添加Physalis叶提取物的聚乳酸/明胶/聚己二酸丁酯-共对苯二甲酸三层膜对鱼肉粉保质期的影响

IF 2.5 4区 农林科学 Q3 BIOTECHNOLOGY & APPLIED MICROBIOLOGY
Gokulprasanth Murugan, Soottawat Benjakul, Balasundari Subbiah, Manikandavelu Dhanushkodi, Ganesan Pandi, Elavarsan Govindhasami, Nimish Mol Stephen, Muralidharan Nagarajan
{"title":"添加Physalis叶提取物的聚乳酸/明胶/聚己二酸丁酯-共对苯二甲酸三层膜对鱼肉粉保质期的影响","authors":"Gokulprasanth Murugan, Soottawat Benjakul, Balasundari Subbiah, Manikandavelu Dhanushkodi, Ganesan Pandi, Elavarsan Govindhasami, Nimish Mol Stephen, Muralidharan Nagarajan","doi":"10.17113/ftb.63.01.25.8553","DOIUrl":null,"url":null,"abstract":"<p><strong>Research background: </strong>Nowadays, there is a growing interest in active packaging with the addition of natural extracts due to safety concerns and consumer preferences. <i>Physalis angulata</i> is a medicinal and edible species of the Solanaceae family and is rich in phenolic compounds. Phenolic compounds, the secondary metabolites, are synthesised and stored in all plant tissues. They can be used as plasticizers or fillers to improve the interfacial interaction between the two biopolymers and prevent the transfer of moisture and gas from the food product and extend the shelf life to some degree.</p><p><strong>Experimental approach: </strong>The effect of a three-layer (P/G/B) film based on polylactic acid (P), gelatine (G) and polybutylene adipate-co-terephthalate (B) incorporated or not with <i>Physalis</i> leaf extract (PLE) on the quality changes of fish meat powder (sample) stored at 27-30 °C (30 days) was investigated in comparison with control (uncovered), polyethylene (PE), polylactic acid, polybutylene adipate-co-terephthalate and gelatine films. The samples were sealed in a cylindrical bottle covered with the prepared films. The storage properties such as moisture content, pH, peroxide value (PV), thiobarbituric acid reactive substances (TBARS), total volatile basic nitrogen (TVB-N), changes in colour, sensory properties and volatile compounds of samples packed with the developed films were analysed.</p><p><strong>Results and conclusions: </strong>The moisture content was lower in the sample covered with the P/G/B-PLE-7 % film throughout the storage period. However, the sample covered with PE film had the highest PV (p<0.05). TBARS, TVB-N and volatile compounds decreased in the sample covered with P/G/B-PLE-7 % on day 30 of storage. The incorporation of <i>Physalis</i> leaf extract into the three-layer film improved the properties of the film and extended the shelf life of fish meat powder. Thus, the addition of <i>Physalis</i> leaf extract to the three-layer film could serve as a biodegradable active packaging and be a promising substitute for commercial plastic films.</p><p><strong>Novelty and scientific contribution: </strong>This is the first report on the study of chemical changes of fish meat powder covered with a three-layer (P/G/B) film incorporated with <i>Physalis</i> leaf extract. This will lead to a better understanding of the role of the three-layer (P/G/B) film containing <i>Physalis</i> leaf extract on the extension of shelf life of fish meat powder.</p>","PeriodicalId":12400,"journal":{"name":"Food Technology and Biotechnology","volume":"63 1","pages":"109-119"},"PeriodicalIF":2.5000,"publicationDate":"2025-03-01","publicationTypes":"Journal Article","fieldsOfStudy":null,"isOpenAccess":false,"openAccessPdf":"https://www.ncbi.nlm.nih.gov/pmc/articles/PMC12044291/pdf/","citationCount":"0","resultStr":"{\"title\":\"<b>Effect of Three-Layer Polylactic Acid/Gelatine/Polybutylene Adipate-co-Terephthalate Film with Added <i>Physalis</i> Leaf Extract on Shelf-Life Extension of Fish Meat Powder</b> <sup>§</sup>.\",\"authors\":\"Gokulprasanth Murugan, Soottawat Benjakul, Balasundari Subbiah, Manikandavelu Dhanushkodi, Ganesan Pandi, Elavarsan Govindhasami, Nimish Mol Stephen, Muralidharan Nagarajan\",\"doi\":\"10.17113/ftb.63.01.25.8553\",\"DOIUrl\":null,\"url\":null,\"abstract\":\"<p><strong>Research background: </strong>Nowadays, there is a growing interest in active packaging with the addition of natural extracts due to safety concerns and consumer preferences. <i>Physalis angulata</i> is a medicinal and edible species of the Solanaceae family and is rich in phenolic compounds. Phenolic compounds, the secondary metabolites, are synthesised and stored in all plant tissues. They can be used as plasticizers or fillers to improve the interfacial interaction between the two biopolymers and prevent the transfer of moisture and gas from the food product and extend the shelf life to some degree.</p><p><strong>Experimental approach: </strong>The effect of a three-layer (P/G/B) film based on polylactic acid (P), gelatine (G) and polybutylene adipate-co-terephthalate (B) incorporated or not with <i>Physalis</i> leaf extract (PLE) on the quality changes of fish meat powder (sample) stored at 27-30 °C (30 days) was investigated in comparison with control (uncovered), polyethylene (PE), polylactic acid, polybutylene adipate-co-terephthalate and gelatine films. The samples were sealed in a cylindrical bottle covered with the prepared films. The storage properties such as moisture content, pH, peroxide value (PV), thiobarbituric acid reactive substances (TBARS), total volatile basic nitrogen (TVB-N), changes in colour, sensory properties and volatile compounds of samples packed with the developed films were analysed.</p><p><strong>Results and conclusions: </strong>The moisture content was lower in the sample covered with the P/G/B-PLE-7 % film throughout the storage period. However, the sample covered with PE film had the highest PV (p<0.05). TBARS, TVB-N and volatile compounds decreased in the sample covered with P/G/B-PLE-7 % on day 30 of storage. The incorporation of <i>Physalis</i> leaf extract into the three-layer film improved the properties of the film and extended the shelf life of fish meat powder. Thus, the addition of <i>Physalis</i> leaf extract to the three-layer film could serve as a biodegradable active packaging and be a promising substitute for commercial plastic films.</p><p><strong>Novelty and scientific contribution: </strong>This is the first report on the study of chemical changes of fish meat powder covered with a three-layer (P/G/B) film incorporated with <i>Physalis</i> leaf extract. This will lead to a better understanding of the role of the three-layer (P/G/B) film containing <i>Physalis</i> leaf extract on the extension of shelf life of fish meat powder.</p>\",\"PeriodicalId\":12400,\"journal\":{\"name\":\"Food Technology and Biotechnology\",\"volume\":\"63 1\",\"pages\":\"109-119\"},\"PeriodicalIF\":2.5000,\"publicationDate\":\"2025-03-01\",\"publicationTypes\":\"Journal Article\",\"fieldsOfStudy\":null,\"isOpenAccess\":false,\"openAccessPdf\":\"https://www.ncbi.nlm.nih.gov/pmc/articles/PMC12044291/pdf/\",\"citationCount\":\"0\",\"resultStr\":null,\"platform\":\"Semanticscholar\",\"paperid\":null,\"PeriodicalName\":\"Food Technology and Biotechnology\",\"FirstCategoryId\":\"97\",\"ListUrlMain\":\"https://doi.org/10.17113/ftb.63.01.25.8553\",\"RegionNum\":4,\"RegionCategory\":\"农林科学\",\"ArticlePicture\":[],\"TitleCN\":null,\"AbstractTextCN\":null,\"PMCID\":null,\"EPubDate\":\"\",\"PubModel\":\"\",\"JCR\":\"Q3\",\"JCRName\":\"BIOTECHNOLOGY & APPLIED MICROBIOLOGY\",\"Score\":null,\"Total\":0}","platform":"Semanticscholar","paperid":null,"PeriodicalName":"Food Technology and Biotechnology","FirstCategoryId":"97","ListUrlMain":"https://doi.org/10.17113/ftb.63.01.25.8553","RegionNum":4,"RegionCategory":"农林科学","ArticlePicture":[],"TitleCN":null,"AbstractTextCN":null,"PMCID":null,"EPubDate":"","PubModel":"","JCR":"Q3","JCRName":"BIOTECHNOLOGY & APPLIED MICROBIOLOGY","Score":null,"Total":0}
引用次数: 0

摘要

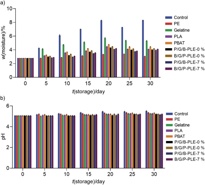
研究背景:如今,由于安全问题和消费者偏好,人们对添加天然提取物的活性包装越来越感兴趣。角Physalis angulata是茄科的一种药用和食用植物,富含酚类化合物。酚类化合物,次生代谢物,被合成并储存在所有植物组织中。它们可以用作增塑剂或填充剂,以改善两种生物聚合物之间的界面相互作用,防止食品中的水分和气体转移,并在一定程度上延长保质期。实验方法:研究了聚乳酸(P)、明胶(G)、聚己二酸丁酯-对苯二甲酸乙酯(B)三层膜(P/G/B)在27-30℃(30 d)条件下与对照(未覆盖)、聚乙烯(PE)、聚乳酸、聚己二酸丁酯-对苯二甲酸乙酯(B)、明胶膜(P/G/B)的掺入或未掺入Physalis叶提取物(PLE)的鱼肉粉(样品)的品质变化。样品被密封在一个覆盖有制备薄膜的圆柱形瓶中。分析了样品的水分含量、pH值、过氧化值(PV)、硫代巴比妥酸活性物质(TBARS)、总挥发性碱性氮(TVB-N)、颜色变化、感官性能和挥发性化合物等贮藏特性。结果与结论:P/G/ b - ple - 7%薄膜覆盖的样品在整个贮存期内水分含量较低。而经PE膜覆盖的样品PV (physalis叶提取物)含量最高,可改善三层膜的性能,延长鱼肉粉的保质期。因此,在三层膜中加入酸浆叶提取物可以作为生物降解的活性包装,是一种很有前景的替代商业塑料薄膜的材料。创新与科学贡献:本文首次研究了含Physalis叶提取物的三层(P/G/B)膜覆盖鱼肉粉的化学变化。这将有助于更好地了解含Physalis叶提取物的三层(P/G/B)膜对延长鱼肉粉保质期的作用。
本文章由计算机程序翻译,如有差异,请以英文原文为准。

<b>Effect of Three-Layer Polylactic Acid/Gelatine/Polybutylene Adipate-co-Terephthalate Film with Added <i>Physalis</i> Leaf Extract on Shelf-Life Extension of Fish Meat Powder</b> <sup>§</sup>.

<b>Effect of Three-Layer Polylactic Acid/Gelatine/Polybutylene Adipate-co-Terephthalate Film with Added <i>Physalis</i> Leaf Extract on Shelf-Life Extension of Fish Meat Powder</b> <sup>§</sup>.

<b>Effect of Three-Layer Polylactic Acid/Gelatine/Polybutylene Adipate-co-Terephthalate Film with Added <i>Physalis</i> Leaf Extract on Shelf-Life Extension of Fish Meat Powder</b> <sup>§</sup>.

Effect of Three-Layer Polylactic Acid/Gelatine/Polybutylene Adipate-co-Terephthalate Film with Added Physalis Leaf Extract on Shelf-Life Extension of Fish Meat Powder §.

Research background: Nowadays, there is a growing interest in active packaging with the addition of natural extracts due to safety concerns and consumer preferences. Physalis angulata is a medicinal and edible species of the Solanaceae family and is rich in phenolic compounds. Phenolic compounds, the secondary metabolites, are synthesised and stored in all plant tissues. They can be used as plasticizers or fillers to improve the interfacial interaction between the two biopolymers and prevent the transfer of moisture and gas from the food product and extend the shelf life to some degree.

Experimental approach: The effect of a three-layer (P/G/B) film based on polylactic acid (P), gelatine (G) and polybutylene adipate-co-terephthalate (B) incorporated or not with Physalis leaf extract (PLE) on the quality changes of fish meat powder (sample) stored at 27-30 °C (30 days) was investigated in comparison with control (uncovered), polyethylene (PE), polylactic acid, polybutylene adipate-co-terephthalate and gelatine films. The samples were sealed in a cylindrical bottle covered with the prepared films. The storage properties such as moisture content, pH, peroxide value (PV), thiobarbituric acid reactive substances (TBARS), total volatile basic nitrogen (TVB-N), changes in colour, sensory properties and volatile compounds of samples packed with the developed films were analysed.

Results and conclusions: The moisture content was lower in the sample covered with the P/G/B-PLE-7 % film throughout the storage period. However, the sample covered with PE film had the highest PV (p<0.05). TBARS, TVB-N and volatile compounds decreased in the sample covered with P/G/B-PLE-7 % on day 30 of storage. The incorporation of Physalis leaf extract into the three-layer film improved the properties of the film and extended the shelf life of fish meat powder. Thus, the addition of Physalis leaf extract to the three-layer film could serve as a biodegradable active packaging and be a promising substitute for commercial plastic films.

Novelty and scientific contribution: This is the first report on the study of chemical changes of fish meat powder covered with a three-layer (P/G/B) film incorporated with Physalis leaf extract. This will lead to a better understanding of the role of the three-layer (P/G/B) film containing Physalis leaf extract on the extension of shelf life of fish meat powder.

求助全文
通过发布文献求助,成功后即可免费获取论文全文。 去求助
来源期刊
Food Technology and Biotechnology
Food Technology and Biotechnology 工程技术-生物工程与应用微生物
CiteScore
3.70
自引率
0.00%
发文量
33
审稿时长
12 months
期刊介绍: Food Technology and Biotechnology (FTB) is a diamond open access, peer-reviewed international quarterly scientific journal that publishes papers covering a wide range of topics, including molecular biology, genetic engineering, biochemistry, microbiology, biochemical engineering and biotechnological processing, food science, analysis of food ingredients and final products, food processing and technology, oenology and waste treatment. The Journal is published by the University of Zagreb, Faculty of Food Technology and Biotechnology, Croatia. It is an official journal of Croatian Society of Biotechnology and Slovenian Microbiological Society, financed by the Croatian Ministry of Science and Education, and supported by the Croatian Academy of Sciences and Arts.
×
引用
GB/T 7714-2015
复制
MLA
复制
APA
复制
导出至
BibTeX EndNote RefMan NoteFirst NoteExpress
×
提示
您的信息不完整,为了账户安全,请先补充。
现在去补充
×
提示
您因"违规操作"
具体请查看互助需知
我知道了
×
提示
确定
请完成安全验证×
copy
已复制链接
快去分享给好友吧!
我知道了
右上角分享
点击右上角分享
0
联系我们:info@booksci.cn Book学术提供免费学术资源搜索服务,方便国内外学者检索中英文文献。致力于提供最便捷和优质的服务体验。 Copyright © 2023 布克学术 All rights reserved.
京ICP备2023020795号-1
ghs 京公网安备 11010802042870号
Book学术文献互助
Book学术文献互助群
群 号:604180095
Book学术官方微信