表面健康人群中HFE基因型与铁状态标记之间的关系

IF 1.7 Q4 GASTROENTEROLOGY & HEPATOLOGY
Gastroenterology Research Pub Date : 2025-04-01 Epub Date: 2025-03-18 DOI:10.14740/gr2021
Nils Thorm Milman
{"title":"表面健康人群中HFE基因型与铁状态标记之间的关系","authors":"Nils Thorm Milman","doi":"10.14740/gr2021","DOIUrl":null,"url":null,"abstract":"<p><strong>Background: </strong>The ethnic Danish population has high frequencies of the hemochromatosis gene (<i>HFE</i> gene) variants H63D and C282Y and clinical hemochromatosis is quite common. The objective of the study was to examine the impact of the combination of the <i>HFE</i> variants wildtype (wt), H63D, and C282Y on body iron status markers in a population of 2,613 apparently healthy ethnic Danish men and women.</p><p><strong>Methods: </strong>An epidemiological population study was performed in Copenhagen County comprising a randomly selected population consisting of 1,342 men and 1,271 women. Blood samples were drawn in the morning in the fasting state for analysis of <i>HFE</i> genotypes and hematological iron status markers (hemoglobin, serum iron, serum transferrin, transferrin saturation, and serum ferritin).</p><p><strong>Results: </strong>The <i>HFE</i> gene variants, H63D and C282Y, in any combination as well as in any combination with the <i>HFE</i> wt genotype, had a significant influence on iron status markers, compared with the wt/wt genotype. When arranged according to their relative frequency in the population, individuals with the six different <i>HFE</i> genotypes, i.e. wt/wt, H63D/wt, C282Y/wt, H63D/H63D, C282Y/H63D, and C282Y/C282Y, displayed gradually increasing levels of serum iron, decreasing levels of serum transferrin, and increasing levels of transferrin saturation in both genders. In men, ferritin increased gradually according to the <i>HFE</i> genotype. In women, ferritin levels were by and large independent of the <i>HFE</i> genotypes.</p><p><strong>Conclusions: </strong>Using the iron status markers in <i>HFE</i> wt/wt individuals as a baseline, any other combination of the <i>HFE</i> genotypes had a significant impact on iron status. The C282Y/C282Y genotype was associated with the highest impact on iron status markers including serum ferritin and thus body iron overload. Due to physiological iron losses with menstruations and pregnancies, women are partly protected against significant body iron overload, regardless of the <i>HFE</i> genotype.</p>","PeriodicalId":12461,"journal":{"name":"Gastroenterology Research","volume":"18 2","pages":"63-70"},"PeriodicalIF":1.7000,"publicationDate":"2025-04-01","publicationTypes":"Journal Article","fieldsOfStudy":null,"isOpenAccess":false,"openAccessPdf":"https://www.ncbi.nlm.nih.gov/pmc/articles/PMC12045790/pdf/","citationCount":"0","resultStr":"{\"title\":\"Associations Between the <i>HFE</i> Genotypes and Iron Status Markers in an Apparently Healthy Population.\",\"authors\":\"Nils Thorm Milman\",\"doi\":\"10.14740/gr2021\",\"DOIUrl\":null,\"url\":null,\"abstract\":\"<p><strong>Background: </strong>The ethnic Danish population has high frequencies of the hemochromatosis gene (<i>HFE</i> gene) variants H63D and C282Y and clinical hemochromatosis is quite common. The objective of the study was to examine the impact of the combination of the <i>HFE</i> variants wildtype (wt), H63D, and C282Y on body iron status markers in a population of 2,613 apparently healthy ethnic Danish men and women.</p><p><strong>Methods: </strong>An epidemiological population study was performed in Copenhagen County comprising a randomly selected population consisting of 1,342 men and 1,271 women. Blood samples were drawn in the morning in the fasting state for analysis of <i>HFE</i> genotypes and hematological iron status markers (hemoglobin, serum iron, serum transferrin, transferrin saturation, and serum ferritin).</p><p><strong>Results: </strong>The <i>HFE</i> gene variants, H63D and C282Y, in any combination as well as in any combination with the <i>HFE</i> wt genotype, had a significant influence on iron status markers, compared with the wt/wt genotype. When arranged according to their relative frequency in the population, individuals with the six different <i>HFE</i> genotypes, i.e. wt/wt, H63D/wt, C282Y/wt, H63D/H63D, C282Y/H63D, and C282Y/C282Y, displayed gradually increasing levels of serum iron, decreasing levels of serum transferrin, and increasing levels of transferrin saturation in both genders. In men, ferritin increased gradually according to the <i>HFE</i> genotype. In women, ferritin levels were by and large independent of the <i>HFE</i> genotypes.</p><p><strong>Conclusions: </strong>Using the iron status markers in <i>HFE</i> wt/wt individuals as a baseline, any other combination of the <i>HFE</i> genotypes had a significant impact on iron status. The C282Y/C282Y genotype was associated with the highest impact on iron status markers including serum ferritin and thus body iron overload. Due to physiological iron losses with menstruations and pregnancies, women are partly protected against significant body iron overload, regardless of the <i>HFE</i> genotype.</p>\",\"PeriodicalId\":12461,\"journal\":{\"name\":\"Gastroenterology Research\",\"volume\":\"18 2\",\"pages\":\"63-70\"},\"PeriodicalIF\":1.7000,\"publicationDate\":\"2025-04-01\",\"publicationTypes\":\"Journal Article\",\"fieldsOfStudy\":null,\"isOpenAccess\":false,\"openAccessPdf\":\"https://www.ncbi.nlm.nih.gov/pmc/articles/PMC12045790/pdf/\",\"citationCount\":\"0\",\"resultStr\":null,\"platform\":\"Semanticscholar\",\"paperid\":null,\"PeriodicalName\":\"Gastroenterology Research\",\"FirstCategoryId\":\"1085\",\"ListUrlMain\":\"https://doi.org/10.14740/gr2021\",\"RegionNum\":0,\"RegionCategory\":null,\"ArticlePicture\":[],\"TitleCN\":null,\"AbstractTextCN\":null,\"PMCID\":null,\"EPubDate\":\"2025/3/18 0:00:00\",\"PubModel\":\"Epub\",\"JCR\":\"Q4\",\"JCRName\":\"GASTROENTEROLOGY & HEPATOLOGY\",\"Score\":null,\"Total\":0}","platform":"Semanticscholar","paperid":null,"PeriodicalName":"Gastroenterology Research","FirstCategoryId":"1085","ListUrlMain":"https://doi.org/10.14740/gr2021","RegionNum":0,"RegionCategory":null,"ArticlePicture":[],"TitleCN":null,"AbstractTextCN":null,"PMCID":null,"EPubDate":"2025/3/18 0:00:00","PubModel":"Epub","JCR":"Q4","JCRName":"GASTROENTEROLOGY & HEPATOLOGY","Score":null,"Total":0}
引用次数: 0

摘要

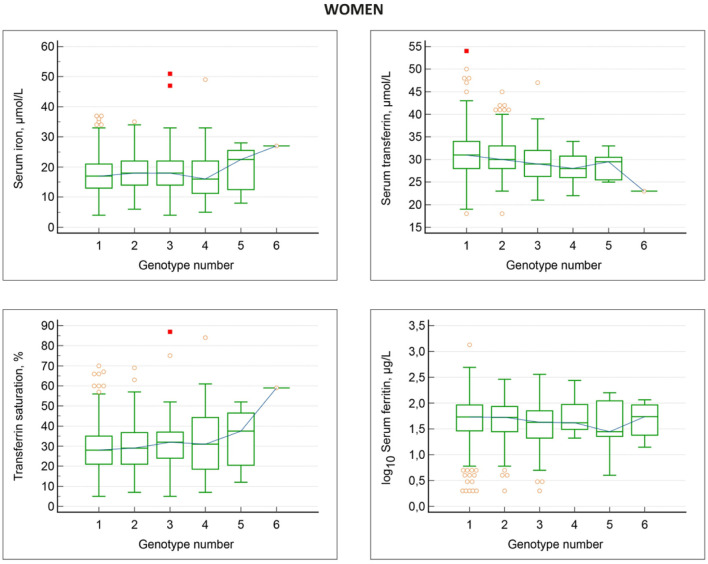
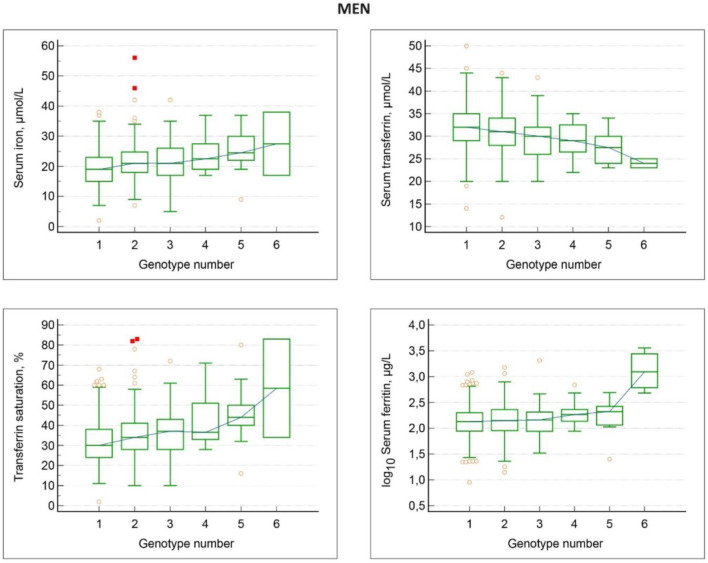
背景:血色素沉着症基因(HFE基因)变异H63D和C282Y在丹麦人群中频率较高,临床血色素沉着症相当普遍。该研究的目的是检查HFE变异野生型(wt)、H63D和C282Y组合对2,613名明显健康的丹麦男性和女性人群体内铁状态标记物的影响。方法:在哥本哈根县进行流行病学人口研究,随机选取1342名男性和1271名女性。在空腹状态下于早晨抽取血样,分析HFE基因型和血液学铁状态标记物(血红蛋白、血清铁、血清转铁蛋白、转铁蛋白饱和度和血清铁蛋白)。结果:与wt/wt基因型相比,HFE基因变体H63D和C282Y在任何组合以及与HFE wt基因型的任何组合中对铁状态标记物有显著影响。根据其在人群中的相对频率排列,6种不同HFE基因型(wt/wt、H63D/wt、C282Y/wt、H63D/H63D、C282Y/H63D、C282Y/C282Y)个体的血清铁水平逐渐升高,血清转铁蛋白水平逐渐降低,转铁蛋白饱和度逐渐升高。在男性中,根据HFE基因型,铁蛋白逐渐升高。在女性中,铁蛋白水平基本上与HFE基因型无关。结论:以HFE wt/wt个体的铁状态标记作为基线,任何其他HFE基因型的组合都对铁状态有显著影响。C282Y/C282Y基因型对铁状态标志物(包括血清铁蛋白)的影响最大,从而导致体内铁超载。无论HFE基因型如何,由于月经和怀孕时的生理性铁损失,女性在一定程度上受到保护,免受显著的身体铁过载。
本文章由计算机程序翻译,如有差异,请以英文原文为准。

Associations Between the <i>HFE</i> Genotypes and Iron Status Markers in an Apparently Healthy Population.

Associations Between the <i>HFE</i> Genotypes and Iron Status Markers in an Apparently Healthy Population.

Associations Between the HFE Genotypes and Iron Status Markers in an Apparently Healthy Population.

Background: The ethnic Danish population has high frequencies of the hemochromatosis gene (HFE gene) variants H63D and C282Y and clinical hemochromatosis is quite common. The objective of the study was to examine the impact of the combination of the HFE variants wildtype (wt), H63D, and C282Y on body iron status markers in a population of 2,613 apparently healthy ethnic Danish men and women.

Methods: An epidemiological population study was performed in Copenhagen County comprising a randomly selected population consisting of 1,342 men and 1,271 women. Blood samples were drawn in the morning in the fasting state for analysis of HFE genotypes and hematological iron status markers (hemoglobin, serum iron, serum transferrin, transferrin saturation, and serum ferritin).

Results: The HFE gene variants, H63D and C282Y, in any combination as well as in any combination with the HFE wt genotype, had a significant influence on iron status markers, compared with the wt/wt genotype. When arranged according to their relative frequency in the population, individuals with the six different HFE genotypes, i.e. wt/wt, H63D/wt, C282Y/wt, H63D/H63D, C282Y/H63D, and C282Y/C282Y, displayed gradually increasing levels of serum iron, decreasing levels of serum transferrin, and increasing levels of transferrin saturation in both genders. In men, ferritin increased gradually according to the HFE genotype. In women, ferritin levels were by and large independent of the HFE genotypes.

Conclusions: Using the iron status markers in HFE wt/wt individuals as a baseline, any other combination of the HFE genotypes had a significant impact on iron status. The C282Y/C282Y genotype was associated with the highest impact on iron status markers including serum ferritin and thus body iron overload. Due to physiological iron losses with menstruations and pregnancies, women are partly protected against significant body iron overload, regardless of the HFE genotype.

求助全文
通过发布文献求助,成功后即可免费获取论文全文。 去求助
来源期刊
Gastroenterology Research
Gastroenterology Research GASTROENTEROLOGY & HEPATOLOGY-
自引率
0.00%
发文量
35
×
引用
GB/T 7714-2015
复制
MLA
复制
APA
复制
导出至
BibTeX EndNote RefMan NoteFirst NoteExpress
×
提示
您的信息不完整,为了账户安全,请先补充。
现在去补充
×
提示
您因"违规操作"
具体请查看互助需知
我知道了
×
提示
确定
请完成安全验证×
copy
已复制链接
快去分享给好友吧!
我知道了
右上角分享
点击右上角分享
0
联系我们:info@booksci.cn Book学术提供免费学术资源搜索服务,方便国内外学者检索中英文文献。致力于提供最便捷和优质的服务体验。 Copyright © 2023 布克学术 All rights reserved.
京ICP备2023020795号-1
ghs 京公网安备 11010802042870号
Book学术文献互助
Book学术文献互助群
群 号:604180095
Book学术官方微信