在英国生物银行中,血红蛋白A1c对前列腺癌幸存者不良心血管结局的风险进行分层:一项队列研究。

IF 3.2 Q2 CARDIAC & CARDIOVASCULAR SYSTEMS
Adithya K Yadalam, Alexander C Razavi, Sagar A Patel, Chang Liu, Yan V Sun, Anant Mandawat
{"title":"在英国生物银行中,血红蛋白A1c对前列腺癌幸存者不良心血管结局的风险进行分层:一项队列研究。","authors":"Adithya K Yadalam, Alexander C Razavi, Sagar A Patel, Chang Liu, Yan V Sun, Anant Mandawat","doi":"10.1186/s40959-025-00330-9","DOIUrl":null,"url":null,"abstract":"<p><p>Cardiovascular mortality is a major cause of death in prostate cancer (PCa) survivors, yet tools for cardiovascular risk stratification in this population are lacking. Although hemoglobin A1c (HbA1c) is routinely utilized for risk stratification in the general population, the value of HbA1c for cardiovascular risk stratification in patients with PCa is unknown. Leveraging data from the UK Biobank, we analyzed the association of HbA1c and adverse cardiovascular outcomes in 2,270 men diagnosed with PCa. Over a median follow-up of 13.4 (IQR 1.7) years, 172 cardiovascular death or non-fatal myocardial infarction (MI) events occurred. When compared to participants with an HbA1c < 5.7% in competing-risk regression analysis accounting for non-cardiovascular death, HbA1c ≥ 6.5% was the strongest predictor of cardiovascular death or non-fatal MI (sHR 1.88, 95% CI 1.01-3.48, P < 0.001) after insulin use in a risk model adjusted for demographics, traditional cardiovascular risk factors, and insulin use. Furthermore, when compared to age-matched male UK Biobank participants without PCa, continuous HbA1c levels were a stronger predictor of adverse cardiovascular outcomes in PCa survivors (P-interaction = 0.011). Our findings highlight HbA1c as a robust predictor of cardiovascular risk in men with PCa. Further prospective studies are needed to discern if improving glycemic control could decrease the risk of adverse cardiovascular outcomes in this population.</p>","PeriodicalId":9804,"journal":{"name":"Cardio-oncology","volume":"11 1","pages":"36"},"PeriodicalIF":3.2000,"publicationDate":"2025-04-10","publicationTypes":"Journal Article","fieldsOfStudy":null,"isOpenAccess":false,"openAccessPdf":"https://www.ncbi.nlm.nih.gov/pmc/articles/PMC11983747/pdf/","citationCount":"0","resultStr":"{\"title\":\"Hemoglobin A1c stratifies risk of adverse cardiovascular outcomes in prostate cancer survivors in the UK Biobank: a cohort study.\",\"authors\":\"Adithya K Yadalam, Alexander C Razavi, Sagar A Patel, Chang Liu, Yan V Sun, Anant Mandawat\",\"doi\":\"10.1186/s40959-025-00330-9\",\"DOIUrl\":null,\"url\":null,\"abstract\":\"<p><p>Cardiovascular mortality is a major cause of death in prostate cancer (PCa) survivors, yet tools for cardiovascular risk stratification in this population are lacking. Although hemoglobin A1c (HbA1c) is routinely utilized for risk stratification in the general population, the value of HbA1c for cardiovascular risk stratification in patients with PCa is unknown. Leveraging data from the UK Biobank, we analyzed the association of HbA1c and adverse cardiovascular outcomes in 2,270 men diagnosed with PCa. Over a median follow-up of 13.4 (IQR 1.7) years, 172 cardiovascular death or non-fatal myocardial infarction (MI) events occurred. When compared to participants with an HbA1c < 5.7% in competing-risk regression analysis accounting for non-cardiovascular death, HbA1c ≥ 6.5% was the strongest predictor of cardiovascular death or non-fatal MI (sHR 1.88, 95% CI 1.01-3.48, P < 0.001) after insulin use in a risk model adjusted for demographics, traditional cardiovascular risk factors, and insulin use. Furthermore, when compared to age-matched male UK Biobank participants without PCa, continuous HbA1c levels were a stronger predictor of adverse cardiovascular outcomes in PCa survivors (P-interaction = 0.011). Our findings highlight HbA1c as a robust predictor of cardiovascular risk in men with PCa. Further prospective studies are needed to discern if improving glycemic control could decrease the risk of adverse cardiovascular outcomes in this population.</p>\",\"PeriodicalId\":9804,\"journal\":{\"name\":\"Cardio-oncology\",\"volume\":\"11 1\",\"pages\":\"36\"},\"PeriodicalIF\":3.2000,\"publicationDate\":\"2025-04-10\",\"publicationTypes\":\"Journal Article\",\"fieldsOfStudy\":null,\"isOpenAccess\":false,\"openAccessPdf\":\"https://www.ncbi.nlm.nih.gov/pmc/articles/PMC11983747/pdf/\",\"citationCount\":\"0\",\"resultStr\":null,\"platform\":\"Semanticscholar\",\"paperid\":null,\"PeriodicalName\":\"Cardio-oncology\",\"FirstCategoryId\":\"1085\",\"ListUrlMain\":\"https://doi.org/10.1186/s40959-025-00330-9\",\"RegionNum\":0,\"RegionCategory\":null,\"ArticlePicture\":[],\"TitleCN\":null,\"AbstractTextCN\":null,\"PMCID\":null,\"EPubDate\":\"\",\"PubModel\":\"\",\"JCR\":\"Q2\",\"JCRName\":\"CARDIAC & CARDIOVASCULAR SYSTEMS\",\"Score\":null,\"Total\":0}","platform":"Semanticscholar","paperid":null,"PeriodicalName":"Cardio-oncology","FirstCategoryId":"1085","ListUrlMain":"https://doi.org/10.1186/s40959-025-00330-9","RegionNum":0,"RegionCategory":null,"ArticlePicture":[],"TitleCN":null,"AbstractTextCN":null,"PMCID":null,"EPubDate":"","PubModel":"","JCR":"Q2","JCRName":"CARDIAC & CARDIOVASCULAR SYSTEMS","Score":null,"Total":0}
引用次数: 0

摘要

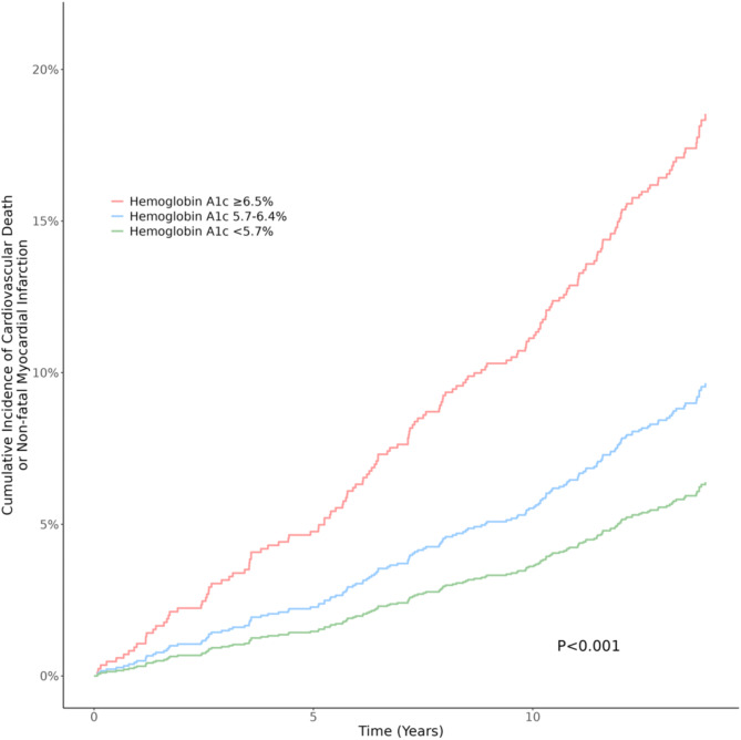
心血管死亡是前列腺癌(PCa)幸存者死亡的主要原因,但缺乏对这一人群进行心血管风险分层的工具。虽然血红蛋白A1c (HbA1c)通常用于一般人群的风险分层,但HbA1c在PCa患者心血管风险分层中的价值尚不清楚。利用来自UK Biobank的数据,我们分析了2270名诊断为PCa的男性的HbA1c与不良心血管结局的关系。在中位随访13.4 (IQR 1.7)年期间,发生了172例心血管死亡或非致死性心肌梗死(MI)事件。与HbA1c患者相比
本文章由计算机程序翻译,如有差异,请以英文原文为准。

Hemoglobin A1c stratifies risk of adverse cardiovascular outcomes in prostate cancer survivors in the UK Biobank: a cohort study.

Hemoglobin A1c stratifies risk of adverse cardiovascular outcomes in prostate cancer survivors in the UK Biobank: a cohort study.

Cardiovascular mortality is a major cause of death in prostate cancer (PCa) survivors, yet tools for cardiovascular risk stratification in this population are lacking. Although hemoglobin A1c (HbA1c) is routinely utilized for risk stratification in the general population, the value of HbA1c for cardiovascular risk stratification in patients with PCa is unknown. Leveraging data from the UK Biobank, we analyzed the association of HbA1c and adverse cardiovascular outcomes in 2,270 men diagnosed with PCa. Over a median follow-up of 13.4 (IQR 1.7) years, 172 cardiovascular death or non-fatal myocardial infarction (MI) events occurred. When compared to participants with an HbA1c < 5.7% in competing-risk regression analysis accounting for non-cardiovascular death, HbA1c ≥ 6.5% was the strongest predictor of cardiovascular death or non-fatal MI (sHR 1.88, 95% CI 1.01-3.48, P < 0.001) after insulin use in a risk model adjusted for demographics, traditional cardiovascular risk factors, and insulin use. Furthermore, when compared to age-matched male UK Biobank participants without PCa, continuous HbA1c levels were a stronger predictor of adverse cardiovascular outcomes in PCa survivors (P-interaction = 0.011). Our findings highlight HbA1c as a robust predictor of cardiovascular risk in men with PCa. Further prospective studies are needed to discern if improving glycemic control could decrease the risk of adverse cardiovascular outcomes in this population.

求助全文
通过发布文献求助,成功后即可免费获取论文全文。 去求助
来源期刊
Cardio-oncology
Cardio-oncology Medicine-Cardiology and Cardiovascular Medicine
CiteScore
5.00
自引率
3.00%
发文量
17
审稿时长
7 weeks
×
引用
GB/T 7714-2015
复制
MLA
复制
APA
复制
导出至
BibTeX EndNote RefMan NoteFirst NoteExpress
×
提示
您的信息不完整,为了账户安全,请先补充。
现在去补充
×
提示
您因"违规操作"
具体请查看互助需知
我知道了
×
提示
确定
请完成安全验证×
copy
已复制链接
快去分享给好友吧!
我知道了
右上角分享
点击右上角分享
0
联系我们:info@booksci.cn Book学术提供免费学术资源搜索服务,方便国内外学者检索中英文文献。致力于提供最便捷和优质的服务体验。 Copyright © 2023 布克学术 All rights reserved.
京ICP备2023020795号-1
ghs 京公网安备 11010802042870号
Book学术文献互助
Book学术文献互助群
群 号:604180095
Book学术官方微信