体外富集微量元素促进分生曲霉的快速萌发:免疫抑制和高血糖患者的临床关注。

Q3 Medicine
Current Medical Mycology Pub Date : 2024-11-22 eCollection Date: 2024-01-01 DOI:10.22034/cmm.2024.345251.1549
Aishwarya Nikhil, Atul Kumar Tiwari, Ragini Tilak, Mohit Bhatia, Munesh Kumar Gupta
{"title":"体外富集微量元素促进分生曲霉的快速萌发:免疫抑制和高血糖患者的临床关注。","authors":"Aishwarya Nikhil, Atul Kumar Tiwari, Ragini Tilak, Mohit Bhatia, Munesh Kumar Gupta","doi":"10.22034/cmm.2024.345251.1549","DOIUrl":null,"url":null,"abstract":"<p><strong>Background and purpose: </strong>This study aimed to examine the effects of essential trace elements, namely iron (Fe), manganese (Mn), zinc (Zn), and copper (Cu), combined with D-dextrose on conidial germination and growth of <i>Aspergillus fumigatus</i> and <i>Aspergillus flavus</i> ATCC strains. Trace elements are vital in metabolic processes, acting as cofactors for various enzymes; however, their precise role in fungal pathogenesis remains poorly understood.</p><p><strong>Materials and methods: </strong>The research involved determining the minimum inhibitory concentrations (MIC) of Fe, Mn, Zn, and Cu for <i>Aspergillus</i> ATCC strains. Following MIC assessment, optimized concentrations of the trace elements (~140 and 550 pM) and various concentrations of D-dextrose (1-3% w/v) were introduced to assess their effects on fungal growth in RPMI 1640 broth. Growth was measured in terms of optical density, while conidial germination rates were also observed.</p><p><strong>Results: </strong>The MICs for Fe, Mn, and Zn were found to exceed 35 µM, while Cu exhibited lower MICs of 2 and 7.6 µM against <i>A. fumigatus</i> and <i>A. flavus</i>, respectively. At optimized concentrations, Fe, Mn, Zn, and Cu significantly enhanced fungal growth in both <i>Aspergillus</i> species. Additionally, growth rates increased proportionally with higher D-dextrose concentrations. Notably, the combination of enriched trace elements and D-dextrose resulted in up to 98% conidial germination.</p><p><strong>Conclusion: </strong>The findings demonstrate that optimized concentrations of essential trace elements and D-dextrose significantly promote conidial germination and growth of <i>Aspergillus</i> species <i>in vitro</i>. These results suggest that trace element supplementation might have important implications for immunocompromised and hyperglycemic patients. Further studies are warranted to explore the interactions between these micronutrients in fungal physiology and pathogenesis.</p>","PeriodicalId":10863,"journal":{"name":"Current Medical Mycology","volume":"10 ","pages":""},"PeriodicalIF":0.0000,"publicationDate":"2024-11-22","publicationTypes":"Journal Article","fieldsOfStudy":null,"isOpenAccess":false,"openAccessPdf":"https://www.ncbi.nlm.nih.gov/pmc/articles/PMC12050485/pdf/","citationCount":"0","resultStr":"{\"title\":\"<i>In vitro</i> enrichment of trace elements promotes rapid germination of <i>Aspergillus</i> conidia: a clinical concern for immunosuppressed and hyperglycemic patients.\",\"authors\":\"Aishwarya Nikhil, Atul Kumar Tiwari, Ragini Tilak, Mohit Bhatia, Munesh Kumar Gupta\",\"doi\":\"10.22034/cmm.2024.345251.1549\",\"DOIUrl\":null,\"url\":null,\"abstract\":\"<p><strong>Background and purpose: </strong>This study aimed to examine the effects of essential trace elements, namely iron (Fe), manganese (Mn), zinc (Zn), and copper (Cu), combined with D-dextrose on conidial germination and growth of <i>Aspergillus fumigatus</i> and <i>Aspergillus flavus</i> ATCC strains. Trace elements are vital in metabolic processes, acting as cofactors for various enzymes; however, their precise role in fungal pathogenesis remains poorly understood.</p><p><strong>Materials and methods: </strong>The research involved determining the minimum inhibitory concentrations (MIC) of Fe, Mn, Zn, and Cu for <i>Aspergillus</i> ATCC strains. Following MIC assessment, optimized concentrations of the trace elements (~140 and 550 pM) and various concentrations of D-dextrose (1-3% w/v) were introduced to assess their effects on fungal growth in RPMI 1640 broth. Growth was measured in terms of optical density, while conidial germination rates were also observed.</p><p><strong>Results: </strong>The MICs for Fe, Mn, and Zn were found to exceed 35 µM, while Cu exhibited lower MICs of 2 and 7.6 µM against <i>A. fumigatus</i> and <i>A. flavus</i>, respectively. At optimized concentrations, Fe, Mn, Zn, and Cu significantly enhanced fungal growth in both <i>Aspergillus</i> species. Additionally, growth rates increased proportionally with higher D-dextrose concentrations. Notably, the combination of enriched trace elements and D-dextrose resulted in up to 98% conidial germination.</p><p><strong>Conclusion: </strong>The findings demonstrate that optimized concentrations of essential trace elements and D-dextrose significantly promote conidial germination and growth of <i>Aspergillus</i> species <i>in vitro</i>. These results suggest that trace element supplementation might have important implications for immunocompromised and hyperglycemic patients. Further studies are warranted to explore the interactions between these micronutrients in fungal physiology and pathogenesis.</p>\",\"PeriodicalId\":10863,\"journal\":{\"name\":\"Current Medical Mycology\",\"volume\":\"10 \",\"pages\":\"\"},\"PeriodicalIF\":0.0000,\"publicationDate\":\"2024-11-22\",\"publicationTypes\":\"Journal Article\",\"fieldsOfStudy\":null,\"isOpenAccess\":false,\"openAccessPdf\":\"https://www.ncbi.nlm.nih.gov/pmc/articles/PMC12050485/pdf/\",\"citationCount\":\"0\",\"resultStr\":null,\"platform\":\"Semanticscholar\",\"paperid\":null,\"PeriodicalName\":\"Current Medical Mycology\",\"FirstCategoryId\":\"1085\",\"ListUrlMain\":\"https://doi.org/10.22034/cmm.2024.345251.1549\",\"RegionNum\":0,\"RegionCategory\":null,\"ArticlePicture\":[],\"TitleCN\":null,\"AbstractTextCN\":null,\"PMCID\":null,\"EPubDate\":\"2024/1/1 0:00:00\",\"PubModel\":\"eCollection\",\"JCR\":\"Q3\",\"JCRName\":\"Medicine\",\"Score\":null,\"Total\":0}","platform":"Semanticscholar","paperid":null,"PeriodicalName":"Current Medical Mycology","FirstCategoryId":"1085","ListUrlMain":"https://doi.org/10.22034/cmm.2024.345251.1549","RegionNum":0,"RegionCategory":null,"ArticlePicture":[],"TitleCN":null,"AbstractTextCN":null,"PMCID":null,"EPubDate":"2024/1/1 0:00:00","PubModel":"eCollection","JCR":"Q3","JCRName":"Medicine","Score":null,"Total":0}
引用次数: 0

摘要

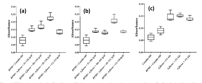
背景与目的:本研究旨在研究必需微量元素铁(Fe)、锰(Mn)、锌(Zn)和铜(Cu)与d -葡萄糖联合对烟曲霉和黄曲霉ATCC菌株分生孢子萌发和生长的影响。微量元素在代谢过程中是至关重要的,作为各种酶的辅助因子;然而,它们在真菌发病机制中的确切作用仍然知之甚少。材料与方法:本研究确定了铁、锰、锌、铜对ATCC曲霉的最低抑菌浓度(MIC)。MIC评估后,引入微量元素优化浓度(~140和550 pM)和不同浓度的d -葡萄糖(1-3% w/v),考察其对RPMI 1640肉汤真菌生长的影响。根据光密度测量生长,同时也观察了分生孢子的发芽率。结果:Fe、Mn和Zn对烟曲霉和黄曲霉的mic值分别为2和7.6µM,而Cu对烟曲霉和黄曲霉的mic值均超过35µM。在优化浓度下,铁、锰、锌和铜显著促进了两种曲霉菌的生长。此外,随着d -葡萄糖浓度的升高,生长速率成比例地增加。值得注意的是,富微量元素和d -葡萄糖的组合使分生孢子萌发率高达98%。结论:优化后的必需微量元素和d -葡萄糖浓度可显著促进体外曲霉孢子萌发和生长。这些结果表明,补充微量元素可能对免疫功能低下和高血糖患者有重要意义。这些微量营养素在真菌生理和发病机制中的相互作用有待进一步研究。
本文章由计算机程序翻译,如有差异,请以英文原文为准。

<i>In vitro</i> enrichment of trace elements promotes rapid germination of <i>Aspergillus</i> conidia: a clinical concern for immunosuppressed and hyperglycemic patients.

<i>In vitro</i> enrichment of trace elements promotes rapid germination of <i>Aspergillus</i> conidia: a clinical concern for immunosuppressed and hyperglycemic patients.

<i>In vitro</i> enrichment of trace elements promotes rapid germination of <i>Aspergillus</i> conidia: a clinical concern for immunosuppressed and hyperglycemic patients.

In vitro enrichment of trace elements promotes rapid germination of Aspergillus conidia: a clinical concern for immunosuppressed and hyperglycemic patients.

Background and purpose: This study aimed to examine the effects of essential trace elements, namely iron (Fe), manganese (Mn), zinc (Zn), and copper (Cu), combined with D-dextrose on conidial germination and growth of Aspergillus fumigatus and Aspergillus flavus ATCC strains. Trace elements are vital in metabolic processes, acting as cofactors for various enzymes; however, their precise role in fungal pathogenesis remains poorly understood.

Materials and methods: The research involved determining the minimum inhibitory concentrations (MIC) of Fe, Mn, Zn, and Cu for Aspergillus ATCC strains. Following MIC assessment, optimized concentrations of the trace elements (~140 and 550 pM) and various concentrations of D-dextrose (1-3% w/v) were introduced to assess their effects on fungal growth in RPMI 1640 broth. Growth was measured in terms of optical density, while conidial germination rates were also observed.

Results: The MICs for Fe, Mn, and Zn were found to exceed 35 µM, while Cu exhibited lower MICs of 2 and 7.6 µM against A. fumigatus and A. flavus, respectively. At optimized concentrations, Fe, Mn, Zn, and Cu significantly enhanced fungal growth in both Aspergillus species. Additionally, growth rates increased proportionally with higher D-dextrose concentrations. Notably, the combination of enriched trace elements and D-dextrose resulted in up to 98% conidial germination.

Conclusion: The findings demonstrate that optimized concentrations of essential trace elements and D-dextrose significantly promote conidial germination and growth of Aspergillus species in vitro. These results suggest that trace element supplementation might have important implications for immunocompromised and hyperglycemic patients. Further studies are warranted to explore the interactions between these micronutrients in fungal physiology and pathogenesis.

求助全文
通过发布文献求助,成功后即可免费获取论文全文。 去求助
来源期刊
Current Medical Mycology
Current Medical Mycology Medicine-Infectious Diseases
CiteScore
2.10
自引率
0.00%
发文量
16
审稿时长
4 weeks
×
引用
GB/T 7714-2015
复制
MLA
复制
APA
复制
导出至
BibTeX EndNote RefMan NoteFirst NoteExpress
×
提示
您的信息不完整,为了账户安全,请先补充。
现在去补充
×
提示
您因"违规操作"
具体请查看互助需知
我知道了
×
提示
确定
请完成安全验证×
copy
已复制链接
快去分享给好友吧!
我知道了
右上角分享
点击右上角分享
0
联系我们:info@booksci.cn Book学术提供免费学术资源搜索服务,方便国内外学者检索中英文文献。致力于提供最便捷和优质的服务体验。 Copyright © 2023 布克学术 All rights reserved.
京ICP备2023020795号-1
ghs 京公网安备 11010802042870号
Book学术文献互助
Book学术文献互助群
群 号:604180095
Book学术官方微信