罗马晚期的干旱和冲突。

IF 4.8 2区 环境科学与生态学 Q1 ENVIRONMENTAL SCIENCES
Climatic Change Pub Date : 2025-01-01 Epub Date: 2025-04-16 DOI:10.1007/s10584-025-03925-4
Charles Norman, Lothar Schwinden, Paul Krusic, Andreas Rzepecki, Tatiana Bebchuk, Ulf Büntgen
{"title":"罗马晚期的干旱和冲突。","authors":"Charles Norman, Lothar Schwinden, Paul Krusic, Andreas Rzepecki, Tatiana Bebchuk, Ulf Büntgen","doi":"10.1007/s10584-025-03925-4","DOIUrl":null,"url":null,"abstract":"<p><p>Despite continuous investigation, reasons for both the abandonment of Roman Britain around 410 CE, and the separate collapse of the Western Roman Empire in 476 CE remain unclear. Here, we use tree ring-based climate reconstructions and written documentary sources to show that a sequence of severe summer droughts from 364 to 366 CE not only contributed to prolonged harvest failures and food shortages, but also played a role in the 'Barbarian Conspiracy', a catastrophic military defeat for Roman Britain in 367 CE. In line with contemporary reports from the historian Ammianus Marcellinus, this pivotal event in pre-modern history coincided with anomalous coin hoarding, and a gradual depopulation of Roman villas and towns. Expanding our climate-conflict analysis from Roman Britain as a case study to the entire Roman Empire and the period 350-476 CE reveals clear linkages between years in which battles occurred and preceding warm and dry summers. Based on these findings, we develop a mechanistic model to explain the vulnerability of agrarian societies to climate variability, whereby prolonged droughts cause harvest failures and food shortages (dependant on societal resilience) that lead to systematic pressure, societal instability, and eventually outright conflict.</p><p><strong>Supplementary information: </strong>The online version contains supplementary material available at 10.1007/s10584-025-03925-4.</p>","PeriodicalId":10372,"journal":{"name":"Climatic Change","volume":"178 5","pages":"87"},"PeriodicalIF":4.8000,"publicationDate":"2025-01-01","publicationTypes":"Journal Article","fieldsOfStudy":null,"isOpenAccess":false,"openAccessPdf":"https://www.ncbi.nlm.nih.gov/pmc/articles/PMC12003598/pdf/","citationCount":"0","resultStr":"{\"title\":\"Droughts and conflicts during the late Roman period.\",\"authors\":\"Charles Norman, Lothar Schwinden, Paul Krusic, Andreas Rzepecki, Tatiana Bebchuk, Ulf Büntgen\",\"doi\":\"10.1007/s10584-025-03925-4\",\"DOIUrl\":null,\"url\":null,\"abstract\":\"<p><p>Despite continuous investigation, reasons for both the abandonment of Roman Britain around 410 CE, and the separate collapse of the Western Roman Empire in 476 CE remain unclear. Here, we use tree ring-based climate reconstructions and written documentary sources to show that a sequence of severe summer droughts from 364 to 366 CE not only contributed to prolonged harvest failures and food shortages, but also played a role in the 'Barbarian Conspiracy', a catastrophic military defeat for Roman Britain in 367 CE. In line with contemporary reports from the historian Ammianus Marcellinus, this pivotal event in pre-modern history coincided with anomalous coin hoarding, and a gradual depopulation of Roman villas and towns. Expanding our climate-conflict analysis from Roman Britain as a case study to the entire Roman Empire and the period 350-476 CE reveals clear linkages between years in which battles occurred and preceding warm and dry summers. Based on these findings, we develop a mechanistic model to explain the vulnerability of agrarian societies to climate variability, whereby prolonged droughts cause harvest failures and food shortages (dependant on societal resilience) that lead to systematic pressure, societal instability, and eventually outright conflict.</p><p><strong>Supplementary information: </strong>The online version contains supplementary material available at 10.1007/s10584-025-03925-4.</p>\",\"PeriodicalId\":10372,\"journal\":{\"name\":\"Climatic Change\",\"volume\":\"178 5\",\"pages\":\"87\"},\"PeriodicalIF\":4.8000,\"publicationDate\":\"2025-01-01\",\"publicationTypes\":\"Journal Article\",\"fieldsOfStudy\":null,\"isOpenAccess\":false,\"openAccessPdf\":\"https://www.ncbi.nlm.nih.gov/pmc/articles/PMC12003598/pdf/\",\"citationCount\":\"0\",\"resultStr\":null,\"platform\":\"Semanticscholar\",\"paperid\":null,\"PeriodicalName\":\"Climatic Change\",\"FirstCategoryId\":\"93\",\"ListUrlMain\":\"https://doi.org/10.1007/s10584-025-03925-4\",\"RegionNum\":2,\"RegionCategory\":\"环境科学与生态学\",\"ArticlePicture\":[],\"TitleCN\":null,\"AbstractTextCN\":null,\"PMCID\":null,\"EPubDate\":\"2025/4/16 0:00:00\",\"PubModel\":\"Epub\",\"JCR\":\"Q1\",\"JCRName\":\"ENVIRONMENTAL SCIENCES\",\"Score\":null,\"Total\":0}","platform":"Semanticscholar","paperid":null,"PeriodicalName":"Climatic Change","FirstCategoryId":"93","ListUrlMain":"https://doi.org/10.1007/s10584-025-03925-4","RegionNum":2,"RegionCategory":"环境科学与生态学","ArticlePicture":[],"TitleCN":null,"AbstractTextCN":null,"PMCID":null,"EPubDate":"2025/4/16 0:00:00","PubModel":"Epub","JCR":"Q1","JCRName":"ENVIRONMENTAL SCIENCES","Score":null,"Total":0}
引用次数: 0

摘要

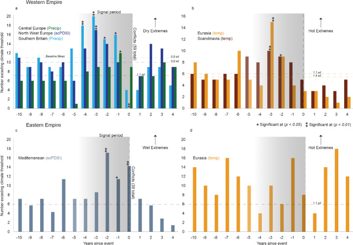
尽管有不断的调查,但公元410年左右罗马不列颠被放弃,以及公元476年西罗马帝国单独崩溃的原因仍然不清楚。在这里,我们使用基于树木年轮的气候重建和书面文献资料来表明,从公元364年到366年,一系列严重的夏季干旱不仅导致了长期的歉收和粮食短缺,而且还在“野蛮人阴谋”中发挥了作用,这是公元367年罗马不列颠的灾难性军事失败。根据历史学家Ammianus Marcellinus的同时代报告,这一前现代历史上的关键事件与反常的硬币囤积以及罗马别墅和城镇的逐渐减少相吻合。将我们的气候冲突分析从罗马时期的不列颠扩展到整个罗马帝国和公元350-476年,揭示了战争发生的年份与温暖干燥的夏季之间的明显联系。基于这些发现,我们开发了一个机制模型来解释农业社会对气候变化的脆弱性,即长期干旱导致歉收和粮食短缺(取决于社会恢复力),从而导致系统性压力、社会不稳定,并最终导致彻底的冲突。补充资料:在线版本包含补充资料,下载地址:10.1007/s10584-025-03925-4。
本文章由计算机程序翻译,如有差异,请以英文原文为准。

Droughts and conflicts during the late Roman period.

Droughts and conflicts during the late Roman period.

Droughts and conflicts during the late Roman period.

Droughts and conflicts during the late Roman period.

Despite continuous investigation, reasons for both the abandonment of Roman Britain around 410 CE, and the separate collapse of the Western Roman Empire in 476 CE remain unclear. Here, we use tree ring-based climate reconstructions and written documentary sources to show that a sequence of severe summer droughts from 364 to 366 CE not only contributed to prolonged harvest failures and food shortages, but also played a role in the 'Barbarian Conspiracy', a catastrophic military defeat for Roman Britain in 367 CE. In line with contemporary reports from the historian Ammianus Marcellinus, this pivotal event in pre-modern history coincided with anomalous coin hoarding, and a gradual depopulation of Roman villas and towns. Expanding our climate-conflict analysis from Roman Britain as a case study to the entire Roman Empire and the period 350-476 CE reveals clear linkages between years in which battles occurred and preceding warm and dry summers. Based on these findings, we develop a mechanistic model to explain the vulnerability of agrarian societies to climate variability, whereby prolonged droughts cause harvest failures and food shortages (dependant on societal resilience) that lead to systematic pressure, societal instability, and eventually outright conflict.

Supplementary information: The online version contains supplementary material available at 10.1007/s10584-025-03925-4.

求助全文
通过发布文献求助,成功后即可免费获取论文全文。 去求助
来源期刊
Climatic Change
Climatic Change 环境科学-环境科学
CiteScore
10.20
自引率
4.20%
发文量
180
审稿时长
7.5 months
期刊介绍: Climatic Change is dedicated to the totality of the problem of climatic variability and change - its descriptions, causes, implications and interactions among these. The purpose of the journal is to provide a means of exchange among those working in different disciplines on problems related to climatic variations. This means that authors have an opportunity to communicate the essence of their studies to people in other climate-related disciplines and to interested non-disciplinarians, as well as to report on research in which the originality is in the combinations of (not necessarily original) work from several disciplines. The journal also includes vigorous editorial and book review sections.
×
引用
GB/T 7714-2015
复制
MLA
复制
APA
复制
导出至
BibTeX EndNote RefMan NoteFirst NoteExpress
×
提示
您的信息不完整,为了账户安全,请先补充。
现在去补充
×
提示
您因"违规操作"
具体请查看互助需知
我知道了
×
提示
确定
请完成安全验证×
copy
已复制链接
快去分享给好友吧!
我知道了
右上角分享
点击右上角分享
0
联系我们:info@booksci.cn Book学术提供免费学术资源搜索服务,方便国内外学者检索中英文文献。致力于提供最便捷和优质的服务体验。 Copyright © 2023 布克学术 All rights reserved.
京ICP备2023020795号-1
ghs 京公网安备 11010802042870号
Book学术文献互助
Book学术文献互助群
群 号:604180095
Book学术官方微信