基于18F-FDG PET/CT放射组学的乳腺癌中her2过表达、her2低表达和her2零表达状态的鉴定

IF 3.5 2区 医学 Q2 ONCOLOGY
Xuefeng Hou, Kun Chen, Huiwen Luo, Wengui Xu, Xiaofeng Li
{"title":"基于18F-FDG PET/CT放射组学的乳腺癌中her2过表达、her2低表达和her2零表达状态的鉴定","authors":"Xuefeng Hou, Kun Chen, Huiwen Luo, Wengui Xu, Xiaofeng Li","doi":"10.1186/s40644-025-00880-2","DOIUrl":null,"url":null,"abstract":"<p><strong>Purpose: </strong>According to the updated classification system, human epidermal growth factor receptor 2 (HER2) expression statuses are divided into the following three groups: HER2-over-expression, HER2-low-expression, and HER2-zero-expression. HER2-negative expression was reclassified into HER2-low-expression and HER2-zero-expression. This study aimed to identify three different HER2 expression statuses for breast cancer (BC) patients using PET/CT radiomics and clinicopathological characteristics.</p><p><strong>Methods and materials: </strong>A total of 315 BC patients who met the inclusion and exclusion criteria from two institutions were retrospectively included. The patients in institution 1 were divided into the training set and the independent validation set according to the ratio of 7:3, and institution 2 was used as the external validation set. According to the results of pathological examination, all BC patients were divided into HER2-over-expression, HER2-low-expression, and HER2-zero-expression. First, PET/CT radiomic features and clinicopathological features based on each patient were extracted and collected. Second, multiple methods were used to perform feature screening and feature selection. Then, four machine learning classifiers, including logistic regression (LR), k-nearest neighbor (KNN), support vector machine (SVM), and random forest (RF), were constructed to identify HER2-over-expression vs. others, HER2-low-expression vs. others, and HER2-zero-expression vs. others. The receiver operator characteristic (ROC) curve was plotted to measure the model's predictive power.</p><p><strong>Results: </strong>According to the feature screening process, 8, 10, and 2 radiomics features and 2 clinicopathological features were finally selected to construct three prediction models (HER2-over-expression vs. others, HER2-low-expression vs. others, and HER2-zero-expression vs. others). For HER2-over-expression vs. others, the RF model outperformed other models with an AUC value of 0.843 (95%CI: 0.774-0.897), 0.785 (95%CI: 0.665-0.877), and 0.788 (95%CI: 0.708-0.868) in the training set, independent validation set, and external validation set. Concerning HER2-low-expression vs. others, the outperformance of the LR model over other models was identified with an AUC value of 0.783 (95%CI: 0.708-0.846), 0.756 (95%CI: 0.634-0.854), and 0.779 (95%CI: 0.698-0.860) in the training set, independent validation set, and external validation set. Whereas, the KNN model was confirmed as the optimal model to distinguish HER2-zero-expression from others, with an AUC value of 0.929 (95%CI: 0.890-0.958), 0.847 (95%CI: 0.764-0.910), and 0.835 (95%CI: 0.762-0.908) in the training set, independent validation set, and external validation set.</p><p><strong>Conclusion: </strong>Combined PET/CT radiomic models integrating with clinicopathological characteristics are non-invasively predictive of different HER2 statuses of BC patients.</p>","PeriodicalId":9548,"journal":{"name":"Cancer Imaging","volume":"25 1","pages":"62"},"PeriodicalIF":3.5000,"publicationDate":"2025-05-12","publicationTypes":"Journal Article","fieldsOfStudy":null,"isOpenAccess":false,"openAccessPdf":"https://www.ncbi.nlm.nih.gov/pmc/articles/PMC12070556/pdf/","citationCount":"0","resultStr":"{\"title\":\"Identification of HER2-over-expression, HER2-low-expression, and HER2-zero-expression statuses in breast cancer based on <sup>18</sup>F-FDG PET/CT radiomics.\",\"authors\":\"Xuefeng Hou, Kun Chen, Huiwen Luo, Wengui Xu, Xiaofeng Li\",\"doi\":\"10.1186/s40644-025-00880-2\",\"DOIUrl\":null,\"url\":null,\"abstract\":\"<p><strong>Purpose: </strong>According to the updated classification system, human epidermal growth factor receptor 2 (HER2) expression statuses are divided into the following three groups: HER2-over-expression, HER2-low-expression, and HER2-zero-expression. HER2-negative expression was reclassified into HER2-low-expression and HER2-zero-expression. This study aimed to identify three different HER2 expression statuses for breast cancer (BC) patients using PET/CT radiomics and clinicopathological characteristics.</p><p><strong>Methods and materials: </strong>A total of 315 BC patients who met the inclusion and exclusion criteria from two institutions were retrospectively included. The patients in institution 1 were divided into the training set and the independent validation set according to the ratio of 7:3, and institution 2 was used as the external validation set. According to the results of pathological examination, all BC patients were divided into HER2-over-expression, HER2-low-expression, and HER2-zero-expression. First, PET/CT radiomic features and clinicopathological features based on each patient were extracted and collected. Second, multiple methods were used to perform feature screening and feature selection. Then, four machine learning classifiers, including logistic regression (LR), k-nearest neighbor (KNN), support vector machine (SVM), and random forest (RF), were constructed to identify HER2-over-expression vs. others, HER2-low-expression vs. others, and HER2-zero-expression vs. others. The receiver operator characteristic (ROC) curve was plotted to measure the model's predictive power.</p><p><strong>Results: </strong>According to the feature screening process, 8, 10, and 2 radiomics features and 2 clinicopathological features were finally selected to construct three prediction models (HER2-over-expression vs. others, HER2-low-expression vs. others, and HER2-zero-expression vs. others). For HER2-over-expression vs. others, the RF model outperformed other models with an AUC value of 0.843 (95%CI: 0.774-0.897), 0.785 (95%CI: 0.665-0.877), and 0.788 (95%CI: 0.708-0.868) in the training set, independent validation set, and external validation set. Concerning HER2-low-expression vs. others, the outperformance of the LR model over other models was identified with an AUC value of 0.783 (95%CI: 0.708-0.846), 0.756 (95%CI: 0.634-0.854), and 0.779 (95%CI: 0.698-0.860) in the training set, independent validation set, and external validation set. Whereas, the KNN model was confirmed as the optimal model to distinguish HER2-zero-expression from others, with an AUC value of 0.929 (95%CI: 0.890-0.958), 0.847 (95%CI: 0.764-0.910), and 0.835 (95%CI: 0.762-0.908) in the training set, independent validation set, and external validation set.</p><p><strong>Conclusion: </strong>Combined PET/CT radiomic models integrating with clinicopathological characteristics are non-invasively predictive of different HER2 statuses of BC patients.</p>\",\"PeriodicalId\":9548,\"journal\":{\"name\":\"Cancer Imaging\",\"volume\":\"25 1\",\"pages\":\"62\"},\"PeriodicalIF\":3.5000,\"publicationDate\":\"2025-05-12\",\"publicationTypes\":\"Journal Article\",\"fieldsOfStudy\":null,\"isOpenAccess\":false,\"openAccessPdf\":\"https://www.ncbi.nlm.nih.gov/pmc/articles/PMC12070556/pdf/\",\"citationCount\":\"0\",\"resultStr\":null,\"platform\":\"Semanticscholar\",\"paperid\":null,\"PeriodicalName\":\"Cancer Imaging\",\"FirstCategoryId\":\"3\",\"ListUrlMain\":\"https://doi.org/10.1186/s40644-025-00880-2\",\"RegionNum\":2,\"RegionCategory\":\"医学\",\"ArticlePicture\":[],\"TitleCN\":null,\"AbstractTextCN\":null,\"PMCID\":null,\"EPubDate\":\"\",\"PubModel\":\"\",\"JCR\":\"Q2\",\"JCRName\":\"ONCOLOGY\",\"Score\":null,\"Total\":0}","platform":"Semanticscholar","paperid":null,"PeriodicalName":"Cancer Imaging","FirstCategoryId":"3","ListUrlMain":"https://doi.org/10.1186/s40644-025-00880-2","RegionNum":2,"RegionCategory":"医学","ArticlePicture":[],"TitleCN":null,"AbstractTextCN":null,"PMCID":null,"EPubDate":"","PubModel":"","JCR":"Q2","JCRName":"ONCOLOGY","Score":null,"Total":0}
引用次数: 0

摘要

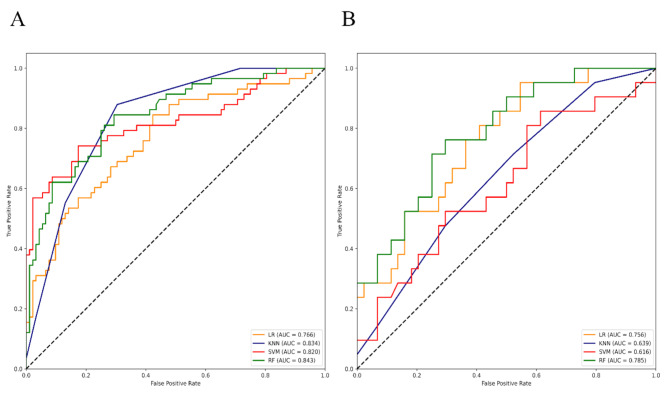
目的:根据最新的分类系统,将人表皮生长因子受体2 (HER2)的表达状态分为以下三组:HER2过表达、HER2低表达和HER2零表达。her2阴性表达重新分为her2低表达和her2零表达。本研究旨在通过PET/CT放射组学和临床病理特征确定乳腺癌(BC)患者的三种不同的HER2表达状态。方法和材料:我们回顾性地纳入了来自两个机构的315例符合纳入和排除标准的BC患者。将机构1的患者按7:3的比例分为训练集和独立验证集,机构2作为外部验证集。根据病理检查结果,将所有BC患者分为her2过表达、her2低表达和her2零表达。首先,提取并收集每个患者的PET/CT放射学特征和临床病理特征。其次,采用多种方法进行特征筛选和特征选择;然后,构建了逻辑回归(LR)、k近邻(KNN)、支持向量机(SVM)和随机森林(RF)四种机器学习分类器,用于识别her2过表达与其他、her2低表达与其他、her2零表达与其他。绘制接收者操作者特征(ROC)曲线来衡量模型的预测能力。结果:根据特征筛选流程,最终筛选出8、10、2个放射组学特征和2个临床病理特征,构建her2过表达与其他、her2低表达与其他、her2零表达与其他3个预测模型。对于her2过表达与其他模型相比,RF模型在训练集、独立验证集和外部验证集上的AUC值分别为0.843 (95%CI: 0.774-0.897)、0.785 (95%CI: 0.665-0.877)和0.788 (95%CI: 0.708-0.868),优于其他模型。关于her2低表达与其他模型的对比,LR模型优于其他模型,在训练集、独立验证集和外部验证集上的AUC值分别为0.783 (95%CI: 0.708-0.846)、0.756 (95%CI: 0.634-0.854)和0.779 (95%CI: 0.698-0.860)。KNN模型在训练集、独立验证集和外部验证集上的AUC分别为0.929 (95%CI: 0.890 ~ 0.958)、0.847 (95%CI: 0.764 ~ 0.910)和0.835 (95%CI: 0.762 ~ 0.908),是区分her2 -zero表达的最优模型。结论:结合临床病理特征的PET/CT联合放射学模型可无创预测BC患者的不同HER2状态。
本文章由计算机程序翻译,如有差异,请以英文原文为准。

Identification of HER2-over-expression, HER2-low-expression, and HER2-zero-expression statuses in breast cancer based on <sup>18</sup>F-FDG PET/CT radiomics.

Identification of HER2-over-expression, HER2-low-expression, and HER2-zero-expression statuses in breast cancer based on <sup>18</sup>F-FDG PET/CT radiomics.

Identification of HER2-over-expression, HER2-low-expression, and HER2-zero-expression statuses in breast cancer based on <sup>18</sup>F-FDG PET/CT radiomics.

Identification of HER2-over-expression, HER2-low-expression, and HER2-zero-expression statuses in breast cancer based on 18F-FDG PET/CT radiomics.

Purpose: According to the updated classification system, human epidermal growth factor receptor 2 (HER2) expression statuses are divided into the following three groups: HER2-over-expression, HER2-low-expression, and HER2-zero-expression. HER2-negative expression was reclassified into HER2-low-expression and HER2-zero-expression. This study aimed to identify three different HER2 expression statuses for breast cancer (BC) patients using PET/CT radiomics and clinicopathological characteristics.

Methods and materials: A total of 315 BC patients who met the inclusion and exclusion criteria from two institutions were retrospectively included. The patients in institution 1 were divided into the training set and the independent validation set according to the ratio of 7:3, and institution 2 was used as the external validation set. According to the results of pathological examination, all BC patients were divided into HER2-over-expression, HER2-low-expression, and HER2-zero-expression. First, PET/CT radiomic features and clinicopathological features based on each patient were extracted and collected. Second, multiple methods were used to perform feature screening and feature selection. Then, four machine learning classifiers, including logistic regression (LR), k-nearest neighbor (KNN), support vector machine (SVM), and random forest (RF), were constructed to identify HER2-over-expression vs. others, HER2-low-expression vs. others, and HER2-zero-expression vs. others. The receiver operator characteristic (ROC) curve was plotted to measure the model's predictive power.

Results: According to the feature screening process, 8, 10, and 2 radiomics features and 2 clinicopathological features were finally selected to construct three prediction models (HER2-over-expression vs. others, HER2-low-expression vs. others, and HER2-zero-expression vs. others). For HER2-over-expression vs. others, the RF model outperformed other models with an AUC value of 0.843 (95%CI: 0.774-0.897), 0.785 (95%CI: 0.665-0.877), and 0.788 (95%CI: 0.708-0.868) in the training set, independent validation set, and external validation set. Concerning HER2-low-expression vs. others, the outperformance of the LR model over other models was identified with an AUC value of 0.783 (95%CI: 0.708-0.846), 0.756 (95%CI: 0.634-0.854), and 0.779 (95%CI: 0.698-0.860) in the training set, independent validation set, and external validation set. Whereas, the KNN model was confirmed as the optimal model to distinguish HER2-zero-expression from others, with an AUC value of 0.929 (95%CI: 0.890-0.958), 0.847 (95%CI: 0.764-0.910), and 0.835 (95%CI: 0.762-0.908) in the training set, independent validation set, and external validation set.

Conclusion: Combined PET/CT radiomic models integrating with clinicopathological characteristics are non-invasively predictive of different HER2 statuses of BC patients.

求助全文
通过发布文献求助,成功后即可免费获取论文全文。 去求助
来源期刊
Cancer Imaging
Cancer Imaging ONCOLOGY-RADIOLOGY, NUCLEAR MEDICINE & MEDICAL IMAGING
CiteScore
7.00
自引率
0.00%
发文量
66
审稿时长
>12 weeks
期刊介绍: Cancer Imaging is an open access, peer-reviewed journal publishing original articles, reviews and editorials written by expert international radiologists working in oncology. The journal encompasses CT, MR, PET, ultrasound, radionuclide and multimodal imaging in all kinds of malignant tumours, plus new developments, techniques and innovations. Topics of interest include: Breast Imaging Chest Complications of treatment Ear, Nose & Throat Gastrointestinal Hepatobiliary & Pancreatic Imaging biomarkers Interventional Lymphoma Measurement of tumour response Molecular functional imaging Musculoskeletal Neuro oncology Nuclear Medicine Paediatric.
×
引用
GB/T 7714-2015
复制
MLA
复制
APA
复制
导出至
BibTeX EndNote RefMan NoteFirst NoteExpress
×
提示
您的信息不完整,为了账户安全,请先补充。
现在去补充
×
提示
您因"违规操作"
具体请查看互助需知
我知道了
×
提示
确定
请完成安全验证×
copy
已复制链接
快去分享给好友吧!
我知道了
右上角分享
点击右上角分享
0
联系我们:info@booksci.cn Book学术提供免费学术资源搜索服务,方便国内外学者检索中英文文献。致力于提供最便捷和优质的服务体验。 Copyright © 2023 布克学术 All rights reserved.
京ICP备2023020795号-1
ghs 京公网安备 11010802042870号
Book学术文献互助
Book学术文献互助群
群 号:604180095
Book学术官方微信