术前使用肿瘤内和肿瘤周围栖息地成像预测WHO/ISUP分级:多中心研究

IF 3.5 2区 医学 Q2 ONCOLOGY
Zhihui Chen, Hongqing Zhu, Hongmin Shu, Jianbo Zhang, Kangchen Gu, Wenjun Yao
{"title":"术前使用肿瘤内和肿瘤周围栖息地成像预测WHO/ISUP分级:多中心研究","authors":"Zhihui Chen, Hongqing Zhu, Hongmin Shu, Jianbo Zhang, Kangchen Gu, Wenjun Yao","doi":"10.1186/s40644-025-00875-z","DOIUrl":null,"url":null,"abstract":"<p><strong>Objectives: </strong>The World Health Organization/International Society of Urological Pathology (WHO/ISUP) grading of clear cell renal cell carcinoma (ccRCC) is crucial for prognosis and treatment planning. This study aims to predict the grade using intratumoral and peritumoral subregional CT radiomics analysis for better clinical interventions.</p><p><strong>Methods: </strong>Data from two hospitals included 513 ccRCC patients, who were divided into training (70%), validation (30%), and an external validation set (testing) of 67 patients. Using ITK-SNAP, two radiologists annotated tumor regions of interest (ROI) and extended surrounding areas by 1 mm, 3 mm, and 5 mm. The K-means clustering algorithm divided the tumor region into three sub-regions, and the Least Absolute Shrinkage and Selection Operator (LASSO) regression identified the most predictive features. Various machine learning models were established, including radiomics models, peritumoral radiomics models, models based on intratumoral heterogeneity (ITH) score, clinical models, and comprehensive models. Predictive ability was evaluated using receiver operating characteristic (ROC) curves, area under the curve (AUC) values, DeLong tests, calibration curves, and decision curves.</p><p><strong>Results: </strong>The combined model showed strong predictive power with an AUC of 0.852 (95% CI: 0.725-0.979) on the test data, outperforming individual models. The ITH score model was highly precise, with AUCs of 0.891 (95% CI: 0.854-0.927) in training, 0.877 (95% CI: 0.814-0.941) in validation, and 0.847 (95% CI: 0.725-0.969) in testing, proving its superior predictive ability across datasets.</p><p><strong>Conclusion: </strong>A comprehensive model combining Habitat, Peri1mm, and salient clinical features was significantly more accurate in predicting ccRCC pathologic grading.</p><p><strong>Key points: </strong>Question: Characterize tumor heterogeneity to non-invasively predict WHO/ISUP pathological grading preoperatively.</p><p><strong>Findings: </strong>An integrated model combining subregion characterization, peritumoral characteristics, and clinical features can predict ccRCC grade preoperatively.</p><p><strong>Clinical relevance: </strong>Subregion tumor characterization outperforms the single-entity approach. The integrated model, compared with the radiomics model, boosts grading and prognostic accuracy for more targeted clinical actions.</p>","PeriodicalId":9548,"journal":{"name":"Cancer Imaging","volume":"25 1","pages":"59"},"PeriodicalIF":3.5000,"publicationDate":"2025-05-03","publicationTypes":"Journal Article","fieldsOfStudy":null,"isOpenAccess":false,"openAccessPdf":"https://www.ncbi.nlm.nih.gov/pmc/articles/PMC12049773/pdf/","citationCount":"0","resultStr":"{\"title\":\"Preoperative prediction of WHO/ISUP grade of ccRCC using intratumoral and peritumoral habitat imaging: multicenter study.\",\"authors\":\"Zhihui Chen, Hongqing Zhu, Hongmin Shu, Jianbo Zhang, Kangchen Gu, Wenjun Yao\",\"doi\":\"10.1186/s40644-025-00875-z\",\"DOIUrl\":null,\"url\":null,\"abstract\":\"<p><strong>Objectives: </strong>The World Health Organization/International Society of Urological Pathology (WHO/ISUP) grading of clear cell renal cell carcinoma (ccRCC) is crucial for prognosis and treatment planning. This study aims to predict the grade using intratumoral and peritumoral subregional CT radiomics analysis for better clinical interventions.</p><p><strong>Methods: </strong>Data from two hospitals included 513 ccRCC patients, who were divided into training (70%), validation (30%), and an external validation set (testing) of 67 patients. Using ITK-SNAP, two radiologists annotated tumor regions of interest (ROI) and extended surrounding areas by 1 mm, 3 mm, and 5 mm. The K-means clustering algorithm divided the tumor region into three sub-regions, and the Least Absolute Shrinkage and Selection Operator (LASSO) regression identified the most predictive features. Various machine learning models were established, including radiomics models, peritumoral radiomics models, models based on intratumoral heterogeneity (ITH) score, clinical models, and comprehensive models. Predictive ability was evaluated using receiver operating characteristic (ROC) curves, area under the curve (AUC) values, DeLong tests, calibration curves, and decision curves.</p><p><strong>Results: </strong>The combined model showed strong predictive power with an AUC of 0.852 (95% CI: 0.725-0.979) on the test data, outperforming individual models. The ITH score model was highly precise, with AUCs of 0.891 (95% CI: 0.854-0.927) in training, 0.877 (95% CI: 0.814-0.941) in validation, and 0.847 (95% CI: 0.725-0.969) in testing, proving its superior predictive ability across datasets.</p><p><strong>Conclusion: </strong>A comprehensive model combining Habitat, Peri1mm, and salient clinical features was significantly more accurate in predicting ccRCC pathologic grading.</p><p><strong>Key points: </strong>Question: Characterize tumor heterogeneity to non-invasively predict WHO/ISUP pathological grading preoperatively.</p><p><strong>Findings: </strong>An integrated model combining subregion characterization, peritumoral characteristics, and clinical features can predict ccRCC grade preoperatively.</p><p><strong>Clinical relevance: </strong>Subregion tumor characterization outperforms the single-entity approach. The integrated model, compared with the radiomics model, boosts grading and prognostic accuracy for more targeted clinical actions.</p>\",\"PeriodicalId\":9548,\"journal\":{\"name\":\"Cancer Imaging\",\"volume\":\"25 1\",\"pages\":\"59\"},\"PeriodicalIF\":3.5000,\"publicationDate\":\"2025-05-03\",\"publicationTypes\":\"Journal Article\",\"fieldsOfStudy\":null,\"isOpenAccess\":false,\"openAccessPdf\":\"https://www.ncbi.nlm.nih.gov/pmc/articles/PMC12049773/pdf/\",\"citationCount\":\"0\",\"resultStr\":null,\"platform\":\"Semanticscholar\",\"paperid\":null,\"PeriodicalName\":\"Cancer Imaging\",\"FirstCategoryId\":\"3\",\"ListUrlMain\":\"https://doi.org/10.1186/s40644-025-00875-z\",\"RegionNum\":2,\"RegionCategory\":\"医学\",\"ArticlePicture\":[],\"TitleCN\":null,\"AbstractTextCN\":null,\"PMCID\":null,\"EPubDate\":\"\",\"PubModel\":\"\",\"JCR\":\"Q2\",\"JCRName\":\"ONCOLOGY\",\"Score\":null,\"Total\":0}","platform":"Semanticscholar","paperid":null,"PeriodicalName":"Cancer Imaging","FirstCategoryId":"3","ListUrlMain":"https://doi.org/10.1186/s40644-025-00875-z","RegionNum":2,"RegionCategory":"医学","ArticlePicture":[],"TitleCN":null,"AbstractTextCN":null,"PMCID":null,"EPubDate":"","PubModel":"","JCR":"Q2","JCRName":"ONCOLOGY","Score":null,"Total":0}
引用次数: 0

摘要

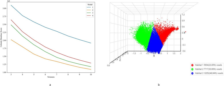
目的:世界卫生组织/国际泌尿病理学会(WHO/ISUP)透明细胞肾细胞癌(ccRCC)的分级对预后和治疗计划至关重要。本研究旨在通过肿瘤内和肿瘤周围分区域CT放射组学分析来预测肿瘤的分级,以便更好地进行临床干预。方法:来自两家医院的数据包括513例ccRCC患者,分为训练组(70%)、验证组(30%)和外部验证组(测试组)67例。使用ITK-SNAP,两名放射科医生注释了感兴趣的肿瘤区域(ROI)并将周围区域扩展了1mm, 3mm和5mm。K-means聚类算法将肿瘤区域划分为三个子区域,最小绝对收缩和选择算子(LASSO)回归识别出最具预测性的特征。建立了多种机器学习模型,包括放射组学模型、肿瘤周围放射组学模型、基于肿瘤内异质性(ITH)评分的模型、临床模型和综合模型。采用受试者工作特征(ROC)曲线、曲线下面积(AUC)值、DeLong试验、校准曲线和决策曲线评估预测能力。结果:联合模型具有较强的预测能力,检验数据的AUC为0.852 (95% CI: 0.725 ~ 0.979),优于单个模型。ITH评分模型非常精确,训练的auc为0.891 (95% CI: 0.854-0.927),验证的auc为0.877 (95% CI: 0.814-0.941),测试的auc为0.847 (95% CI: 0.725-0.969),证明了其在数据集上的卓越预测能力。结论:结合Habitat、Peri1mm和显著临床特征的综合模型预测ccRCC病理分级的准确性显著提高。问题:表征肿瘤异质性以无创预测术前WHO/ISUP病理分级。结果:结合亚区特征、肿瘤周围特征和临床特征的综合模型可以预测术前ccRCC的分级。临床相关性:亚区域肿瘤特征优于单一实体方法。与放射组学模型相比,综合模型提高了分级和预后准确性,从而更有针对性地采取临床行动。
本文章由计算机程序翻译,如有差异,请以英文原文为准。

Preoperative prediction of WHO/ISUP grade of ccRCC using intratumoral and peritumoral habitat imaging: multicenter study.

Preoperative prediction of WHO/ISUP grade of ccRCC using intratumoral and peritumoral habitat imaging: multicenter study.

Preoperative prediction of WHO/ISUP grade of ccRCC using intratumoral and peritumoral habitat imaging: multicenter study.

Preoperative prediction of WHO/ISUP grade of ccRCC using intratumoral and peritumoral habitat imaging: multicenter study.

Objectives: The World Health Organization/International Society of Urological Pathology (WHO/ISUP) grading of clear cell renal cell carcinoma (ccRCC) is crucial for prognosis and treatment planning. This study aims to predict the grade using intratumoral and peritumoral subregional CT radiomics analysis for better clinical interventions.

Methods: Data from two hospitals included 513 ccRCC patients, who were divided into training (70%), validation (30%), and an external validation set (testing) of 67 patients. Using ITK-SNAP, two radiologists annotated tumor regions of interest (ROI) and extended surrounding areas by 1 mm, 3 mm, and 5 mm. The K-means clustering algorithm divided the tumor region into three sub-regions, and the Least Absolute Shrinkage and Selection Operator (LASSO) regression identified the most predictive features. Various machine learning models were established, including radiomics models, peritumoral radiomics models, models based on intratumoral heterogeneity (ITH) score, clinical models, and comprehensive models. Predictive ability was evaluated using receiver operating characteristic (ROC) curves, area under the curve (AUC) values, DeLong tests, calibration curves, and decision curves.

Results: The combined model showed strong predictive power with an AUC of 0.852 (95% CI: 0.725-0.979) on the test data, outperforming individual models. The ITH score model was highly precise, with AUCs of 0.891 (95% CI: 0.854-0.927) in training, 0.877 (95% CI: 0.814-0.941) in validation, and 0.847 (95% CI: 0.725-0.969) in testing, proving its superior predictive ability across datasets.

Conclusion: A comprehensive model combining Habitat, Peri1mm, and salient clinical features was significantly more accurate in predicting ccRCC pathologic grading.

Key points: Question: Characterize tumor heterogeneity to non-invasively predict WHO/ISUP pathological grading preoperatively.

Findings: An integrated model combining subregion characterization, peritumoral characteristics, and clinical features can predict ccRCC grade preoperatively.

Clinical relevance: Subregion tumor characterization outperforms the single-entity approach. The integrated model, compared with the radiomics model, boosts grading and prognostic accuracy for more targeted clinical actions.

求助全文
通过发布文献求助,成功后即可免费获取论文全文。 去求助
来源期刊
Cancer Imaging
Cancer Imaging ONCOLOGY-RADIOLOGY, NUCLEAR MEDICINE & MEDICAL IMAGING
CiteScore
7.00
自引率
0.00%
发文量
66
审稿时长
>12 weeks
期刊介绍: Cancer Imaging is an open access, peer-reviewed journal publishing original articles, reviews and editorials written by expert international radiologists working in oncology. The journal encompasses CT, MR, PET, ultrasound, radionuclide and multimodal imaging in all kinds of malignant tumours, plus new developments, techniques and innovations. Topics of interest include: Breast Imaging Chest Complications of treatment Ear, Nose & Throat Gastrointestinal Hepatobiliary & Pancreatic Imaging biomarkers Interventional Lymphoma Measurement of tumour response Molecular functional imaging Musculoskeletal Neuro oncology Nuclear Medicine Paediatric.
×
引用
GB/T 7714-2015
复制
MLA
复制
APA
复制
导出至
BibTeX EndNote RefMan NoteFirst NoteExpress
×
提示
您的信息不完整,为了账户安全,请先补充。
现在去补充
×
提示
您因"违规操作"
具体请查看互助需知
我知道了
×
提示
确定
请完成安全验证×
copy
已复制链接
快去分享给好友吧!
我知道了
右上角分享
点击右上角分享
0
联系我们:info@booksci.cn Book学术提供免费学术资源搜索服务,方便国内外学者检索中英文文献。致力于提供最便捷和优质的服务体验。 Copyright © 2023 布克学术 All rights reserved.
京ICP备2023020795号-1
ghs 京公网安备 11010802042870号
Book学术文献互助
Book学术文献互助群
群 号:604180095
Book学术官方微信