MTAP免疫组织化学作为脑肿瘤中CDKN2A缺失的替代标志物:荟萃分析和文献综述

IF 3 3区 医学 Q2 CLINICAL NEUROLOGY
Antonio Dono, Diego Pichardo-Rojas, Leonardo Mendoza Mora, Pavel S Pichardo-Rojas, Luis A Marin-Castañeda, Abril Carrillo, Adrian Coria Medrano, Yoshua Esquenazi, Leomar Y Ballester
{"title":"MTAP免疫组织化学作为脑肿瘤中CDKN2A缺失的替代标志物:荟萃分析和文献综述","authors":"Antonio Dono, Diego Pichardo-Rojas, Leonardo Mendoza Mora, Pavel S Pichardo-Rojas, Luis A Marin-Castañeda, Abril Carrillo, Adrian Coria Medrano, Yoshua Esquenazi, Leomar Y Ballester","doi":"10.1093/jnen/nlaf033","DOIUrl":null,"url":null,"abstract":"<p><p>Given the known relationship between CDKN2A homozygous deletion (HD) and worsened outcomes in both meningiomas and IDH-mutant astrocytomas, it is paramount to identify CDKN2A HD for accurate risk stratification of patients. Multiple array platforms can detect CDKN2A HD. However, these methods are expensive and are not readily available at every institution. To address this, we conducted a meta-analysis and literature review to evaluate 5'-methylthioadenosine phosphorylase (MTAP) expression determined by immunohistochemistry (IHC) as a surrogate of CDKN2A HD. Our study analyzed 7 cohort studies, 3 of which focused on meningiomas encompassing a total of 87 patients; and 4 studies were conducted on infiltrating glioma patients, consisting of 423 patients. Our results show that despite utilizing different MTAP IHC clones, the results among all studies showed consistently good sensitivity and specificity. The overall sensitivity and specificity of MTAP IHC as a surrogate of CDKN2A HD was excellent with 92.3% and 97.5%, respectively. These results were maintained when MTAP IHC was evaluated in distinct tumor types. MTAP IHC is a good surrogate marker for identifying CDKN2A HD in infiltrating gliomas and meningiomas. MTAP IHC implementation would allow correct integrated diagnosis for institutions that lack DNA sequencing.</p>","PeriodicalId":16682,"journal":{"name":"Journal of Neuropathology and Experimental Neurology","volume":" ","pages":"600-610"},"PeriodicalIF":3.0000,"publicationDate":"2025-07-01","publicationTypes":"Journal Article","fieldsOfStudy":null,"isOpenAccess":false,"openAccessPdf":"https://www.ncbi.nlm.nih.gov/pmc/articles/PMC12199257/pdf/","citationCount":"0","resultStr":"{\"title\":\"MTAP immunohistochemistry as a surrogate marker of CDKN2A loss in brain tumors: A meta-analysis and literature review.\",\"authors\":\"Antonio Dono, Diego Pichardo-Rojas, Leonardo Mendoza Mora, Pavel S Pichardo-Rojas, Luis A Marin-Castañeda, Abril Carrillo, Adrian Coria Medrano, Yoshua Esquenazi, Leomar Y Ballester\",\"doi\":\"10.1093/jnen/nlaf033\",\"DOIUrl\":null,\"url\":null,\"abstract\":\"<p><p>Given the known relationship between CDKN2A homozygous deletion (HD) and worsened outcomes in both meningiomas and IDH-mutant astrocytomas, it is paramount to identify CDKN2A HD for accurate risk stratification of patients. Multiple array platforms can detect CDKN2A HD. However, these methods are expensive and are not readily available at every institution. To address this, we conducted a meta-analysis and literature review to evaluate 5'-methylthioadenosine phosphorylase (MTAP) expression determined by immunohistochemistry (IHC) as a surrogate of CDKN2A HD. Our study analyzed 7 cohort studies, 3 of which focused on meningiomas encompassing a total of 87 patients; and 4 studies were conducted on infiltrating glioma patients, consisting of 423 patients. Our results show that despite utilizing different MTAP IHC clones, the results among all studies showed consistently good sensitivity and specificity. The overall sensitivity and specificity of MTAP IHC as a surrogate of CDKN2A HD was excellent with 92.3% and 97.5%, respectively. These results were maintained when MTAP IHC was evaluated in distinct tumor types. MTAP IHC is a good surrogate marker for identifying CDKN2A HD in infiltrating gliomas and meningiomas. MTAP IHC implementation would allow correct integrated diagnosis for institutions that lack DNA sequencing.</p>\",\"PeriodicalId\":16682,\"journal\":{\"name\":\"Journal of Neuropathology and Experimental Neurology\",\"volume\":\" \",\"pages\":\"600-610\"},\"PeriodicalIF\":3.0000,\"publicationDate\":\"2025-07-01\",\"publicationTypes\":\"Journal Article\",\"fieldsOfStudy\":null,\"isOpenAccess\":false,\"openAccessPdf\":\"https://www.ncbi.nlm.nih.gov/pmc/articles/PMC12199257/pdf/\",\"citationCount\":\"0\",\"resultStr\":null,\"platform\":\"Semanticscholar\",\"paperid\":null,\"PeriodicalName\":\"Journal of Neuropathology and Experimental Neurology\",\"FirstCategoryId\":\"3\",\"ListUrlMain\":\"https://doi.org/10.1093/jnen/nlaf033\",\"RegionNum\":3,\"RegionCategory\":\"医学\",\"ArticlePicture\":[],\"TitleCN\":null,\"AbstractTextCN\":null,\"PMCID\":null,\"EPubDate\":\"\",\"PubModel\":\"\",\"JCR\":\"Q2\",\"JCRName\":\"CLINICAL NEUROLOGY\",\"Score\":null,\"Total\":0}","platform":"Semanticscholar","paperid":null,"PeriodicalName":"Journal of Neuropathology and Experimental Neurology","FirstCategoryId":"3","ListUrlMain":"https://doi.org/10.1093/jnen/nlaf033","RegionNum":3,"RegionCategory":"医学","ArticlePicture":[],"TitleCN":null,"AbstractTextCN":null,"PMCID":null,"EPubDate":"","PubModel":"","JCR":"Q2","JCRName":"CLINICAL NEUROLOGY","Score":null,"Total":0}
引用次数: 0

摘要

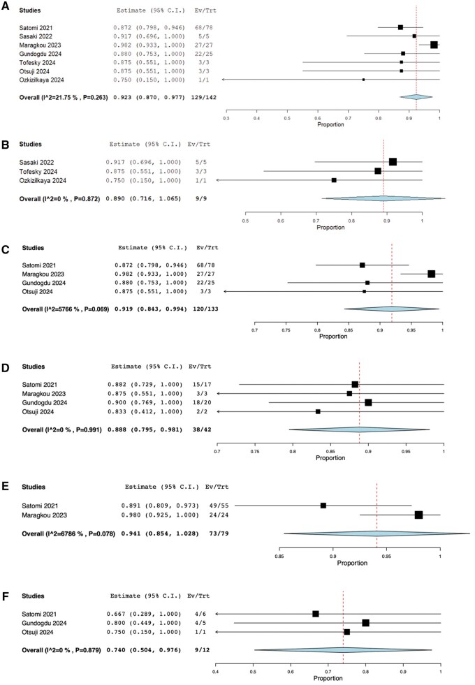
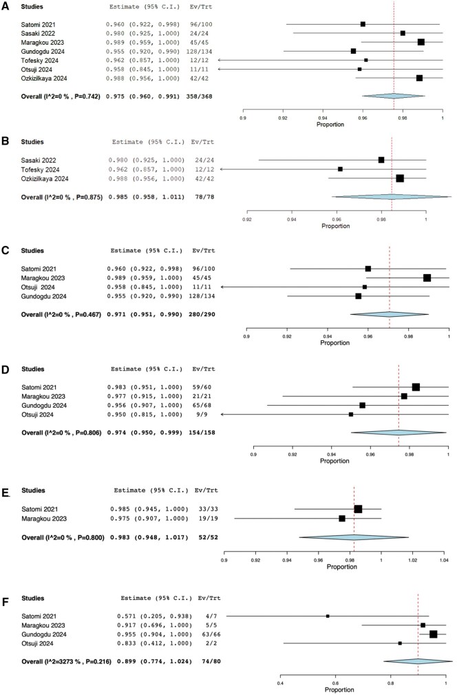
鉴于已知CDKN2A纯合缺失(HD)与脑膜瘤和idh突变星形细胞瘤预后恶化之间的关系,鉴定CDKN2A HD对患者的准确风险分层至关重要。多种阵列平台可检测CDKN2A HD。然而,这些方法是昂贵的,并不是每个机构都可以使用。为了解决这个问题,我们进行了一项荟萃分析和文献综述,以评估免疫组织化学(IHC)测定的5'-甲基硫代腺苷磷酸化酶(MTAP)表达作为CDKN2A HD的替代品。我们的研究分析了7项队列研究,其中3项集中于脑膜瘤,共87例患者;对浸润性胶质瘤患者进行了4项研究,共423例。我们的研究结果表明,尽管使用了不同的MTAP IHC克隆,但所有研究的结果都显示出一致的良好敏感性和特异性。MTAP IHC作为CDKN2A HD替代品的总体敏感性和特异性非常好,分别为92.3%和97.5%。当MTAP IHC在不同的肿瘤类型中进行评估时,这些结果得到了维持。MTAP免疫组化是鉴别浸润性胶质瘤和脑膜瘤中CDKN2A HD的良好替代标志物。MTAP IHC的实施将为缺乏DNA测序的机构提供正确的综合诊断。
本文章由计算机程序翻译,如有差异,请以英文原文为准。

MTAP immunohistochemistry as a surrogate marker of CDKN2A loss in brain tumors: A meta-analysis and literature review.

MTAP immunohistochemistry as a surrogate marker of CDKN2A loss in brain tumors: A meta-analysis and literature review.

MTAP immunohistochemistry as a surrogate marker of CDKN2A loss in brain tumors: A meta-analysis and literature review.

MTAP immunohistochemistry as a surrogate marker of CDKN2A loss in brain tumors: A meta-analysis and literature review.

Given the known relationship between CDKN2A homozygous deletion (HD) and worsened outcomes in both meningiomas and IDH-mutant astrocytomas, it is paramount to identify CDKN2A HD for accurate risk stratification of patients. Multiple array platforms can detect CDKN2A HD. However, these methods are expensive and are not readily available at every institution. To address this, we conducted a meta-analysis and literature review to evaluate 5'-methylthioadenosine phosphorylase (MTAP) expression determined by immunohistochemistry (IHC) as a surrogate of CDKN2A HD. Our study analyzed 7 cohort studies, 3 of which focused on meningiomas encompassing a total of 87 patients; and 4 studies were conducted on infiltrating glioma patients, consisting of 423 patients. Our results show that despite utilizing different MTAP IHC clones, the results among all studies showed consistently good sensitivity and specificity. The overall sensitivity and specificity of MTAP IHC as a surrogate of CDKN2A HD was excellent with 92.3% and 97.5%, respectively. These results were maintained when MTAP IHC was evaluated in distinct tumor types. MTAP IHC is a good surrogate marker for identifying CDKN2A HD in infiltrating gliomas and meningiomas. MTAP IHC implementation would allow correct integrated diagnosis for institutions that lack DNA sequencing.

求助全文
通过发布文献求助,成功后即可免费获取论文全文。 去求助
来源期刊
CiteScore
5.40
自引率
6.20%
发文量
118
审稿时长
6-12 weeks
期刊介绍: Journal of Neuropathology & Experimental Neurology is the official journal of the American Association of Neuropathologists, Inc. (AANP). The journal publishes peer-reviewed studies on neuropathology and experimental neuroscience, book reviews, letters, and Association news, covering a broad spectrum of fields in basic neuroscience with an emphasis on human neurological diseases. It is written by and for neuropathologists, neurologists, neurosurgeons, pathologists, psychiatrists, and basic neuroscientists from around the world. Publication has been continuous since 1942.
×
引用
GB/T 7714-2015
复制
MLA
复制
APA
复制
导出至
BibTeX EndNote RefMan NoteFirst NoteExpress
×
提示
您的信息不完整,为了账户安全,请先补充。
现在去补充
×
提示
您因"违规操作"
具体请查看互助需知
我知道了
×
提示
确定
请完成安全验证×
copy
已复制链接
快去分享给好友吧!
我知道了
右上角分享
点击右上角分享
0
联系我们:info@booksci.cn Book学术提供免费学术资源搜索服务,方便国内外学者检索中英文文献。致力于提供最便捷和优质的服务体验。 Copyright © 2023 布克学术 All rights reserved.
京ICP备2023020795号-1
ghs 京公网安备 11010802042870号
Book学术文献互助
Book学术文献互助群
群 号:604180095
Book学术官方微信