德国社区药房顾客对药物审查的态度和期望:一项横断面研究。

IF 2.5 Q1 HEALTH POLICY & SERVICES
Journal of Pharmaceutical Policy and Practice Pub Date : 2025-04-25 eCollection Date: 2025-01-01 DOI:10.1080/20523211.2025.2490572
Cathrin J Vogt, Annika Wiegand, Kire Trajkov, Michael Metzner, Viktoria S Wurmbach, Anja Braem, Hanna M Seidling
{"title":"德国社区药房顾客对药物审查的态度和期望:一项横断面研究。","authors":"Cathrin J Vogt, Annika Wiegand, Kire Trajkov, Michael Metzner, Viktoria S Wurmbach, Anja Braem, Hanna M Seidling","doi":"10.1080/20523211.2025.2490572","DOIUrl":null,"url":null,"abstract":"<p><strong>Background: </strong>Since knowledge about customers' attitudes towards medication reviews in community pharmacies is limited, the objective of this study was to gain insight into customers' perceived facilitators and barriers to participate in this service, with the aim of identifying areas to facilitate the implementation process.</p><p><strong>Methods: </strong>In spring 2024, we conducted a prospective, questionnaire-based survey for a total of 58 days. All customers (≥18 years) in 3 pharmacies in Germany, regardless of whether they were eligible for medication reviews or not, were approached during their pharmacy visit in person and invited to complete the tablet-based questionnaire on-site. The pilot-tested, multilingual questionnaire covered socio-demographic-data and customers' attitudes towards medication reviews. Potential benefits of medication reviews were rated regarding their perceived importance on a 3-point-Likert-scale (0 = not important, 1 = important, 2 = very important). A mean score was calculated for each benefit. Data were analyzed descriptively and binary logistic regression analyses were applied to explore associations of selected predictors with awareness of medication reviews or expected benefits.</p><p><strong>Results: </strong>A total of 1561 pharmacy customers participated, with 59.2% (interquartile range (IQR): 17.9%) of patients being approached daily. Awareness of medication reviews was low (18.0%, <i>n</i> = 281/1561), whereby female participants (odds ratio (OR): 1.211 (0.914-1.603)) and those who request pharmacies' consultation services (OR: 1.020 (1.012-1.029) were more likely to know it. Key expectations towards benefits included better knowledge of medicines (mean score: 1.4 ± 0.7), fewer side-effects (1.4 ± 0.7) and fewer problems with their medication (e.g. interactions; 1.3 ± 0.7). No difference was found for prior awareness of medication reviews in terms of benefit expectations.</p><p><strong>Conclusion: </strong>Gaining knowledge and improving medication safety through a medication review is most valuable to customers. By clearly explaining the purpose and expected benefits of medication reviews, the outreach and impact could be increased.<b>Trial registration:</b> German Clinical Trials Register identifier: DRKS00032446.</p>","PeriodicalId":16740,"journal":{"name":"Journal of Pharmaceutical Policy and Practice","volume":"18 1","pages":"2490572"},"PeriodicalIF":2.5000,"publicationDate":"2025-04-25","publicationTypes":"Journal Article","fieldsOfStudy":null,"isOpenAccess":false,"openAccessPdf":"https://www.ncbi.nlm.nih.gov/pmc/articles/PMC12035941/pdf/","citationCount":"0","resultStr":"{\"title\":\"Attitudes and expectations toward medication review among community pharmacy customers in Germany: a cross-sectional study.\",\"authors\":\"Cathrin J Vogt, Annika Wiegand, Kire Trajkov, Michael Metzner, Viktoria S Wurmbach, Anja Braem, Hanna M Seidling\",\"doi\":\"10.1080/20523211.2025.2490572\",\"DOIUrl\":null,\"url\":null,\"abstract\":\"<p><strong>Background: </strong>Since knowledge about customers' attitudes towards medication reviews in community pharmacies is limited, the objective of this study was to gain insight into customers' perceived facilitators and barriers to participate in this service, with the aim of identifying areas to facilitate the implementation process.</p><p><strong>Methods: </strong>In spring 2024, we conducted a prospective, questionnaire-based survey for a total of 58 days. All customers (≥18 years) in 3 pharmacies in Germany, regardless of whether they were eligible for medication reviews or not, were approached during their pharmacy visit in person and invited to complete the tablet-based questionnaire on-site. The pilot-tested, multilingual questionnaire covered socio-demographic-data and customers' attitudes towards medication reviews. Potential benefits of medication reviews were rated regarding their perceived importance on a 3-point-Likert-scale (0 = not important, 1 = important, 2 = very important). A mean score was calculated for each benefit. Data were analyzed descriptively and binary logistic regression analyses were applied to explore associations of selected predictors with awareness of medication reviews or expected benefits.</p><p><strong>Results: </strong>A total of 1561 pharmacy customers participated, with 59.2% (interquartile range (IQR): 17.9%) of patients being approached daily. Awareness of medication reviews was low (18.0%, <i>n</i> = 281/1561), whereby female participants (odds ratio (OR): 1.211 (0.914-1.603)) and those who request pharmacies' consultation services (OR: 1.020 (1.012-1.029) were more likely to know it. Key expectations towards benefits included better knowledge of medicines (mean score: 1.4 ± 0.7), fewer side-effects (1.4 ± 0.7) and fewer problems with their medication (e.g. interactions; 1.3 ± 0.7). No difference was found for prior awareness of medication reviews in terms of benefit expectations.</p><p><strong>Conclusion: </strong>Gaining knowledge and improving medication safety through a medication review is most valuable to customers. By clearly explaining the purpose and expected benefits of medication reviews, the outreach and impact could be increased.<b>Trial registration:</b> German Clinical Trials Register identifier: DRKS00032446.</p>\",\"PeriodicalId\":16740,\"journal\":{\"name\":\"Journal of Pharmaceutical Policy and Practice\",\"volume\":\"18 1\",\"pages\":\"2490572\"},\"PeriodicalIF\":2.5000,\"publicationDate\":\"2025-04-25\",\"publicationTypes\":\"Journal Article\",\"fieldsOfStudy\":null,\"isOpenAccess\":false,\"openAccessPdf\":\"https://www.ncbi.nlm.nih.gov/pmc/articles/PMC12035941/pdf/\",\"citationCount\":\"0\",\"resultStr\":null,\"platform\":\"Semanticscholar\",\"paperid\":null,\"PeriodicalName\":\"Journal of Pharmaceutical Policy and Practice\",\"FirstCategoryId\":\"1085\",\"ListUrlMain\":\"https://doi.org/10.1080/20523211.2025.2490572\",\"RegionNum\":0,\"RegionCategory\":null,\"ArticlePicture\":[],\"TitleCN\":null,\"AbstractTextCN\":null,\"PMCID\":null,\"EPubDate\":\"2025/1/1 0:00:00\",\"PubModel\":\"eCollection\",\"JCR\":\"Q1\",\"JCRName\":\"HEALTH POLICY & SERVICES\",\"Score\":null,\"Total\":0}","platform":"Semanticscholar","paperid":null,"PeriodicalName":"Journal of Pharmaceutical Policy and Practice","FirstCategoryId":"1085","ListUrlMain":"https://doi.org/10.1080/20523211.2025.2490572","RegionNum":0,"RegionCategory":null,"ArticlePicture":[],"TitleCN":null,"AbstractTextCN":null,"PMCID":null,"EPubDate":"2025/1/1 0:00:00","PubModel":"eCollection","JCR":"Q1","JCRName":"HEALTH POLICY & SERVICES","Score":null,"Total":0}
引用次数: 0

摘要

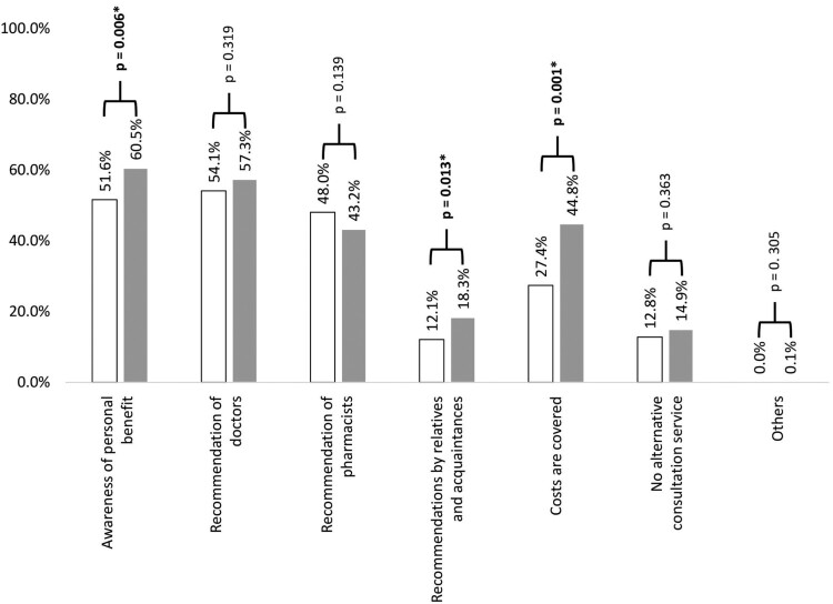
背景:由于客户对社区药房药物评审态度的了解有限,本研究的目的是深入了解客户参与这项服务的感知促进因素和障碍,以确定促进实施过程的领域。方法:在2024年春季,我们进行了为期58天的前瞻性问卷调查。德国3家药店的所有顾客(≥18岁),无论他们是否有资格进行药物评价,都在药房访问期间亲自接触并邀请他们现场完成基于片剂的问卷调查。试点测试的多语种问卷涵盖了社会人口数据和客户对药物审查的态度。药物评价的潜在益处根据其感知重要性在3点李克特量表上进行评级(0 =不重要,1 =重要,2 =非常重要)。对每个益处计算平均值。对数据进行描述性分析,并应用二元逻辑回归分析来探讨所选预测因子与药物评价意识或预期获益的关联。结果:共有1561名药房客户参与,每天有59.2%(四分位数间距:17.9%)的患者被接触。对药物评价的知晓度较低(18.0%,n = 281/1561),其中女性参与者(比值比(OR): 1.211(0.914-1.603))和要求药房咨询服务的参与者(OR: 1.020(1.012-1.029))对药物评价的知晓度较高。对获益的主要期望包括更好的药物知识(平均得分:1.4±0.7),更少的副作用(1.4±0.7)和更少的药物问题(例如相互作用;1.3±0.7)。在获益预期方面,对药物评价的事先意识没有发现差异。结论:通过药物评审获取知识和提高用药安全性对客户来说是最有价值的。通过清楚地解释药物审查的目的和预期的好处,可以增加推广和影响。试验注册:德国临床试验注册标识符:DRKS00032446。
本文章由计算机程序翻译,如有差异,请以英文原文为准。

Attitudes and expectations toward medication review among community pharmacy customers in Germany: a cross-sectional study.

Attitudes and expectations toward medication review among community pharmacy customers in Germany: a cross-sectional study.

Attitudes and expectations toward medication review among community pharmacy customers in Germany: a cross-sectional study.

Attitudes and expectations toward medication review among community pharmacy customers in Germany: a cross-sectional study.

Background: Since knowledge about customers' attitudes towards medication reviews in community pharmacies is limited, the objective of this study was to gain insight into customers' perceived facilitators and barriers to participate in this service, with the aim of identifying areas to facilitate the implementation process.

Methods: In spring 2024, we conducted a prospective, questionnaire-based survey for a total of 58 days. All customers (≥18 years) in 3 pharmacies in Germany, regardless of whether they were eligible for medication reviews or not, were approached during their pharmacy visit in person and invited to complete the tablet-based questionnaire on-site. The pilot-tested, multilingual questionnaire covered socio-demographic-data and customers' attitudes towards medication reviews. Potential benefits of medication reviews were rated regarding their perceived importance on a 3-point-Likert-scale (0 = not important, 1 = important, 2 = very important). A mean score was calculated for each benefit. Data were analyzed descriptively and binary logistic regression analyses were applied to explore associations of selected predictors with awareness of medication reviews or expected benefits.

Results: A total of 1561 pharmacy customers participated, with 59.2% (interquartile range (IQR): 17.9%) of patients being approached daily. Awareness of medication reviews was low (18.0%, n = 281/1561), whereby female participants (odds ratio (OR): 1.211 (0.914-1.603)) and those who request pharmacies' consultation services (OR: 1.020 (1.012-1.029) were more likely to know it. Key expectations towards benefits included better knowledge of medicines (mean score: 1.4 ± 0.7), fewer side-effects (1.4 ± 0.7) and fewer problems with their medication (e.g. interactions; 1.3 ± 0.7). No difference was found for prior awareness of medication reviews in terms of benefit expectations.

Conclusion: Gaining knowledge and improving medication safety through a medication review is most valuable to customers. By clearly explaining the purpose and expected benefits of medication reviews, the outreach and impact could be increased.Trial registration: German Clinical Trials Register identifier: DRKS00032446.

求助全文
通过发布文献求助,成功后即可免费获取论文全文。 去求助
来源期刊
Journal of Pharmaceutical Policy and Practice
Journal of Pharmaceutical Policy and Practice Health Professions-Pharmacy
CiteScore
4.70
自引率
9.50%
发文量
81
审稿时长
14 weeks
×
引用
GB/T 7714-2015
复制
MLA
复制
APA
复制
导出至
BibTeX EndNote RefMan NoteFirst NoteExpress
×
提示
您的信息不完整,为了账户安全,请先补充。
现在去补充
×
提示
您因"违规操作"
具体请查看互助需知
我知道了
×
提示
确定
请完成安全验证×
copy
已复制链接
快去分享给好友吧!
我知道了
右上角分享
点击右上角分享
0
联系我们:info@booksci.cn Book学术提供免费学术资源搜索服务,方便国内外学者检索中英文文献。致力于提供最便捷和优质的服务体验。 Copyright © 2023 布克学术 All rights reserved.
京ICP备2023020795号-1
ghs 京公网安备 11010802042870号
Book学术文献互助
Book学术文献互助群
群 号:604180095
Book学术官方微信