改进型脑岛周围半球切开术后的两年疗效。

IF 1.2 4区 医学 Q4 CLINICAL NEUROLOGY
Samuel B Tomlinson, Kathleen Galligan, Sudha K Kessler, Benjamin C Kennedy
{"title":"改进型脑岛周围半球切开术后的两年疗效。","authors":"Samuel B Tomlinson, Kathleen Galligan, Sudha K Kessler, Benjamin C Kennedy","doi":"10.1007/s00381-025-06825-1","DOIUrl":null,"url":null,"abstract":"<p><strong>Purpose: </strong>Hemispherotomy is an effective treatment for well-selected patients with drug-resistant hemispheric epilepsy. Successful hemispherotomy leading to seizure cessation has been associated with improved neurodevelopmental outcomes and reduced healthcare utilization. This study reports seizure outcomes and complications in a large, consecutive, single-surgeon series of pediatric hemispherotomy cases using a surgical approach with modifications to previously-reported techniques.</p><p><strong>Methods: </strong>All patients undergoing transsylvian peri-insular hemispherotomy for drug-resistant hemispheric epilepsy between May 2017 and April 2021 by a single surgeon were prospectively enrolled in an epilepsy surgery registry. With retrospective review of medical records, data were collected on baseline characteristics (demographics, epilepsy history, anti-seizure medications, neurodevelopmental status, EEG features, and imaging characteristics), operative complications, hospital course, and seizure outcomes (Engel scale at 12- and 24-month follow-up).</p><p><strong>Results: </strong>All 32 consecutive patients (aged 15 months-19 years) were seizure-free (Engel Class 1) 12 and 24 months after hemispherotomy. At 12 months, 31 patients (97%) had Engel Class 1A outcomes, and 1 patient (3%) had an Engel Class 1D outcome. These results were maintained through 24-month follow-up. Among 31 patients taking anti-seizure medications before surgery, 22 (71%) were weaned off all agents by 24 months. One patient (3%) developed post-operative hydrocephalus requiring ventriculoperitoneal shunt placement.</p><p><strong>Conclusion: </strong>In an etiologically heterogeneous cohort of patients undergoing hemispherotomy for drug-resistant epilepsy, a modified transsylvian peri-insular technique led to high rates of sustained seizure freedom with minimal complications.</p>","PeriodicalId":9970,"journal":{"name":"Child's Nervous System","volume":"41 1","pages":"168"},"PeriodicalIF":1.2000,"publicationDate":"2025-04-25","publicationTypes":"Journal Article","fieldsOfStudy":null,"isOpenAccess":false,"openAccessPdf":"https://www.ncbi.nlm.nih.gov/pmc/articles/PMC12031986/pdf/","citationCount":"0","resultStr":"{\"title\":\"Two-year outcomes following modified transsylvian peri-insular hemispherotomy.\",\"authors\":\"Samuel B Tomlinson, Kathleen Galligan, Sudha K Kessler, Benjamin C Kennedy\",\"doi\":\"10.1007/s00381-025-06825-1\",\"DOIUrl\":null,\"url\":null,\"abstract\":\"<p><strong>Purpose: </strong>Hemispherotomy is an effective treatment for well-selected patients with drug-resistant hemispheric epilepsy. Successful hemispherotomy leading to seizure cessation has been associated with improved neurodevelopmental outcomes and reduced healthcare utilization. This study reports seizure outcomes and complications in a large, consecutive, single-surgeon series of pediatric hemispherotomy cases using a surgical approach with modifications to previously-reported techniques.</p><p><strong>Methods: </strong>All patients undergoing transsylvian peri-insular hemispherotomy for drug-resistant hemispheric epilepsy between May 2017 and April 2021 by a single surgeon were prospectively enrolled in an epilepsy surgery registry. With retrospective review of medical records, data were collected on baseline characteristics (demographics, epilepsy history, anti-seizure medications, neurodevelopmental status, EEG features, and imaging characteristics), operative complications, hospital course, and seizure outcomes (Engel scale at 12- and 24-month follow-up).</p><p><strong>Results: </strong>All 32 consecutive patients (aged 15 months-19 years) were seizure-free (Engel Class 1) 12 and 24 months after hemispherotomy. At 12 months, 31 patients (97%) had Engel Class 1A outcomes, and 1 patient (3%) had an Engel Class 1D outcome. These results were maintained through 24-month follow-up. Among 31 patients taking anti-seizure medications before surgery, 22 (71%) were weaned off all agents by 24 months. One patient (3%) developed post-operative hydrocephalus requiring ventriculoperitoneal shunt placement.</p><p><strong>Conclusion: </strong>In an etiologically heterogeneous cohort of patients undergoing hemispherotomy for drug-resistant epilepsy, a modified transsylvian peri-insular technique led to high rates of sustained seizure freedom with minimal complications.</p>\",\"PeriodicalId\":9970,\"journal\":{\"name\":\"Child's Nervous System\",\"volume\":\"41 1\",\"pages\":\"168\"},\"PeriodicalIF\":1.2000,\"publicationDate\":\"2025-04-25\",\"publicationTypes\":\"Journal Article\",\"fieldsOfStudy\":null,\"isOpenAccess\":false,\"openAccessPdf\":\"https://www.ncbi.nlm.nih.gov/pmc/articles/PMC12031986/pdf/\",\"citationCount\":\"0\",\"resultStr\":null,\"platform\":\"Semanticscholar\",\"paperid\":null,\"PeriodicalName\":\"Child's Nervous System\",\"FirstCategoryId\":\"3\",\"ListUrlMain\":\"https://doi.org/10.1007/s00381-025-06825-1\",\"RegionNum\":4,\"RegionCategory\":\"医学\",\"ArticlePicture\":[],\"TitleCN\":null,\"AbstractTextCN\":null,\"PMCID\":null,\"EPubDate\":\"\",\"PubModel\":\"\",\"JCR\":\"Q4\",\"JCRName\":\"CLINICAL NEUROLOGY\",\"Score\":null,\"Total\":0}","platform":"Semanticscholar","paperid":null,"PeriodicalName":"Child's Nervous System","FirstCategoryId":"3","ListUrlMain":"https://doi.org/10.1007/s00381-025-06825-1","RegionNum":4,"RegionCategory":"医学","ArticlePicture":[],"TitleCN":null,"AbstractTextCN":null,"PMCID":null,"EPubDate":"","PubModel":"","JCR":"Q4","JCRName":"CLINICAL NEUROLOGY","Score":null,"Total":0}
引用次数: 0

摘要

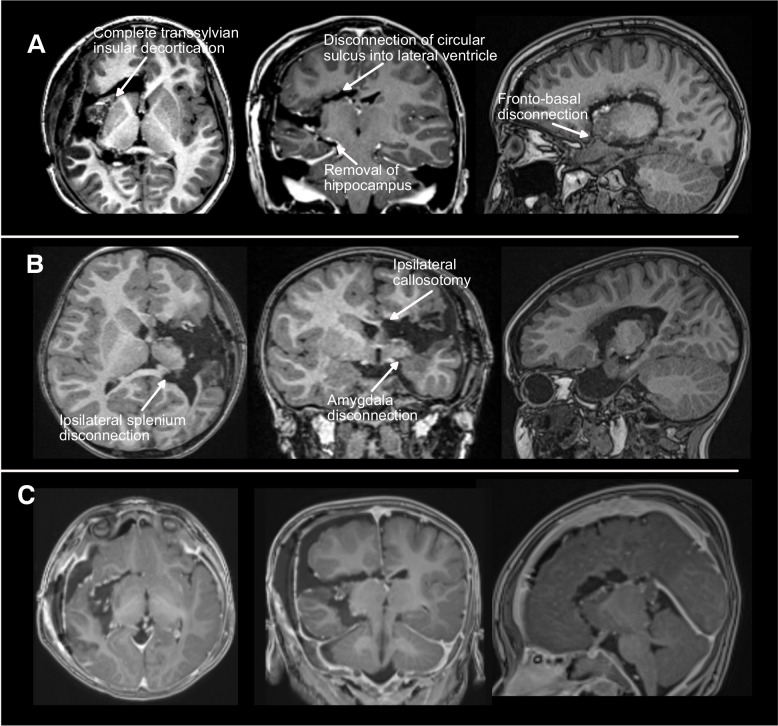
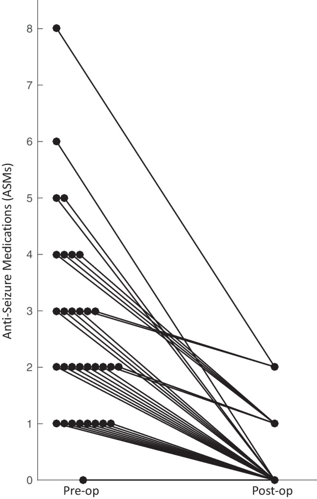
目的:半脑切开术是一种有效的治疗方法,适用于经筛选的耐药半脑癫痫患者。成功的半球切除术导致癫痫发作停止与改善神经发育结果和减少医疗保健利用有关。本研究报告了一项大型、连续、单外科医生系列的儿童半球切开术病例的癫痫发作结果和并发症,这些病例采用手术入路并修改了先前报道的技术。方法:在2017年5月至2021年4月期间,由一名外科医生接受跨西半球岛周半球切开术治疗耐药半球癫痫的所有患者前瞻性地登记在癫痫手术登记处。通过对医疗记录的回顾性回顾,收集基线特征(人口统计学、癫痫史、抗癫痫药物、神经发育状态、脑电图特征和影像学特征)、手术并发症、住院过程和癫痫发作结局(随访12个月和24个月的恩格尔量表)的数据。结果:所有32例患者(年龄15个月,19岁)在半球切除术后12个月和24个月无癫痫发作(Engel 1级)。12个月时,31名患者(97%)有Engel 1A级预后,1名患者(3%)有Engel 1D级预后。这些结果通过24个月的随访得以维持。在31例术前服用抗癫痫药物的患者中,22例(71%)在24个月前停用所有药物。1例(3%)患者术后出现脑积水,需要放置脑室-腹膜分流器。结论:在一组病因不同的接受半脑切开术治疗耐药癫痫的患者中,一种改良的跨西半球岛周技术可以提高持续癫痫发作的发生率,并且并发症最少。
本文章由计算机程序翻译,如有差异,请以英文原文为准。

Two-year outcomes following modified transsylvian peri-insular hemispherotomy.

Two-year outcomes following modified transsylvian peri-insular hemispherotomy.

Two-year outcomes following modified transsylvian peri-insular hemispherotomy.

Two-year outcomes following modified transsylvian peri-insular hemispherotomy.

Purpose: Hemispherotomy is an effective treatment for well-selected patients with drug-resistant hemispheric epilepsy. Successful hemispherotomy leading to seizure cessation has been associated with improved neurodevelopmental outcomes and reduced healthcare utilization. This study reports seizure outcomes and complications in a large, consecutive, single-surgeon series of pediatric hemispherotomy cases using a surgical approach with modifications to previously-reported techniques.

Methods: All patients undergoing transsylvian peri-insular hemispherotomy for drug-resistant hemispheric epilepsy between May 2017 and April 2021 by a single surgeon were prospectively enrolled in an epilepsy surgery registry. With retrospective review of medical records, data were collected on baseline characteristics (demographics, epilepsy history, anti-seizure medications, neurodevelopmental status, EEG features, and imaging characteristics), operative complications, hospital course, and seizure outcomes (Engel scale at 12- and 24-month follow-up).

Results: All 32 consecutive patients (aged 15 months-19 years) were seizure-free (Engel Class 1) 12 and 24 months after hemispherotomy. At 12 months, 31 patients (97%) had Engel Class 1A outcomes, and 1 patient (3%) had an Engel Class 1D outcome. These results were maintained through 24-month follow-up. Among 31 patients taking anti-seizure medications before surgery, 22 (71%) were weaned off all agents by 24 months. One patient (3%) developed post-operative hydrocephalus requiring ventriculoperitoneal shunt placement.

Conclusion: In an etiologically heterogeneous cohort of patients undergoing hemispherotomy for drug-resistant epilepsy, a modified transsylvian peri-insular technique led to high rates of sustained seizure freedom with minimal complications.

求助全文
通过发布文献求助,成功后即可免费获取论文全文。 去求助
来源期刊
Child's Nervous System
Child's Nervous System 医学-临床神经学
CiteScore
3.00
自引率
7.10%
发文量
322
审稿时长
3 months
期刊介绍: The journal has been expanded to encompass all aspects of pediatric neurosciences concerning the developmental and acquired abnormalities of the nervous system and its coverings, functional disorders, epilepsy, spasticity, basic and clinical neuro-oncology, rehabilitation and trauma. Global pediatric neurosurgery is an additional field of interest that will be considered for publication in the journal.
×
引用
GB/T 7714-2015
复制
MLA
复制
APA
复制
导出至
BibTeX EndNote RefMan NoteFirst NoteExpress
×
提示
您的信息不完整,为了账户安全,请先补充。
现在去补充
×
提示
您因"违规操作"
具体请查看互助需知
我知道了
×
提示
确定
请完成安全验证×
copy
已复制链接
快去分享给好友吧!
我知道了
右上角分享
点击右上角分享
0
联系我们:info@booksci.cn Book学术提供免费学术资源搜索服务,方便国内外学者检索中英文文献。致力于提供最便捷和优质的服务体验。 Copyright © 2023 布克学术 All rights reserved.
京ICP备2023020795号-1
ghs 京公网安备 11010802042870号
Book学术文献互助
Book学术文献互助群
群 号:604180095
Book学术官方微信