计算机断层扫描确定的身体成分可以预测胃癌手术后的预后。

IF 0.6 Q4 SURGERY
Turkish Journal of Surgery Pub Date : 2025-09-03 Epub Date: 2025-04-11 DOI:10.47717/turkjsurg.2025.6744
Ahmet Akmercan, Tevfik Kıvılcım Uprak, Onur Buğdaycı, Meltem Kurşun, Ali Emre Atıcı
{"title":"计算机断层扫描确定的身体成分可以预测胃癌手术后的预后。","authors":"Ahmet Akmercan, Tevfik Kıvılcım Uprak, Onur Buğdaycı, Meltem Kurşun, Ali Emre Atıcı","doi":"10.47717/turkjsurg.2025.6744","DOIUrl":null,"url":null,"abstract":"<p><strong>Objective: </strong>Loss of muscle mass (sarcopenia) and impaired muscle quality (myosteatosis) associated with poor surgical outcomes. This study aimed to evaluate the impact of sarcopenia and myosteatosis on postoperative short-term outcomes and prognosis in patients with gastric cancer.</p><p><strong>Material and methods: </strong>Patients who underwent gastric cancer surgery and had abdominal computed tomography (CT) imaging were included in the study. Skeletal muscle index (SMI) and skeletal muscle density (SMD) were calculated using CT images. Patients were divided into groups based on previously established threshold values: Those with low SMI (indicating sarcopenia) versus those with normal SMI, and those with low SMD (indicating myosteatosis) versus those with normal SMD. Demographics, clinicopathologic characteristics, postoperative outcomes, and survival data were extracted from prospective database.</p><p><strong>Results: </strong>Among the 237 patients, 87 patients (36.7%) had sarcopenia and 139 patients (58.6%) had myosteatosis. Patients with myosteatosis were characterized by older age, poorer preoperative nutritional status, inferior performance status, and extended hospital stays. Higher severe complication incidence was observed among patients with myosteatosis (18% vs. 10.2%, p=0.09). Overall survival of patients with sarcopenia or myosteatosis was significantly lower than that of patients with a normal SMI or SMD (p=0.03, p<0.001 respectively). Myosteatosis was identified as an independent risk factor for overall survival in multivariate analysis (hazard ratio: 2.20, 95% confidence interval: 1.26-3.86, p=0.006).</p><p><strong>Conclusion: </strong>This study indicated sarcopenia or myosteatosis is associated with reduced overall survival. Although there were no significant difference severe complication rates are higher in patients with low SMD than in patients with normal SMD, and reporting of SMD from preoperative CT should be considered in preoperative evaluation.</p>","PeriodicalId":23374,"journal":{"name":"Turkish Journal of Surgery","volume":" ","pages":"227-234"},"PeriodicalIF":0.6000,"publicationDate":"2025-09-03","publicationTypes":"Journal Article","fieldsOfStudy":null,"isOpenAccess":false,"openAccessPdf":"https://www.ncbi.nlm.nih.gov/pmc/articles/PMC12406638/pdf/","citationCount":"0","resultStr":"{\"title\":\"Computed tomography defined body composition may predict postoperative outcomes and prognosis following gastric cancer surgery.\",\"authors\":\"Ahmet Akmercan, Tevfik Kıvılcım Uprak, Onur Buğdaycı, Meltem Kurşun, Ali Emre Atıcı\",\"doi\":\"10.47717/turkjsurg.2025.6744\",\"DOIUrl\":null,\"url\":null,\"abstract\":\"<p><strong>Objective: </strong>Loss of muscle mass (sarcopenia) and impaired muscle quality (myosteatosis) associated with poor surgical outcomes. This study aimed to evaluate the impact of sarcopenia and myosteatosis on postoperative short-term outcomes and prognosis in patients with gastric cancer.</p><p><strong>Material and methods: </strong>Patients who underwent gastric cancer surgery and had abdominal computed tomography (CT) imaging were included in the study. Skeletal muscle index (SMI) and skeletal muscle density (SMD) were calculated using CT images. Patients were divided into groups based on previously established threshold values: Those with low SMI (indicating sarcopenia) versus those with normal SMI, and those with low SMD (indicating myosteatosis) versus those with normal SMD. Demographics, clinicopathologic characteristics, postoperative outcomes, and survival data were extracted from prospective database.</p><p><strong>Results: </strong>Among the 237 patients, 87 patients (36.7%) had sarcopenia and 139 patients (58.6%) had myosteatosis. Patients with myosteatosis were characterized by older age, poorer preoperative nutritional status, inferior performance status, and extended hospital stays. Higher severe complication incidence was observed among patients with myosteatosis (18% vs. 10.2%, p=0.09). Overall survival of patients with sarcopenia or myosteatosis was significantly lower than that of patients with a normal SMI or SMD (p=0.03, p<0.001 respectively). Myosteatosis was identified as an independent risk factor for overall survival in multivariate analysis (hazard ratio: 2.20, 95% confidence interval: 1.26-3.86, p=0.006).</p><p><strong>Conclusion: </strong>This study indicated sarcopenia or myosteatosis is associated with reduced overall survival. Although there were no significant difference severe complication rates are higher in patients with low SMD than in patients with normal SMD, and reporting of SMD from preoperative CT should be considered in preoperative evaluation.</p>\",\"PeriodicalId\":23374,\"journal\":{\"name\":\"Turkish Journal of Surgery\",\"volume\":\" \",\"pages\":\"227-234\"},\"PeriodicalIF\":0.6000,\"publicationDate\":\"2025-09-03\",\"publicationTypes\":\"Journal Article\",\"fieldsOfStudy\":null,\"isOpenAccess\":false,\"openAccessPdf\":\"https://www.ncbi.nlm.nih.gov/pmc/articles/PMC12406638/pdf/\",\"citationCount\":\"0\",\"resultStr\":null,\"platform\":\"Semanticscholar\",\"paperid\":null,\"PeriodicalName\":\"Turkish Journal of Surgery\",\"FirstCategoryId\":\"1085\",\"ListUrlMain\":\"https://doi.org/10.47717/turkjsurg.2025.6744\",\"RegionNum\":0,\"RegionCategory\":null,\"ArticlePicture\":[],\"TitleCN\":null,\"AbstractTextCN\":null,\"PMCID\":null,\"EPubDate\":\"2025/4/11 0:00:00\",\"PubModel\":\"Epub\",\"JCR\":\"Q4\",\"JCRName\":\"SURGERY\",\"Score\":null,\"Total\":0}","platform":"Semanticscholar","paperid":null,"PeriodicalName":"Turkish Journal of Surgery","FirstCategoryId":"1085","ListUrlMain":"https://doi.org/10.47717/turkjsurg.2025.6744","RegionNum":0,"RegionCategory":null,"ArticlePicture":[],"TitleCN":null,"AbstractTextCN":null,"PMCID":null,"EPubDate":"2025/4/11 0:00:00","PubModel":"Epub","JCR":"Q4","JCRName":"SURGERY","Score":null,"Total":0}
引用次数: 0

摘要

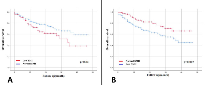
目的:肌肉质量损失(肌肉减少症)和肌肉质量受损(肌骨增生症)与不良手术结果相关。本研究旨在评估肌肉减少症和肌骨增生症对胃癌患者术后短期预后的影响。材料与方法:研究对象为接受胃癌手术并行腹部计算机断层扫描(CT)的患者。利用CT图像计算骨骼肌指数(SMI)和骨骼肌密度(SMD)。根据先前确定的阈值将患者分为两组:低SMI组(表明肌肉减少)与正常SMI组,低SMD组(表明肌骨化症)与正常SMD组。从前瞻性数据库中提取人口统计学、临床病理特征、术后结局和生存数据。结果:237例患者中有肌肉减少症87例(36.7%),肌骨化症139例(58.6%)。骨骼肌病患者的特点是年龄较大,术前营养状况较差,运动状态较差,住院时间较长。骨化症患者的严重并发症发生率较高(18% vs. 10.2%, p=0.09)。骨骼肌减少症或肌骨增生症患者的总生存期明显低于正常SMI或SMD患者(p=0.03, p)。结论:本研究表明,骨骼肌减少症或肌骨增生症与总生存期降低相关。虽然两者无显著差异,但重度并发症发生率在SMD低的患者中高于SMD正常的患者,术前评估时应考虑术前CT报告的SMD。
本文章由计算机程序翻译,如有差异,请以英文原文为准。

Computed tomography defined body composition may predict postoperative outcomes and prognosis following gastric cancer surgery.

Computed tomography defined body composition may predict postoperative outcomes and prognosis following gastric cancer surgery.

Computed tomography defined body composition may predict postoperative outcomes and prognosis following gastric cancer surgery.

Objective: Loss of muscle mass (sarcopenia) and impaired muscle quality (myosteatosis) associated with poor surgical outcomes. This study aimed to evaluate the impact of sarcopenia and myosteatosis on postoperative short-term outcomes and prognosis in patients with gastric cancer.

Material and methods: Patients who underwent gastric cancer surgery and had abdominal computed tomography (CT) imaging were included in the study. Skeletal muscle index (SMI) and skeletal muscle density (SMD) were calculated using CT images. Patients were divided into groups based on previously established threshold values: Those with low SMI (indicating sarcopenia) versus those with normal SMI, and those with low SMD (indicating myosteatosis) versus those with normal SMD. Demographics, clinicopathologic characteristics, postoperative outcomes, and survival data were extracted from prospective database.

Results: Among the 237 patients, 87 patients (36.7%) had sarcopenia and 139 patients (58.6%) had myosteatosis. Patients with myosteatosis were characterized by older age, poorer preoperative nutritional status, inferior performance status, and extended hospital stays. Higher severe complication incidence was observed among patients with myosteatosis (18% vs. 10.2%, p=0.09). Overall survival of patients with sarcopenia or myosteatosis was significantly lower than that of patients with a normal SMI or SMD (p=0.03, p<0.001 respectively). Myosteatosis was identified as an independent risk factor for overall survival in multivariate analysis (hazard ratio: 2.20, 95% confidence interval: 1.26-3.86, p=0.006).

Conclusion: This study indicated sarcopenia or myosteatosis is associated with reduced overall survival. Although there were no significant difference severe complication rates are higher in patients with low SMD than in patients with normal SMD, and reporting of SMD from preoperative CT should be considered in preoperative evaluation.

求助全文
通过发布文献求助,成功后即可免费获取论文全文。 去求助
来源期刊
CiteScore
1.20
自引率
0.00%
发文量
16
×
引用
GB/T 7714-2015
复制
MLA
复制
APA
复制
导出至
BibTeX EndNote RefMan NoteFirst NoteExpress
×
提示
您的信息不完整,为了账户安全,请先补充。
现在去补充
×
提示
您因"违规操作"
具体请查看互助需知
我知道了
×
提示
确定
请完成安全验证×
copy
已复制链接
快去分享给好友吧!
我知道了
右上角分享
点击右上角分享
0
联系我们:info@booksci.cn Book学术提供免费学术资源搜索服务,方便国内外学者检索中英文文献。致力于提供最便捷和优质的服务体验。 Copyright © 2023 布克学术 All rights reserved.
京ICP备2023020795号-1
ghs 京公网安备 11010802042870号
Book学术文献互助
Book学术文献互助群
群 号:604180095
Book学术官方微信