儿童情绪困扰量表的准确性-早期筛查预测意外伤害后幼儿发生PTSD的风险。

IF 4.1 2区 医学 Q1 PSYCHIATRY
Irma Hein, Maj Gigengack, Cedric Sachser, Ramón Lindauer
{"title":"儿童情绪困扰量表的准确性-早期筛查预测意外伤害后幼儿发生PTSD的风险。","authors":"Irma Hein, Maj Gigengack, Cedric Sachser, Ramón Lindauer","doi":"10.1080/20008066.2025.2494364","DOIUrl":null,"url":null,"abstract":"<p><p>Early identification of posttraumatic stress disorder (PTSD) in children is important to prevent chronic symptoms and long-term negative consequences. However, PTSD often goes unrecognized in the emergency setting of hospitals and screening methods for young children are lacking.</p><p><p>To evaluate the accuracy of an early screening tool for PTSD in a sample of young children (0-7 years) after unintentional injury.</p><p><p>The Pediatric Emotional Distress Scale - Early Screener (PEDS-ES) was administered to parents of children referred to the Emergency Department within 7 days post-accident (<i>n</i> = 82), and a validated interview for PTSD was administered 3 months after the accident as criterion measure: the Diagnostic Infant and Preschool Assessment (DIPA). Diagnostic accuracy of the PEDS-ES was inspected using area under the curve analyses including sensitivity, specificity, Positive and Negative Predictive Value.</p><p><p>After three months PTSD diagnosis was established in 21% of the children. Use of the PEDS-ES within 7 days after the injury showed fair accuracy with AUC = .727. Sensitivity (0.65) and specificity (0.73) for the suggested cutoff of 8 were moderate for predicting PTSD diagnosis 3 months after the injury. The examination of cutoff values that achieve enhanced sensitivity in a screening context - where sensitivity is prioritized - while maintaining a high level of specificity suggests that a lower cutoff of around 6 points may serve as a more sensitive (sensitivity: 0.82; specificity: 0.56) valid alternative cutoff score.</p><p><p>The PEDS-ES allows for successful early screening of risk for traumatic stress symptoms in young children after single accidental injury. It enables early identification of individuals who are at risk for developing PTSD and need further monitoring of symptoms, diagnostic assessment and treatment.</p>","PeriodicalId":12055,"journal":{"name":"European Journal of Psychotraumatology","volume":"16 1","pages":"2494364"},"PeriodicalIF":4.1000,"publicationDate":"2025-12-01","publicationTypes":"Journal Article","fieldsOfStudy":null,"isOpenAccess":false,"openAccessPdf":"https://www.ncbi.nlm.nih.gov/pmc/articles/PMC12057775/pdf/","citationCount":"0","resultStr":"{\"title\":\"Accuracy of the Pediatric Emotional Distress Scale - Early Screener to predict the risk for developing PTSD in young children after accidental injury.\",\"authors\":\"Irma Hein, Maj Gigengack, Cedric Sachser, Ramón Lindauer\",\"doi\":\"10.1080/20008066.2025.2494364\",\"DOIUrl\":null,\"url\":null,\"abstract\":\"<p><p>Early identification of posttraumatic stress disorder (PTSD) in children is important to prevent chronic symptoms and long-term negative consequences. However, PTSD often goes unrecognized in the emergency setting of hospitals and screening methods for young children are lacking.</p><p><p>To evaluate the accuracy of an early screening tool for PTSD in a sample of young children (0-7 years) after unintentional injury.</p><p><p>The Pediatric Emotional Distress Scale - Early Screener (PEDS-ES) was administered to parents of children referred to the Emergency Department within 7 days post-accident (<i>n</i> = 82), and a validated interview for PTSD was administered 3 months after the accident as criterion measure: the Diagnostic Infant and Preschool Assessment (DIPA). Diagnostic accuracy of the PEDS-ES was inspected using area under the curve analyses including sensitivity, specificity, Positive and Negative Predictive Value.</p><p><p>After three months PTSD diagnosis was established in 21% of the children. Use of the PEDS-ES within 7 days after the injury showed fair accuracy with AUC = .727. Sensitivity (0.65) and specificity (0.73) for the suggested cutoff of 8 were moderate for predicting PTSD diagnosis 3 months after the injury. The examination of cutoff values that achieve enhanced sensitivity in a screening context - where sensitivity is prioritized - while maintaining a high level of specificity suggests that a lower cutoff of around 6 points may serve as a more sensitive (sensitivity: 0.82; specificity: 0.56) valid alternative cutoff score.</p><p><p>The PEDS-ES allows for successful early screening of risk for traumatic stress symptoms in young children after single accidental injury. It enables early identification of individuals who are at risk for developing PTSD and need further monitoring of symptoms, diagnostic assessment and treatment.</p>\",\"PeriodicalId\":12055,\"journal\":{\"name\":\"European Journal of Psychotraumatology\",\"volume\":\"16 1\",\"pages\":\"2494364\"},\"PeriodicalIF\":4.1000,\"publicationDate\":\"2025-12-01\",\"publicationTypes\":\"Journal Article\",\"fieldsOfStudy\":null,\"isOpenAccess\":false,\"openAccessPdf\":\"https://www.ncbi.nlm.nih.gov/pmc/articles/PMC12057775/pdf/\",\"citationCount\":\"0\",\"resultStr\":null,\"platform\":\"Semanticscholar\",\"paperid\":null,\"PeriodicalName\":\"European Journal of Psychotraumatology\",\"FirstCategoryId\":\"3\",\"ListUrlMain\":\"https://doi.org/10.1080/20008066.2025.2494364\",\"RegionNum\":2,\"RegionCategory\":\"医学\",\"ArticlePicture\":[],\"TitleCN\":null,\"AbstractTextCN\":null,\"PMCID\":null,\"EPubDate\":\"2025/5/6 0:00:00\",\"PubModel\":\"Epub\",\"JCR\":\"Q1\",\"JCRName\":\"PSYCHIATRY\",\"Score\":null,\"Total\":0}","platform":"Semanticscholar","paperid":null,"PeriodicalName":"European Journal of Psychotraumatology","FirstCategoryId":"3","ListUrlMain":"https://doi.org/10.1080/20008066.2025.2494364","RegionNum":2,"RegionCategory":"医学","ArticlePicture":[],"TitleCN":null,"AbstractTextCN":null,"PMCID":null,"EPubDate":"2025/5/6 0:00:00","PubModel":"Epub","JCR":"Q1","JCRName":"PSYCHIATRY","Score":null,"Total":0}
引用次数: 0

摘要

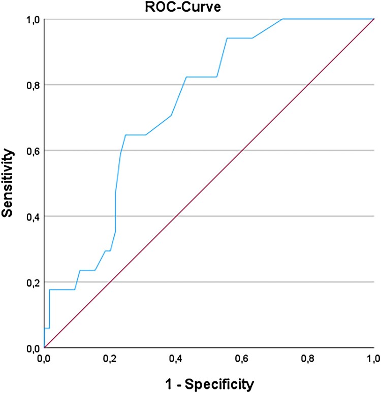
儿童创伤后应激障碍(PTSD)的早期识别对于预防慢性症状和长期负面后果非常重要。然而,创伤后应激障碍在医院的急诊环境中往往没有被发现,而且缺乏针对幼儿的筛查方法。目的评估意外伤害后幼儿(0-7岁)创伤后应激障碍早期筛查工具的准确性。对事故发生后7天内转到急诊科的儿童的父母使用儿童情绪困扰量表-早期筛查(PEDS-ES) (n = 82),并在事故发生3个月后进行创伤后应激障碍的有效访谈,作为标准测量:诊断性婴儿和学前评估(DIPA)。采用曲线下面积分析(包括敏感性、特异性、阳性预测值和阴性预测值)检验PEDS-ES的诊断准确性。三个月后,21%的儿童被确诊为PTSD。在损伤后7天内使用PEDS-ES显示出相当的准确性,AUC = .727。预测创伤后3个月PTSD诊断的敏感性(0.65)和特异性(0.73)为中等。对在筛选环境中实现增强敏感性的截止值的检查-在优先考虑敏感性的情况下-同时保持高水平的特异性表明,约6点的较低截止值可能更敏感(敏感性:0.82;特异性:0.56)。PEDS-ES可以在幼儿单次意外伤害后成功地早期筛查创伤性应激症状的风险。它可以早期识别有患PTSD风险的个体,并需要进一步监测症状、诊断评估和治疗。
本文章由计算机程序翻译,如有差异,请以英文原文为准。

Accuracy of the Pediatric Emotional Distress Scale - Early Screener to predict the risk for developing PTSD in young children after accidental injury.

Accuracy of the Pediatric Emotional Distress Scale - Early Screener to predict the risk for developing PTSD in young children after accidental injury.

Accuracy of the Pediatric Emotional Distress Scale - Early Screener to predict the risk for developing PTSD in young children after accidental injury.

Early identification of posttraumatic stress disorder (PTSD) in children is important to prevent chronic symptoms and long-term negative consequences. However, PTSD often goes unrecognized in the emergency setting of hospitals and screening methods for young children are lacking.

To evaluate the accuracy of an early screening tool for PTSD in a sample of young children (0-7 years) after unintentional injury.

The Pediatric Emotional Distress Scale - Early Screener (PEDS-ES) was administered to parents of children referred to the Emergency Department within 7 days post-accident (n = 82), and a validated interview for PTSD was administered 3 months after the accident as criterion measure: the Diagnostic Infant and Preschool Assessment (DIPA). Diagnostic accuracy of the PEDS-ES was inspected using area under the curve analyses including sensitivity, specificity, Positive and Negative Predictive Value.

After three months PTSD diagnosis was established in 21% of the children. Use of the PEDS-ES within 7 days after the injury showed fair accuracy with AUC = .727. Sensitivity (0.65) and specificity (0.73) for the suggested cutoff of 8 were moderate for predicting PTSD diagnosis 3 months after the injury. The examination of cutoff values that achieve enhanced sensitivity in a screening context - where sensitivity is prioritized - while maintaining a high level of specificity suggests that a lower cutoff of around 6 points may serve as a more sensitive (sensitivity: 0.82; specificity: 0.56) valid alternative cutoff score.

The PEDS-ES allows for successful early screening of risk for traumatic stress symptoms in young children after single accidental injury. It enables early identification of individuals who are at risk for developing PTSD and need further monitoring of symptoms, diagnostic assessment and treatment.

求助全文
通过发布文献求助,成功后即可免费获取论文全文。 去求助
来源期刊
CiteScore
7.60
自引率
12.00%
发文量
153
审稿时长
18 weeks
期刊介绍: The European Journal of Psychotraumatology (EJPT) is a peer-reviewed open access interdisciplinary journal owned by the European Society of Traumatic Stress Studies (ESTSS). The European Journal of Psychotraumatology (EJPT) aims to engage scholars, clinicians and researchers in the vital issues of how to understand, prevent and treat the consequences of stress and trauma, including but not limited to, posttraumatic stress disorder (PTSD), depressive disorders, substance abuse, burnout, and neurobiological or physical consequences, using the latest research or clinical experience in these areas. The journal shares ESTSS’ mission to advance and disseminate scientific knowledge about traumatic stress. Papers may address individual events, repeated or chronic (complex) trauma, large scale disasters, or violence. Being open access, the European Journal of Psychotraumatology is also evidence of ESTSS’ stand on free accessibility of research publications to a wider community via the web. The European Journal of Psychotraumatology seeks to attract contributions from academics and practitioners from diverse professional backgrounds, including, but not restricted to, those in mental health, social sciences, and health and welfare services. Contributions from outside Europe are welcome. The journal welcomes original basic and clinical research articles that consolidate and expand the theoretical and professional basis of the field of traumatic stress; Review articles including meta-analyses; short communications presenting new ideas or early-stage promising research; study protocols that describe proposed or ongoing research; case reports examining a single individual or event in a real‑life context; clinical practice papers sharing experience from the clinic; letters to the Editor debating articles already published in the Journal; inaugural Lectures; conference abstracts and book reviews. Both quantitative and qualitative research is welcome.
×
引用
GB/T 7714-2015
复制
MLA
复制
APA
复制
导出至
BibTeX EndNote RefMan NoteFirst NoteExpress
×
提示
您的信息不完整,为了账户安全,请先补充。
现在去补充
×
提示
您因"违规操作"
具体请查看互助需知
我知道了
×
提示
确定
请完成安全验证×
copy
已复制链接
快去分享给好友吧!
我知道了
右上角分享
点击右上角分享
0
联系我们:info@booksci.cn Book学术提供免费学术资源搜索服务,方便国内外学者检索中英文文献。致力于提供最便捷和优质的服务体验。 Copyright © 2023 布克学术 All rights reserved.
京ICP备2023020795号-1
ghs 京公网安备 11010802042870号
Book学术文献互助
Book学术文献互助群
群 号:604180095
Book学术官方微信