胃蛋白酶原和胃泌素-17水平检测胃肿瘤的前瞻性研究。

IF 3.2 3区 医学 Q2 GASTROENTEROLOGY & HEPATOLOGY
Gut and Liver Pub Date : 2025-07-15 Epub Date: 2025-04-11 DOI:10.5009/gnl240544
Sun-Young Lee, Hee-Won Moon, Yeon-Sun Ahn, Joo Hye Song, Jeong Hwan Kim, In-Kyung Sung
{"title":"胃蛋白酶原和胃泌素-17水平检测胃肿瘤的前瞻性研究。","authors":"Sun-Young Lee, Hee-Won Moon, Yeon-Sun Ahn, Joo Hye Song, Jeong Hwan Kim, In-Kyung Sung","doi":"10.5009/gnl240544","DOIUrl":null,"url":null,"abstract":"<p><strong>Background/aims: </strong>GastroPanel tests include gastrin-17 (G-17) levels in addition to pepsinogen (PG) and <i>Helicobacter pylori</i> serology tests. The aim of this study was to identify significant test findings in patients with gastric neoplasms by comparing the findings of GastroPanel tests and conventional serum PG assays.</p><p><strong>Methods: </strong>Consecutive individuals who underwent serological testing were included from May 2023 to August 2024. Foreigners and those with gastrectomy, renal insufficiency, previous <i>H. pylori</i> eradication, and recent acid suppressant use were excluded.</p><p><strong>Results: </strong>Among the 1,101 participants, 122 were diagnosed with gastric neoplasms. High G-17 levels (odds ratio [OR], 1.030; 95% confidence interval [CI], 1.008 to 1.052), low I/II ratios determined by GastroPanel tests (OR, 0.834; 95% CI, 0.779 to 0.894), and low I/II ratios determined by HBI PG assays (OR, 0.584; 95% CI, 0.511 to 0.668) were significant variables for detecting gastric neoplasms. The cutoff values for low I/II ratios were <6.15 (GastroPanel test) and <3.005 (HBI assay), with no differences in diagnostic performance between the two tests (p=0.085). Although the I/II ratio alone was a significant independent variable for detecting early gastric cancers, advanced gastric cancers, adenomas, and neuroendocrine tumors, the G-17 level alone was significant only for adenomas and neuroendocrine tumors. The findings of the patients with gastrointestinal stromal tumors did not differ from those of the controls.</p><p><strong>Conclusions: </strong>Blood test findings are useful for detecting gastric neoplasms, except for gastrointestinal stromal tumors. The addition of G-17 levels to PG tests is only beneficial for diagnosing gastric neoplasms associated with corpus atrophy, such as adenoma and neuroendocrine tumors (ClinicalTrials.gov identifier NCT05883345).</p>","PeriodicalId":12885,"journal":{"name":"Gut and Liver","volume":" ","pages":"548-558"},"PeriodicalIF":3.2000,"publicationDate":"2025-07-15","publicationTypes":"Journal Article","fieldsOfStudy":null,"isOpenAccess":false,"openAccessPdf":"https://www.ncbi.nlm.nih.gov/pmc/articles/PMC12261124/pdf/","citationCount":"0","resultStr":"{\"title\":\"A Prospective Study on the Detection of Gastric Neoplasms Using Pepsinogen and Gastrin-17 Levels.\",\"authors\":\"Sun-Young Lee, Hee-Won Moon, Yeon-Sun Ahn, Joo Hye Song, Jeong Hwan Kim, In-Kyung Sung\",\"doi\":\"10.5009/gnl240544\",\"DOIUrl\":null,\"url\":null,\"abstract\":\"<p><strong>Background/aims: </strong>GastroPanel tests include gastrin-17 (G-17) levels in addition to pepsinogen (PG) and <i>Helicobacter pylori</i> serology tests. The aim of this study was to identify significant test findings in patients with gastric neoplasms by comparing the findings of GastroPanel tests and conventional serum PG assays.</p><p><strong>Methods: </strong>Consecutive individuals who underwent serological testing were included from May 2023 to August 2024. Foreigners and those with gastrectomy, renal insufficiency, previous <i>H. pylori</i> eradication, and recent acid suppressant use were excluded.</p><p><strong>Results: </strong>Among the 1,101 participants, 122 were diagnosed with gastric neoplasms. High G-17 levels (odds ratio [OR], 1.030; 95% confidence interval [CI], 1.008 to 1.052), low I/II ratios determined by GastroPanel tests (OR, 0.834; 95% CI, 0.779 to 0.894), and low I/II ratios determined by HBI PG assays (OR, 0.584; 95% CI, 0.511 to 0.668) were significant variables for detecting gastric neoplasms. The cutoff values for low I/II ratios were <6.15 (GastroPanel test) and <3.005 (HBI assay), with no differences in diagnostic performance between the two tests (p=0.085). Although the I/II ratio alone was a significant independent variable for detecting early gastric cancers, advanced gastric cancers, adenomas, and neuroendocrine tumors, the G-17 level alone was significant only for adenomas and neuroendocrine tumors. The findings of the patients with gastrointestinal stromal tumors did not differ from those of the controls.</p><p><strong>Conclusions: </strong>Blood test findings are useful for detecting gastric neoplasms, except for gastrointestinal stromal tumors. The addition of G-17 levels to PG tests is only beneficial for diagnosing gastric neoplasms associated with corpus atrophy, such as adenoma and neuroendocrine tumors (ClinicalTrials.gov identifier NCT05883345).</p>\",\"PeriodicalId\":12885,\"journal\":{\"name\":\"Gut and Liver\",\"volume\":\" \",\"pages\":\"548-558\"},\"PeriodicalIF\":3.2000,\"publicationDate\":\"2025-07-15\",\"publicationTypes\":\"Journal Article\",\"fieldsOfStudy\":null,\"isOpenAccess\":false,\"openAccessPdf\":\"https://www.ncbi.nlm.nih.gov/pmc/articles/PMC12261124/pdf/\",\"citationCount\":\"0\",\"resultStr\":null,\"platform\":\"Semanticscholar\",\"paperid\":null,\"PeriodicalName\":\"Gut and Liver\",\"FirstCategoryId\":\"3\",\"ListUrlMain\":\"https://doi.org/10.5009/gnl240544\",\"RegionNum\":3,\"RegionCategory\":\"医学\",\"ArticlePicture\":[],\"TitleCN\":null,\"AbstractTextCN\":null,\"PMCID\":null,\"EPubDate\":\"2025/4/11 0:00:00\",\"PubModel\":\"Epub\",\"JCR\":\"Q2\",\"JCRName\":\"GASTROENTEROLOGY & HEPATOLOGY\",\"Score\":null,\"Total\":0}","platform":"Semanticscholar","paperid":null,"PeriodicalName":"Gut and Liver","FirstCategoryId":"3","ListUrlMain":"https://doi.org/10.5009/gnl240544","RegionNum":3,"RegionCategory":"医学","ArticlePicture":[],"TitleCN":null,"AbstractTextCN":null,"PMCID":null,"EPubDate":"2025/4/11 0:00:00","PubModel":"Epub","JCR":"Q2","JCRName":"GASTROENTEROLOGY & HEPATOLOGY","Score":null,"Total":0}
引用次数: 0

摘要

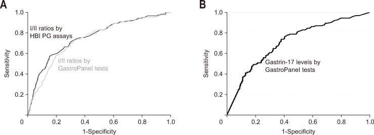
背景/目的:GastroPanel检测除胃蛋白酶原(PG)和幽门螺杆菌血清学检测外,还包括胃泌素-17 (G-17)水平。本研究的目的是通过比较GastroPanel检测结果和常规血清PG检测结果,确定胃肿瘤患者的重要检测结果。方法:纳入2023年5月至2024年8月连续接受血清学检测的个体。排除外国人和胃切除术、肾功能不全、幽门螺杆菌根除史和近期使用抑酸药者。结果:在1101名参与者中,122人被诊断为胃肿瘤。高G-17水平(优势比[OR], 1.030;95%可信区间[CI], 1.008至1.052),低I/II比率由GastroPanel试验确定(OR, 0.834;95% CI, 0.779至0.894),HBI PG测定的低I/II比率(OR, 0.584;95% CI(0.511 ~ 0.668)是检测胃肿瘤的重要变量。结论:除胃肠道间质瘤外,血液检查结果对胃肿瘤的检测是有用的。在PG检测中增加G-17水平仅有利于诊断与体萎缩相关的胃肿瘤,如腺瘤和神经内分泌肿瘤(ClinicalTrials.gov标识号NCT05883345)。
本文章由计算机程序翻译,如有差异,请以英文原文为准。

A Prospective Study on the Detection of Gastric Neoplasms Using Pepsinogen and Gastrin-17 Levels.

A Prospective Study on the Detection of Gastric Neoplasms Using Pepsinogen and Gastrin-17 Levels.

A Prospective Study on the Detection of Gastric Neoplasms Using Pepsinogen and Gastrin-17 Levels.

A Prospective Study on the Detection of Gastric Neoplasms Using Pepsinogen and Gastrin-17 Levels.

Background/aims: GastroPanel tests include gastrin-17 (G-17) levels in addition to pepsinogen (PG) and Helicobacter pylori serology tests. The aim of this study was to identify significant test findings in patients with gastric neoplasms by comparing the findings of GastroPanel tests and conventional serum PG assays.

Methods: Consecutive individuals who underwent serological testing were included from May 2023 to August 2024. Foreigners and those with gastrectomy, renal insufficiency, previous H. pylori eradication, and recent acid suppressant use were excluded.

Results: Among the 1,101 participants, 122 were diagnosed with gastric neoplasms. High G-17 levels (odds ratio [OR], 1.030; 95% confidence interval [CI], 1.008 to 1.052), low I/II ratios determined by GastroPanel tests (OR, 0.834; 95% CI, 0.779 to 0.894), and low I/II ratios determined by HBI PG assays (OR, 0.584; 95% CI, 0.511 to 0.668) were significant variables for detecting gastric neoplasms. The cutoff values for low I/II ratios were <6.15 (GastroPanel test) and <3.005 (HBI assay), with no differences in diagnostic performance between the two tests (p=0.085). Although the I/II ratio alone was a significant independent variable for detecting early gastric cancers, advanced gastric cancers, adenomas, and neuroendocrine tumors, the G-17 level alone was significant only for adenomas and neuroendocrine tumors. The findings of the patients with gastrointestinal stromal tumors did not differ from those of the controls.

Conclusions: Blood test findings are useful for detecting gastric neoplasms, except for gastrointestinal stromal tumors. The addition of G-17 levels to PG tests is only beneficial for diagnosing gastric neoplasms associated with corpus atrophy, such as adenoma and neuroendocrine tumors (ClinicalTrials.gov identifier NCT05883345).

求助全文
通过发布文献求助,成功后即可免费获取论文全文。 去求助
来源期刊
Gut and Liver
Gut and Liver 医学-胃肠肝病学
CiteScore
7.50
自引率
8.80%
发文量
119
审稿时长
6-12 weeks
期刊介绍: Gut and Liver is an international journal of gastroenterology, focusing on the gastrointestinal tract, liver, biliary tree, pancreas, motility, and neurogastroenterology. Gut and Liver delivers up-to-date, authoritative papers on both clinical and research-based topics in gastroenterology. The Journal publishes original articles, case reports, brief communications, letters to the editor and invited review articles in the field of gastroenterology. The Journal is operated by internationally renowned editorial boards and designed to provide a global opportunity to promote academic developments in the field of gastroenterology and hepatology. Gut and Liver is jointly owned and operated by 8 affiliated societies in the field of gastroenterology, namely: the Korean Society of Gastroenterology, the Korean Society of Gastrointestinal Endoscopy, the Korean Society of Neurogastroenterology and Motility, the Korean College of Helicobacter and Upper Gastrointestinal Research, the Korean Association for the Study of Intestinal Diseases, the Korean Association for the Study of the Liver, the Korean Pancreatobiliary Association, and the Korean Society of Gastrointestinal Cancer.
×
引用
GB/T 7714-2015
复制
MLA
复制
APA
复制
导出至
BibTeX EndNote RefMan NoteFirst NoteExpress
×
提示
您的信息不完整,为了账户安全,请先补充。
现在去补充
×
提示
您因"违规操作"
具体请查看互助需知
我知道了
×
提示
确定
请完成安全验证×
copy
已复制链接
快去分享给好友吧!
我知道了
右上角分享
点击右上角分享
0
联系我们:info@booksci.cn Book学术提供免费学术资源搜索服务,方便国内外学者检索中英文文献。致力于提供最便捷和优质的服务体验。 Copyright © 2023 布克学术 All rights reserved.
京ICP备2023020795号-1
ghs 京公网安备 11010802042870号
Book学术文献互助
Book学术文献互助群
群 号:604180095
Book学术官方微信