":null,"AbstractTextCN":null,"PMCID":null,"EPubDate":"2025/3/1 0:00:00","PubModel":"eCollection","JCR":"Q3","JCRName":"CARDIAC & CARDIOVASCULAR SYSTEMS","Score":null,"Total":0}
引用次数: 0

摘要

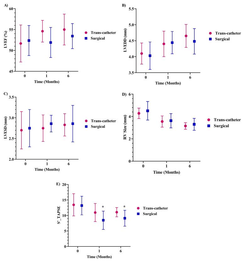
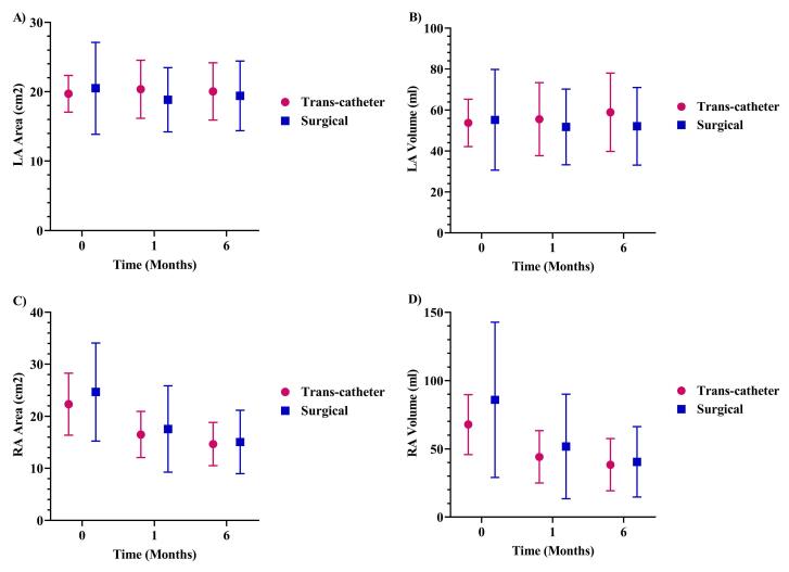
成人房间隔缺损(ASD)是第三常见的先天性心脏病。我们的目的是确定第二口ASD患者缺损关闭后的超声心动图表现。方法:我们纳入了经导管或外科手术关闭ASD第二口的患者。所有患者在入院时、手术成功后1个月和6个月接受经胸超声心动图检查。剩余分流使用超声造影测量,所有患者均无剩余分流。结果:28例患者平均年龄35.67±11.55岁。12例(42.85%)患者经导管治疗,16例(57.14%)患者手术治疗。关闭ASD后左室射血分数(P=0.02)、左室舒张末期内径显著升高,S'_TAPSE、右房面积、右房容积、肺动脉压(PAP)显著降低(ppp)结论:关闭ASD第二口可显著降低右室大小和PAP,提高左室直径和左室射血分数。
本文章由计算机程序翻译,如有差异,请以英文原文为准。

Trans-thoracic echocardiographic findings after the closure of ostium secundum atrial septal defect: A six-month follow-up study.

Trans-thoracic echocardiographic findings after the closure of ostium secundum atrial septal defect: A six-month follow-up study.

Trans-thoracic echocardiographic findings after the closure of ostium secundum atrial septal defect: A six-month follow-up study.

Trans-thoracic echocardiographic findings after the closure of ostium secundum atrial septal defect: A six-month follow-up study.

Introduction: Adults with an atrial septal defect (ASD) have the third most frequent congenital heart disease. We aimed to determine the echocardiography findings after the defect closure in patients with ostium secundum ASD.

Methods: We included patients who underwent the closure of ostium secundum ASD using trans-catheter or surgical procedures. All patients were subjected to transthoracic echocardiography at admission, one month, and six months following successful closure. The remaining shunt were measured using contrast echocardiography and none of our patients had the remaining shunt.

Results: We evaluated 28 patients with a mean age of 35.67±11.55 years. Twelve (42.85%) individuals had trans-catheter, and 16 (57.14%) patients had surgical closure of ASD. After ASD closure, the left ventricular (LV) ejection fraction (P=0.02), and LV end-diastolic diameter significantly increased while S'_TAPSE, right atrial (RA) area, RA volume, and pulmonary artery pressure (PAP) markedly diminished (P<0.001). During follow-up, RV size changes showed a significant decrease during one (17.93%) and six (25.78%) months (P<0.001 for both cases) and become normal following six months after the ASD closure. In addition, the RA/LA area ratio dropped by 24.31% during the first month and 33.17% after six months (P<0.001). In addition, the changes in measured echocardiographic parameters were not significantly different over time between the trans-catheter and surgical procedures. The decrease in S'_TAPSE was significantly greater in the surgical group than in trans-catheter closure.

Conclusion: Closure of ostium secundum ASD dramatically decreased right cardiac chamber size and PAP while enhancing LV diameter and LV ejection fraction.

求助全文
通过发布文献求助,成功后即可免费获取论文全文。 去求助
来源期刊
Journal of Cardiovascular and Thoracic Research
Journal of Cardiovascular and Thoracic Research CARDIAC & CARDIOVASCULAR SYSTEMS-
CiteScore
2.00
自引率
0.00%
发文量
22
审稿时长
7 weeks
×
引用
GB/T 7714-2015
复制
MLA
复制
APA
复制
导出至
BibTeX EndNote RefMan NoteFirst NoteExpress
×
提示
您的信息不完整,为了账户安全,请先补充。
现在去补充
×
提示
您因"违规操作"
具体请查看互助需知
我知道了
×
提示
确定
请完成安全验证×
copy
已复制链接
快去分享给好友吧!
我知道了
右上角分享
点击右上角分享
0
联系我们:info@booksci.cn Book学术提供免费学术资源搜索服务,方便国内外学者检索中英文文献。致力于提供最便捷和优质的服务体验。 Copyright © 2023 布克学术 All rights reserved.
京ICP备2023020795号-1
ghs 京公网安备 11010802042870号
Book学术文献互助
Book学术文献互助群
群 号:604180095
Book学术官方微信